Đề thi Giữa học kì 1 Toán lớp 7 Trắc nghiệm + Tự luận năm 2026 (10 đề)
Đề thi Giữa học kì 1 Toán lớp 7 Trắc nghiệm + Tự luận năm 2026 (10 đề)
Tuyển chọn Đề thi Giữa học kì 1 Toán lớp 7 Trắc nghiệm + Tự luận năm 2026 (10 đề) chọn lọc được các Giáo viên nhiều năm kinh nghiệm biên soạn và sưu tầm từ Đề thi Toán 7 của các trường THCS. Hi vọng bộ đề thi này sẽ giúp học sinh ôn tập và đạt kết quả cao trong các bài thi Giữa Học kì 1 môn Toán lớp 7.
Phòng Giáo dục và Đào tạo .....
Đề thi Giữa Học kì 1 - Trắc nghiệm + Tự luận
năm 2025
Bài thi môn: Toán lớp 7
Thời gian làm bài: phút
(không kể thời gian phát đề)
(Đề số 1)
I. TRẮC NGHIỆM KHÁCH QUAN (1 điểm)
Chọn chữ cái đúng đứng trước của câu trả lời đúng (viết vào bài làm).
Câu 1: Nếu x2 = 3 thì x bằng:
Câu 2: Cho đẳng thức ab = 3.6. Tỉ lệ thức nào dưới đây sai:
Câu 3: Kết quả làm tròn đến chữ số thập phân thứ ba của số 7,69953 là:
A. 7,7 B. 7,690 C. 7,699 D. 7,6
Câu 4: Cho hình vẽ biết a//b, thì:
A. x = 70o B. x = 132o
C. x = 66o D. x = 48o
II. TỰ LUẬN
Bài 1: (2,5 điểm) Tính giá trị của biểu thức:

Bài 2: (3,5 điểm) Tìm x, y biết:
Bài 3: (2,5 điểm) Cho hình vẽ.
Biết ∠zMx' = 120o, ∠zNy' = 120o, ∠xAB = 35o, ∠BCy' = 125o

a) Chứng minh xx’ // yy’;
b) Tính góc ABC và cho biết đường thẳng AB có vuông góc với đường thẳng BC không?
Bài 4 : (0,5 điểm) Tìm x, y, z biết x + y + z ≠ 0 và .

-----------HẾT-----------
Phòng Giáo dục và Đào tạo .....
Đề thi Giữa Học kì 1 - Trắc nghiệm + Tự luận
năm 2025
Bài thi môn: Toán lớp 7
Thời gian làm bài: phút
(không kể thời gian phát đề)
(Đề số 2)
I. TRẮC NGHIỆM: (2 điểm)
Bài 1: Chọn câu trả lời đúng bằng cách ghi lại chữ cái đứng trước câu trả lời đúng:
Câu 1: Kết quả của phép tính
là:

Câu 2: Giá trị x trong đẳng thức
là:
Câu 3: Cho
Tỉ lệ thức nào sau đây đúng:

Câu 4: Kết quả phép tính (-4)2.42 là
A. -44 B. 0 C. 82 D. 162
Bài 2: Các khẳng định sau Đúng hay Sai?
Câu 1: Qua một điểm ở ngoài một đường thẳng vẽ được duy nhất một đường thẳng vuông góc với đường thẳng đã cho
Câu 2: Hai đường thẳng phân biệt cùng vuông góc với đường thẳng thứ ba thì vuông góc với nhau.
Câu 3: Nếu đường thẳng c cắt 2 đường thẳng a và b, trong các góc tạo thành có một cặp góc trong cùng phía có số đo lần lượt là 125o và 65o thì a // b
Câu 4: Đường trung trực của đoạn thẳng thì vuông góc với đoạn thẳng đó.
II.Tự luận (8 điểm)
Bài 1 (1,5 điểm): Tính hợp lý nếu có thể:
Bài 2 (1,5 điểm): Tìm x, biết

