Đề thi Giữa kì 2 Hóa học lớp 8 có đáp án (6 đề)
Đề thi Giữa kì 2 Hóa học lớp 8 có đáp án (6 đề)
Với 6 Đề thi Giữa kì 2 Hóa học lớp 8 có đáp án, chọn lọc năm 2025 giúp học sinh ôn tập và đạt kết quả cao trong bài thi Giữa kì 2 Hóa học 8.
ĐỀ THI GIỮA HỌC KÌ II năm 2025
Phòng Giáo dục và Đào tạo .....
Đề thi Giữa kì 2
năm 2025
Bài thi môn: Hóa học lớp 8
Thời gian làm bài: phút
(không kể thời gian phát đề)
(Đề số 1)
(Cho nguyên tử khối của C = 12, O = 16, H = 1, Na = 23, K = 39, Mg = 24, Ca = 40, P = 31, Cl = 35,5, Fe = 56, Al = 27, N = 14, S = 32, Mn = 55, Cu = 64, Zn = 65)
Câu 1: Nguyên liệu nào sau đây dùng để điều chế O2 trong phòng thí nghiệm?
A. KClO3, KNO3, không khí.
B. KClO3, CaCO3, KMnO4.
C. KMnO4, KClO3, KNO3.
D. KMnO4, KClO3.
Câu 2: Chọn đáp án đúng nhất?
A. Phản ứng hóa hợp chính là phản ứng cháy.
B. Sự oxi hóa chậm không tỏa nhiệt và phát sáng.
C. Sự oxi hóa chậm tỏa nhiệt và không phát sáng.
D. Cả 3 đáp án đều sai.
Câu 3: Trong các câu sau, câu nào sai?
A. Oxi nặng hơn không khí.
B. Oxi là chất khí không màu, không mùi, không vị.
C. Oxi tan nhiều trong nước.
D. Oxi chiếm 1/5 thể tích không khí.
Câu 4: Thành phần thể tích của không khí gồm
A. 21% khí oxi, 78% khí nitơ, 1% các khí khác (CO2, hơi nước, khí hiếm,...).
B. 21% khí nitơ, 78% khí oxi, 1% các khí khác (CO2, hơi nước, khí hiếm,...).
C. 21% các khí khác, 78% khí nitơ, 1% khí oxi.
D. 21% khí oxi, 78% các khí khác, 1% khí nitơ.
Câu 5: Đốt cháy hoàn toàn 2,24 lít khí CH4 trong bình chứa khí oxi. Thể tích khí oxi (đo ở đktc) cần dùng là
A. 2,24 lít.
B. 3,36 lít.
C. 4,48 lít.
D. 6,72 lít.
Câu 6: Phản ứng nào dưới đây không phải là phản ứng thế?
A. CuO + H2 ⟶ Cu + H2O
B. Mg + 2HCl ⟶ MgCl2 + H2
C. Ca(OH)2 + CO2 ⟶ CaCO3 + H2O
D. Zn + CuSO4 ⟶ ZnSO4 + Cu
Câu 7: Sự oxi hóa chậm là
A. sự oxi hóa không tỏa nhiệt.
B. sự oxi hóa mà không phát sáng.
C. sự oxi hóa tỏa nhiệt mà không phát sáng.
D. sự tự bốc cháy.
Câu 8: Khí oxi có tính chất vật lí nào?
A. Nhẹ hơn không khí.
B. Tan trong nước.
C. Hoá lỏng ở -100oC.
D. Nặng hơn không khí, ít tan trong nước và hoá lỏng ở – 183oC.
Câu 9: Phương trình đốt lưu huỳnh cháy với khí oxi là

Câu 10: Chọn phát biểu đúng?
A. Oxit là một hợp chất của 2 nguyên tố.
B. Oxit là hợp chất của 2 nguyên tố trong đó có 1 nguyên tố là oxi.
C. Oxit là hỗn hợp của oxi với các nguyên tố khác.
D. Oxit là hợp chất có chứa nguyên tố oxi.
Câu 11: Trong các phản ứng hoá học sau, phản ứng nào là phản ứng phân huỷ?

