Đề thi Giữa kì 2 Toán 9 phòng GD&ĐT Lương Tài (Bắc Ninh) năm 2024-2025
Với đề thi Giữa kì 2 Toán 9 phòng GD&ĐT Lương Tài, Bắc Ninh năm 2024-2025 sẽ giúp học sinh lớp 9 ôn tập và đạt điểm cao trong bài thi Toán 9.
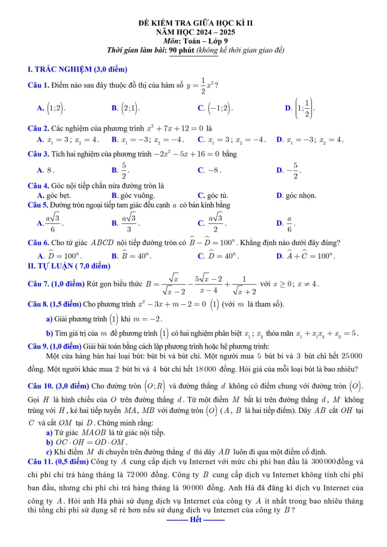
Đề thi Giữa kì 2 Toán 9 phòng GD&ĐT Lương Tài (Bắc Ninh) năm 2024-2025
Xem thử Đề thi GK2 Toán 9 KNTT Xem thử Đề thi GK2 Toán 9 CTST Xem thử Đề thi GK2 Toán 9 CD
Chỉ từ 150k mua trọn bộ đề thi Toán 9 Giữa kì 2 bản word có lời giải chi tiết, dễ dàng chỉnh sửa:
- B1: gửi phí vào tk:
1133836868- CT TNHH DAU TU VA DV GD VIETJACK - Ngân hàng MB (QR) - B2: Nhắn tin tới Zalo VietJack Official - nhấn vào đây để thông báo và nhận giáo án
Xem thử Đề thi GK2 Toán 9 KNTT Xem thử Đề thi GK2 Toán 9 CTST Xem thử Đề thi GK2 Toán 9 CD
Xem thêm đề thi Toán 9 Giữa kì 2 các trường trên cả nước hay khác:
Đề thi Giữa kì 2 Toán 9 phòng GD&ĐT thành phố Bắc Ninh năm 2024-2025
Đề thi Giữa kì 2 Toán 9 phòng GD&ĐT Thuận Thành (Bắc Ninh) năm 2024-2025
Đề thi Giữa kì 2 Toán 9 trường THCS Tư Mại (Bắc Giang) năm 2024-2025
Đề thi Giữa kì 2 Toán 9 phòng GD&ĐT Yên Thế (Bắc Giang) năm 2024-2025
Đề thi Giữa kì 2 Toán 9 phòng GD&ĐT Xuân Trường (Nam Định) năm 2024-2025
Đề thi Giữa kì 2 Toán 9 phòng GD&ĐT Giao Thủy (Nam Định) năm 2024-2025
Đề thi Giữa kì 2 Toán 9 trường THCS Chu Văn An (Bình Dương) năm 2024-2025
Đề thi Giữa kì 2 Toán 9 trường THCS Nguyễn Trãi (Quảng Nam) năm 2024-2025
Đề thi Giữa kì 2 Toán 9 trường THCS Trần Phú (Quảng Nam) năm 2024-2025
Đề thi Giữa kì 2 Toán 9 phòng GD&ĐT Mỹ Hào (Hưng Yên) năm 2024-2025
Tủ sách VIETJACK luyện thi vào 10 cho 2k11 (2026):
Đã có app VietJack trên điện thoại, giải bài tập SGK, SBT Soạn văn, Văn mẫu, Thi online, Bài giảng....miễn phí. Tải ngay ứng dụng trên Android và iOS.
Theo dõi chúng tôi miễn phí trên mạng xã hội facebook và youtube:Loạt bài Đề thi các môn học lớp 9 năm 2025 học kì 1 và học kì 2 được biên soạn bám sát cấu trúc ra đề thi mới Tự luận và Trắc nghiệm giúp bạn giành được điểm cao trong các bài thi lớp 9.
Nếu thấy hay, hãy động viên và chia sẻ nhé! Các bình luận không phù hợp với nội quy bình luận trang web sẽ bị cấm bình luận vĩnh viễn.
- Giáo án lớp 9 (các môn học)
- Giáo án điện tử lớp 9 (các môn học)
- Giáo án Toán 9
- Giáo án Ngữ văn 9
- Giáo án Tiếng Anh 9
- Giáo án Khoa học tự nhiên 9
- Giáo án Vật Lí 9
- Giáo án Hóa học 9
- Giáo án Sinh học 9
- Giáo án Địa Lí 9
- Giáo án Lịch Sử 9
- Giáo án GDCD 9
- Giáo án Tin học 9
- Giáo án Công nghệ 9
- Đề thi lớp 9 (các môn học)
- Đề thi Ngữ Văn 9 (có đáp án)
- Đề thi Toán 9 (có đáp án)
- Đề thi Tiếng Anh 9 mới (có đáp án)
- Đề thi Tiếng Anh 9 (có đáp án)
- Đề thi Khoa học tự nhiên 9 (có đáp án)
- Đề thi Lịch Sử và Địa Lí 9 (có đáp án)
- Đề thi GDCD 9 (có đáp án)
- Đề thi Tin học 9 (có đáp án)
- Đề thi Công nghệ 9 (có đáp án)


Giải bài tập SGK & SBT
Tài liệu giáo viên
Sách
Khóa học
Thi online
Hỏi đáp