Bài 3 (2 điểm): Trong đợt thi đua giành hoa diểm tốt chào mừng ngày nhà giáo Việt Nam 20-11, số điểm tốt (từ 9 điểm trở lên) của ba lớp7A, 7B, 7C lần lượt tỉ lệ với và . Biết số điểm tốt của hai lớp 7A và 7C nhiều hơn hai lần số điểm tốt của lớp 7B là 36 điểm. Tính số điểm tốt của mỗi lớp.
Bài 4 (2,5 điểm): Cho có tia phân giác của góc A cắt BC ở D. Trên nửa mặt phẳng bờ AB không chứa điểm C vẽ tia Bx sao cho ∠ABx = ∠BAD. Tia Bx cắt đường thẳng AC tại E.
a) Chứng minh BE // AD
b) Vẽ AF ⊥ BE, F ∈ BE . Tính số đo góc FAD?
c) Chứng minh ∠EAF = ∠BAF
Bài 5 (0,5 điểm). Tìm GTNN của:
P = |x - 2016| + |x - 2018| + |x - 2020|
-----------HẾT-----------
Phòng Giáo dục và Đào tạo .....
Đề thi Giữa Học kì 1 - Trắc nghiệm + Tự luận
năm 2025
Bài thi môn: Toán lớp 7
Thời gian làm bài: phút
(không kể thời gian phát đề)
(Đề số 3)
I. Trắc nghiệm: Chọn đáp án đúng trong các đáp án sau: (3 điểm)
1. Nếu một đường thẳng a cắt hai đường thẳng song song b và c thì
A. Hai góc so le trong bằng nhau
B. Hai góc đồng vị bằng nhau
C. Hai góc trong cùng phía bù nhau
D. Cả ba ý trên
2. Giá trị của biểu thức : | – 3,4 | : | +1,7 | – 0,2 là:
A. – 1,8 B. 1,8
C. 0 D. – 2,2
3. Kết quả phép tính:
=
4. Chỉ ra đáp án sai . Từ tỉ lệ thức
ta có tỉ lệ thức sau :

5. Kết quả của phép tính:
6. Kết quả phép tính:
là:
7. Kết quả của phép tính:
A.– 0,1 B. – 1
C. – 10 D. – 100
8. Kết quả của phép tính:
9. Cho a ⊥ b và b ⊥ c thì
A. c // a B. b // c
C. a // b // c D. a ⊥ c
10. Chọn đáp án đúng :
A. - 7 ∈ N B. - 7 ∉ Z C. - 7 ∉ Q D.
11. Nội dung đúng của tiên đề ƠClít
A. Qua một điểm nằm ngoài đường thẳng a, có một đường thẳng song song với a
B. Qua một điểm nằm ngoài đường thẳng a, không có quá hai đường thẳng song song với a
C. Qua một điểm nằm ngoài đường thẳng a, chỉ có một đường thẳng song song với a
D. Qua một điểm nằm ngoài đường thẳng a, có nhiều hơn một đường thẳng song song với a
12. Cho hai đường thẳng a, b sao cho a // b, đường thẳng c ⊥ a. Khi đó:
A. c ⊥ b B. c // b C. c trùng với b D. c cắt b
II. Tự luận ( 7 điểm)
Bài 1: (2 điểm), Tìm x, biết

Bài 2. (1,5 điểm). Trong đợt liên đội phát động tết trồng cây , số cây tròng được của ba lớp 7A,7B,7C lần lượt tỉ lệ với 3 ;4 ;5. Tính số cây mà mỗi lớp trồng được biết rằng lớp 7C trồng được nhiều cây hơn lớp 7A là 30 cây .
Bài 3: (3 điểm) Vẽ lại hình sau

a) Hãy cho biết:
Góc đồng vị với ∠A1 ; Góc so le trong với ∠A1 ;
Góc trong cùng phía với ∠A1 là góc nào?
b) a và b có song song không? Vì sao ?
c) Cho ∠A1 = 60o . Tính số đo các góc ∠B1, ∠B2, ∠B3, ∠B4 .
Bài 4. (0,5 điểm). Tìm hai số x, y. Biết x, y là hai số nguyên dương và
-----------HẾT-----------
Phòng Giáo dục và Đào tạo .....
Đề thi Giữa Học kì 1 - Trắc nghiệm + Tự luận
năm 2025
Bài thi môn: Toán lớp 7
Thời gian làm bài: phút
(không kể thời gian phát đề)
(Đề số 4)
I. TRẮC NGHIỆM KHÁCH QUAN (1 điểm)
Chọn chữ cái đứng trước câu trả lời đúng (viết vào bài làm).
Câu 1. Nếu
thì x2 có giá trị là:
A. 8 B. 2 C. 64 D. ± 64
Câu 2. Cho 12 : a = 6 : b. Tỉ lệ thức nào dưới đây sai?
Câu 3. Phân số nào sau đây viết được dưới dạng số thập phân hữu hạn?

Câu 4. Cho hình vẽ và biết a // b, thì:

A. ∠A4 = 115o B. ∠A3 = 115o C. ∠A2 = 65o D. ∠A1 = 115o
II. TỰ LUẬN (9 điểm)
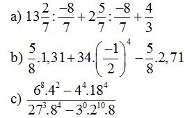
Bài 1. (2 điểm) Tính giá trị của các biểu thức:

Bài 2. (3,5 điểm) Tìm x, y biết:
Bài 3. (2,5 điểm) Cho hình vẽ. Biết Ax // By, ∠xAO = 70o, ∠OBy = 25o.

a) Tính góc ∠AOB
b) Qua B vẽ đường thẳng d song song với AO cắt tia Ax tại M. Tính ∠MOB
Bài 4. (1 điểm) Cho 4 số a1, a2, a3, a4 khác 0 và thỏa mãn: a22 = a1.a3 và a32 = a2.a4
Chứng minh rằng:
.
-----------HẾT-----------
Phòng Giáo dục và Đào tạo .....
Đề thi Giữa Học kì 1 - Trắc nghiệm + Tự luận
năm 2025
Bài thi môn: Toán lớp 7
Thời gian làm bài: phút
(không kể thời gian phát đề)
(Đề số 5)
PHẦN I. TRẮC NGHIỆM (1 điểm). Viết lại chữ cái đứng trước đáp án đúng trong các câu sau vào bài kiểm tra.
Câu 1. Cho giá trị 12 : x = 3 : 5 của bằng:
A. 10 B. 5 C. 20 D. 4
Câu 2. Kết quả của phép tính
là:
Câu 3. Nếu m ⊥ b và m ⊥ c thì:
A. b ⊥ c B. m // b C. m // c D. b // c
Câu 4. Nếu một đường thẳng cắt hai đường thẳng song song thì:
A. Hai góc đồng vị phụ nhau B. Hai góc trong cùng phía bù nhau
C. Hai góc so le trong bù nhau D. Cả ba ý trên đều sai
PHẦN II. TỰ LUẬN (9 điểm).
Bài 1. (2 điểm) Thực hiện phép tính (Tính nhanh nếu có thể):
Bài 2. (1,5 điểm) Tìm x, biết:
Bài 3. (2 điểm)
Bạn An có 35 viên bi gồm 3 màu xanh, đỏ, vàng. Số viên bi màu xanh và đỏ tỉ lệ với 2 và 3, số viên bi màu đỏ và vàng tỉ lệ với 4 và 5. Tính số viên bi mỗi loại.
Bài 4. (3 điểm)
Cho hình vẽ bên, biết rằng DE // Ax, góc BAx bằng 35o , góc DBC bằng 55o góc BCy bằng 125o

a) Tính góc ABE
b) Chứng minh Cy // Ax
c) Chứng minh AB ⊥ BC
Bài 5. (0,5 điểm) Cho
. Chứng minh rằng:
.
-----------HẾT-----------
Phòng Giáo dục và Đào tạo .....
Đề thi Giữa Học kì 1 - Trắc nghiệm + Tự luận
năm 2025
Bài thi môn: Toán lớp 7
Thời gian làm bài: phút
(không kể thời gian phát đề)
(Đề số 6)
I. Phần trắc nghiệm (2 điểm)
Câu 1. Kết quả của phép tính
là:

Câu 2. Giá trị của x thỏa mãn
là:
Câu 3. Cho hai đường thẳng a và b song song với nhau. Đường thẳng c vuông góc với b khi:
A. c ⊥ a
B. c cắt a
C. c // a
D. c trùng với a
Câu 4. Cho hình vẽ, a // b nếu:

A. ∠A1 = ∠B4 B. ∠A4 = ∠B1 C. ∠A + ∠B = 180o D. ∠A4 = ∠B2
II. Phần tự luận (8 điểm)
Bài 1 (1,5 điểm). Thực hiện phép tính:
Bài 2 (1,5 điểm). Tìm x biết:

Bài 3 (2 điểm). Một khu đất hình chữ nhật có chu vi bằng 32m, tỉ số giữa chiều dài và chiều rộng là
. Tính diện tích mảnh đất hình chữ nhật đó.
Bài 4 (2,5 điểm). Cho tam giác ABC, ∠B = 65o, ∠C = 65o. Kẻ tia Ax là tia đối của tia AB. Vẽ tia Ay song song với BC và tia Ay nằm giữa hai tia Ax, AC.
a) Tính ∠BAC
b) Tính ∠BAy. Chứng minh tia Ay là tia phân giác của ∠xAC
Bài 5 (0,5 điểm). Cho a + c = 2b và 2bd = c(b + d) (với b, d khác 0).
Chứng minh
.
-----------HẾT-----------
Phòng Giáo dục và Đào tạo .....
Đề thi Giữa Học kì 1 - Trắc nghiệm + Tự luận
năm 2025
Bài thi môn: Toán lớp 7
Thời gian làm bài: phút
(không kể thời gian phát đề)
(Đề số 7)
I- Trắc nghiệm (3,0 điểm): Chọn chữ cái đứng trước câu trả lời đúng rồi ghi vào bài làm:
Câu 1: Số
A. Không là số hữu tỉ.
B. Là số hữu tỉ âm.
C. Không là số hữu tỉ dương cũng không là số hữu tỉ âm.
D. Vừa là số hữu tỉ dương vừa là số hữu tỉ âm.
Câu 2 : Xm.Xn bằng
A. Xm-n B. Xm.n C. Xm : n D. Xm+n
Câu 3 : Nếu
thì
A. a.c = b.d
B. a.d = b.c
C. a.b = c.d
D. a.c = b.c
Câu 4: Nếu a ⊥ b và b ⊥ c thì
A. a ⊥ c .
B. a // b .
C. a // c.
D. c // b .
Câu 5: Qua điểm A ở ngoài đường thẳng a, có
A. vô số đường thẳng song song với a
B. một và chỉ một đường thẳng song song với a.
C. ít nhất một đường thẳng song song với a.
D. hai đường thẳng song song với a
Câu 6: Hai đường thẳng xx’, yy’ cắt nhau và trong các góc tạo thành có một góc bằng 900, thì
A. vô số đường thẳng song song với a
B. một và chỉ một đường thẳng song song với a.
C. ít nhất một đường thẳng song song với a.
D. hai đường thẳng song song với a
II- Tự luận (7,0 điểm)
Câu 7: (1,5 điểm)
1) Thực hiện phép tính: a)
; b) 33. 2 - 3.42
2) Tìm x, biết:
Câu 8: (2,0 điểm) Cho hình vẽ dưới, biết a // b. Tính số đo ∠AOB

Câu 9: (1,5 điểm) Số học sinh của ba lớp 7A, 7B, 7C lần lượt tỉ lệ với 5, 4, 3 và tổng số học sinh của ba lớp là 72. Tính số học sinh của mỗi lớp.
Câu 10: (1,0 điểm): Vẽ hình, ghi giả thiết, kết luận bằng kí hiệu của định lí sau:
“Một đường thẳng vuông góc với một trong hai đường thẳng song song thì nó cũng vuông góc với đường thẳng kia”.
Câu 11: (1,0 điểm): Cho
. Tính giá trị của biểu thức
.
-----------HẾT-----------
Phòng Giáo dục và Đào tạo .....
Đề thi Giữa Học kì 1 - Trắc nghiệm + Tự luận
năm 2025
Bài thi môn: Toán lớp 7
Thời gian làm bài: phút
(không kể thời gian phát đề)
(Đề số 8)
I. TRẮC NGHIỆM: (2 điểm) Chọn chữ cái đứng trước câu trả lời đúng
Câu 1. Tổng
bằng:
A. – 1
B. 0
C. 2
D. 4
Câu 2. Trong các số hữu tỷ:
số hữu tỷ lớn nhất là:
Câu 3. Khi x = 8 thì |2 – x| bằng
A. – 6
B. 10 hoặc – 6
C. 6
D. 10
Câu 4. Trong các câu sau, câu nào không đúng:
A. Hai góc đối đỉnh thì bằng nhau
B. Hai góc bằng nhau thì đối đỉnh
C. Hai góc không bằng nhau thì không đối đỉnh
D. Hai góc bù nhau không đối đỉnh
II. TỰ LUẬN: (8 điểm)
Câu 5. (1,5 điểm) Thực hiện các phép tính sau:
Câu 6. (1,5 điểm) Tìm x biết:

Câu 7. (1,5 điểm)
a) Tìm chữ số a biết
chia hết cho 9
b) Tìm hai số nguyên dương a, b biết tích hai số bằng 216 và ƯCLN của chúng bằng 6.
Câu 8. (1,5 điểm)
Trong đợt ủng hộ cho các bạn miền núi, ba lớp 7A, 7B, 7C đã quyên góp được tổng cộng 192 quyển sách . Số sách 7A quyên góp chiếm
tổng số. Số sách 7B quyên góp bằng
số sách còn lại. Tính số sách của lớp 7C đã quyên góp.
Câu 9. (2 điểm)
Cho tam giác ABC có BC = 5 cm. Điểm M thuộc tia đối của tia CB sao cho CM = 3 cm.
a) Tính độ dài BM.
b) Cho biết ∠BAM = 80o ∠BAM = 60o .Tính số đo của góc ∠CAM
-----------HẾT-----------
Phòng Giáo dục và Đào tạo .....
Đề thi Giữa Học kì 1 - Trắc nghiệm + Tự luận
năm 2025
Bài thi môn: Toán lớp 7
Thời gian làm bài: phút
(không kể thời gian phát đề)
(Đề số 9)
I. TRẮC NGHIỆM (2 điểm)
* Khoanh tròn vào một chữ cái in hoa trước câu trả lời đúng
Câu 1: Kết quả của phép tính 36 . 34 là:
A. 910 B. 324 C. 310 D. 2748
Câu 2: Từ tỉ lệ thức
ta có thể suy ra:
Câu 3: Cho ba đường thẳng phân biệt a, b, c. Biết a ⊥ c và b ⊥ c, ta suy ra:
A. a và b cắt nhau. B. a và b song song với nhau.
C. a và b trùng nhau. D. a và b vuông góc với nhau.
Câu 4: Nếu 1 đường thẳng cắt 2 đường thẳng song song thì:
A. Hai góc trong cùng phía bù nhau B. Hai góc đồng vị phụ nhau
C. Hai góc so le trong bù nhau D. Cả 3 ý trên đều sai
II. TỰ LUẬN (8 điểm)
Câu 5: (1,5 đ) Trong các phân số sau đây phân số nào viết được dưới dạng số thập phân hữu hạn, phân số nào viết được dưới dạng số thập phân vô hạn tuần hoàn ? Viết dạng thập phân của các phân số đó:
Câu 6: (1,5 đ) Thực hiện phép tính:
Câu 7: (2 đ) Tìm hai số x và y, biết:
và x + y = 16.
Câu 8: (1 đ) Cho đoạn thẳng AB dài 4 cm. Hãy vẽ đường trung trực của đoạn thẳng AB.
Câu 9: (2 đ) Cho hình vẽ bên. Biết d // d’ và hai góc 700 và 1200.
Tính các góc D1; C2; C3; B4

-----------HẾT-----------
Phòng Giáo dục và Đào tạo .....
Đề thi Giữa Học kì 1 - Trắc nghiệm + Tự luận
năm 2025
Bài thi môn: Toán lớp 7
Thời gian làm bài: phút
(không kể thời gian phát đề)
(Đề số 10)
Phần I: Trắc nghiệm khách quan (2,0 điểm)
Hãy chọn chỉ một chữ cái đứng trước kết quả đúng vào bài làm của em.
Câu 1. Cách viết nào sau đây là đúng ?
Câu 2. Nếu
thì 5 – x có giá trị bằng:
A. 4 B. 6 C.
D.
Câu 3. Hai đường thẳng xx’ và yy’ cắt nhau tại O. Biết ∠xOy = 600. Kết quả nào sau đây đúng?
Câu 4. Đường thẳng xy là đường trung trực của đoạn thẳng AB nếu:
A. xy vuông góc với AB
B. xy vuông góc với AB tại A hoặc B
C. xy đi qua trung điểm của đoạn thẳng AB
D. xy vuông góc với AB tại trung điểm I của AB.
Phần II. Tự luận (8,0 điểm)
Câu 5. (2 điểm) Tính bằng cách hợp lí:
Câu 6. (2,0 điểm) Tìm x, biết:

Câu 7. (2 điểm) Một lớp học có 40 học sinh gồm ba loại: giỏi, khá và trung bình. Trong đó học sinh giỏi chiếm
học sinh cả lớp. Số học sinh khá chiếm 25% số học sinh còn lại.
a) Tính số học sinh mỗi loại.
b) Tính tỉ số phần trăm học sinh khá so với học sinh cả lớp.
Câu 8. (3 điểm) Trên đường thẳng xy lấy điểm O. Vẽ tia Oz sao cho ∠yOz = 140o.
a) Tính số đo của ∠zOy
b) Gọi OM, ON lần lượt là tia phân giác của các ∠xOz và ∠zOy . Chứng tỏ OM ⊥ ON.
Câu 9. (1 điểm) Cho
Chứng minh rằng 50 < A < 100.
-----------HẾT-----------
Tủ sách VIETJACK luyện thi vào 10 cho 2k11 (2026):
Đã có app VietJack trên điện thoại, giải bài tập SGK, SBT Soạn văn, Văn mẫu, Thi online, Bài giảng....miễn phí. Tải ngay ứng dụng trên Android và iOS.
Theo dõi chúng tôi miễn phí trên mạng xã hội facebook và youtube:Bộ đề thi năm 2025 các lớp các môn học được Giáo viên nhiều năm kinh nghiệm tổng hợp và biên soạn theo Thông tư mới nhất của Bộ Giáo dục và Đào tạo, được chọn lọc từ đề thi của các trường trên cả nước.
Nếu thấy hay, hãy động viên và chia sẻ nhé! Các bình luận không phù hợp với nội quy bình luận trang web sẽ bị cấm bình luận vĩnh viễn.
- Đề thi lớp 1 (các môn học)
- Đề thi lớp 2 (các môn học)
- Đề thi lớp 3 (các môn học)
- Đề thi lớp 4 (các môn học)
- Đề thi lớp 5 (các môn học)
- Đề thi lớp 6 (các môn học)
- Đề thi lớp 7 (các môn học)
- Đề thi lớp 8 (các môn học)
- Đề thi lớp 9 (các môn học)
- Đề thi lớp 10 (các môn học)
- Đề thi lớp 11 (các môn học)
- Đề thi lớp 12 (các môn học)
- Giáo án lớp 1 (các môn học)
- Giáo án lớp 2 (các môn học)
- Giáo án lớp 3 (các môn học)
- Giáo án lớp 4 (các môn học)
- Giáo án lớp 5 (các môn học)
- Giáo án lớp 6 (các môn học)
- Giáo án lớp 7 (các môn học)
- Giáo án lớp 8 (các môn học)
- Giáo án lớp 9 (các môn học)
- Giáo án lớp 10 (các môn học)
- Giáo án lớp 11 (các môn học)
- Giáo án lớp 12 (các môn học)


Giải bài tập SGK & SBT
Tài liệu giáo viên
Sách
Khóa học
Thi online
Hỏi đáp