Câu 12: Muốn dập tắt sự cháy phải thực hiện biện pháp
A. Hạ nhiệt độ của chất cháy xuống dưới nhiệt độ cháy.
B. Cách ly chất cháy với khí oxi.
C. Một hoặc đồng thời cả hai biện pháp A, B.
D. Đồng thời cả hai biện pháp A, B.
Câu 13: Khí hiđro là chất khí
A. nặng nhất.
B. nhẹ nhất trong các khí.
C. nặng bằng không khí.
D. nặng hơn khí nitơ.
Câu 14: Dẫn khí H2 qua bột CuO nung nóng ở nhiệt độ cao có hiện tượng
A. tạo thành lớp kim loại màu đỏ gạch.
B. tạo thành những giọt nước.
C. tạo thành lớp kim loại màu đen.
D. không có hiện tượng gì.
Câu 15: Phản ứng hóa học nào sau đây dùng để điều chế kim loại sắt?

Câu 16: Muốn điều chế được 11,2 lít khí H2 (ở đktc) cần khối lượng Zn phản ứng với dung dịch H2SO4 dư là
A. 32,5 gam
B. 6,5 gam
C. 65 gam
D. 1,3 gam.
Câu 17: Tính chất hoá học của nước là
A. Tác dụng với kim loại.
B. Tác dụng với oxit bazơ.
C. Tác dụng với oxit axit.
D. Tác dụng với kim loại mạnh, oxit bazơ của kim loại mạnh và nhiều oxit axit.
Câu 18: Cho các công thức hoá học: HCl; Ca(OH)2; Al2O3; H2SO4; Fe2O3; Na2SO4. Số công thức thuộc oxit là
A. 5.
B. 4.
C. 3.
D. 2.
Câu 19: Trong phản ứng hóa học giữa khí H2 và CuO ở nhiệt độ cao đã xảy ra
A. sự oxi hóa H2 tạo thành H2O.
B. sự khử H2 tạo thành H2O.
C. sự oxi hoá CuO tạo ra Cu.
D. sự phân hủy CuO thành Cu.
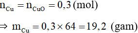
Câu 20: Khử hoàn toàn 16 gam đồng (II) oxit bằng khí hiđro. Khối lượng đồng kim loại thu được là
A. 6,4 gam.
B. 12,8 gam.
C. 16,0 gam.
D. 19,2 gam.
Câu 21: Tên gọi của P2O5 là
A. Điphotpho trioxit.
B. Photpho oxit
C. Điphotpho oxit.
D. Điphotpho pentaoxit
Câu 22: Trong phân tử nước có phần trăm khối lượng H là
A. 11,1%.
B. 88,97%.
C. 90%.
D. 10%
Câu 23: Chọn phát biểu đúng?
A. Sự tách oxi khỏi hợp chất được gọi là sự oxi hóa.
B. Sự tác dụng của oxi với một chất gọi là sự khử.
C. Chất khử là chất chiếm oxi của chất khác.
D. Chất oxi hóa là chất chiếm oxi của chất khác.
Câu 24: Sự giống nhau giữa sự cháy và sự oxi hóa chậm là
A. Phát sáng.
B. Cháy.
C. Tỏa nhiệt.
D. Sự oxi hóa xảy ra chậm
Câu 25: Cho phản ứng:

Phản ứng trên là
A. Phản ứng hóa hợp.
B. Phản ứng toả nhiệt.
C. Phản ứng cháy.
D. Tất cả các ý trên đều đúng.
--- Hết ---
Giám thị không giải thích thêm
ĐÁP ÁN VÀ HƯỚNG DẪN GIẢI
1. D |
2. C |
3. C |
4. A |
5. C |
6. C |
7. C |
8. D |
9. B |
10. B |
11. B |
12. C |
13. B |
14. A |
15. A |
16. A |
17. D |
18. D |
19. A |
20. B |
21. D |
22. A |
23. C |
24. C |
25. D |
Câu 1
Câu 1
Đáp án D
Trong phòng thí nghiệm, khí oxi được điều chế bằng cách đun nóng những hợp chất giàu oxi và dễ bị phân hủy ở nhiệt độ cao như KMnO4 và KClO3.
Phương trình hóa học:

Câu 2
Đáp án C
Sự oxi hóa chậm là sự oxi hóa có tỏa nhiệt và không phát sáng.
Câu 3
Đáp án C
Oxi là chất khí ít tan trong nước.
⇒ Đáp án C sai.
Câu 4
Đáp án A
Thành phần thể tích của không khí gồm 21% khí oxi, 78% khí nitơ, 1% các khí khác (CO2, hơi nước, khí hiếm,...).
Câu 5
Đáp án C
Ta có:

Phương trình hóa học:

Câu 6
Đáp án C
Phản ứng thế là phản ứng hóa học giữa đơn chất và hợp chất, trong đó nguyên tử của đơn chất thay thế nguyên tử của một nguyên tố khác trong hợp chất.
⇒ Phương trình C không phải phản ứng thế.
Câu 7
Đáp án C
Sự oxi hóa chậm là sự oxi hóa có tỏa nhiệt mà không phát sáng.
Câu 8
Đáp án D
Khí oxi nặng hơn không khí, ít tan trong nước và hoá lỏng ở – 183oC. Đây là một số tính chất vật lí của oxi.
Câu 9
Đáp án B

Câu 10
Đáp án B
Oxit là hợp chất của 2 nguyên tố trong đó có 1 nguyên tố là oxi.
Ví dụ: CaO, Fe2O3, CO2, SO3, …
Câu 11
Đáp án B
Phản ứng phân hủy là phản ứng hóa học mà một chất bị phân hủy thành hai hay nhiều chất mới.
⇒ Phản ứng phân hủy là :

Câu 12
Đáp án C
Muốn dập tắt sự cháy phải thực hiện một hay đồng thời hai biện pháp sau:
+ Hạ nhiệt độ của chất cháy xuống dưới nhiệt độ cháy.
+ Cách ly chất cháy với khí oxi.
Câu 13
Đáp án B
Ta có: 
=> Khí H2 là chất khí nhẹ nhất trong các khí.
Câu 14
Đáp án A
Dẫn khí H2 qua bột CuO nung nóng ở nhiệt độ cao thấy có chất rắn màu đen (CuO) chuyển dần thành màu đỏ gạch (Cu).
Phương trình hóa học:

Câu 15
Đáp án A
Để điều chế kim loại sắt thì người ta dùng khí CO để khử oxit sắt thành Fe.
Phương trình hóa học:

Câu 16
Đáp án A
Ta có:

Phương trình hóa học:

⟹ mZn = 0,5.65 = 32,5 gam
Câu 17
Đáp án D
Tính chất hoá học của nước là tác dụng với:
+ kim loại mạnh.
+ oxit bazơ của kim loại mạnh.
+ nhiều oxit axit.
Câu 18
Đáp án D
Oxit là hợp chất của 2 nguyên tố trong đó có 1 nguyên tố là oxi.
⇒ Oxit gồm: Al2O3 và Fe2O3.
Câu 19
Đáp án A
Trong phản ứng hóa học giữa khí H2 và CuO ở nhiệt độ cao đã xảy ra sự oxi hóa H2 tạo thành H2O vì H2 đã kết hợp với nguyên tử oxi trong CuO.
Câu 20
Đáp án B
Ta có:

Phương trình hóa học:

⇒ mCu = 0,2.64 = 12,8 gam
Câu 21
Đáp án D
P2O5 là oxit axit.
Tên oxit axit = Tiền tố chỉ số nguyên tử phi kim + tên phi kim + tiền tố chỉ số nguyên tử oxi + oxit
⇒ P2O5 có tên gọi là điphotpho pentaoxit
Câu 22
Đáp án A
Phần trăm khối lượng của H trong H2O là:

Câu 23
Đáp án C
Chất khử là chất chiếm oxi của chất khác.
⇒ Đáp án C đúng.
Câu 24
Đáp án C
Sự giống nhau giữa sự cháy và sự oxi hóa chậm là đều tỏa nhiệt.
Câu 25
Đáp án D
Phản ứng đốt cháy cacbon (than) trong khí oxi:

- Ta thấy: chất mới CO2 được tạo thành từ 2 chất ban đầu là C và O2.
⇒ Đây là phản ứng hóa hợp.
- Vì C phản ứng với O2 tỏa nhiều nhiệt.
⇒ Đây là phản ứng cháy, tỏa nhiệt.
Phòng Giáo dục và Đào tạo .....
Đề thi Giữa kì 2
năm 2025
Bài thi môn: Hóa học lớp 8
Thời gian làm bài: phút
(không kể thời gian phát đề)
(Đề số 2)
(Cho nguyên tử khối của C = 12, O = 16, H = 1, Na = 23, K = 39, Mg = 24, Ca = 40, P = 31, Cl = 35,5, Fe = 56, Al = 27, N = 14, S = 32, Mn = 55, Cu = 64, Zn = 65)
Câu 1: Phát biểu nào sau đây không đúng?
A. Khí oxi là chất khí không màu, không mùi, ít tan trong nước.
B. Khí oxi nhẹ hơn không khí.
C. Oxi hóa lỏng ở − 183oC.
D. Oxi lỏng có màu xanh nhạt.
Câu 2: Cho các phát biểu sau:
(1) Khí oxi là một đơn chất phi kim hoạt động rất kém.
(2) Ở nhiệt độ cao, khí oxi dễ dàng tham gia phản ứng hóa học với nhiều phi kim, nhiều kim loại và hợp chất.
(3) Sắt cháy trong khí oxi thu được oxit sắt từ.
(4) Oxi là nguyên tố hóa học phổ biến nhất (chiếm 49,4% khối lượng vỏ Trái Đất).
(5) Ở dạng đơn chất, khí oxi có nhiều trong không khí.
Trong các phát biểu trên, số phát biểu đúng là
A. 3.
B. 2.
C. 5.
D. 4.
Câu 3: Thể tích khí oxi (đktc) cần dùng để đốt cháy hoàn toàn 3,2 gam metan là
A. 4,48 lít.
B. 5,60 lít.
C. 8,96 lít.
D. 2,24 lít
Câu 4: Ứng dụng nào sau đây không phải của oxi?
A. Cần để đốt nhiên liệu trong đời sống và sản xuất.
B. Dùng để dập tắt đám cháy.
C. Cần cho sự hô hấp của người và động vật.
D. Oxi lỏng còn dùng để đốt nhiên liệu trong tên lửa.
Câu 5: Trong các phản ứng hóa học sau, phản ứng nào là phản ứng hóa hợp?

Câu 6: Công thức Fe2O3 có tên gọi là gì?
A. Sắt oxit.
B. Sắt(II) oxit.
C. Sắt(III) oxit.
D. Sắt từ oxit.
Câu 7: Chỉ ra các oxit bazơ trong dãy sau: P2O5, CaO, CuO, BaO, Na2O, SO3?
A. P2O5, CaO, CuO.
B. CaO, CuO, BaO, Na2O.
C. BaO, Na2O, SO3.
D. P2O5, CaO, SO3.
Câu 8: Người ta thu khí oxi bằng cách đẩy nước nhờ dựa vào tính chất nào?
A. Khí oxi tan trong nước.
B. Khí oxi ít tan trong nước.
C. Khí oxi khó hóa lỏng.
D. Khí oxi nhẹ hơn nước.
Câu 9: Cho các phản ứng sau:

Số phản ứng phân hủy là
A. 1.
B. 2.
C. 3.
D. 4.
Câu 10: Điều kiện phát sinh phản ứng cháy là
A. Chất phải nóng đến nhiệt độ cháy.
B. Phải đủ khí oxi cho sự cháy.
C. Cần phải có chất xúc tác cho phản ứng cháy.
D. Cả A và B.
Câu 11: Đốt cháy 6 gam oxi và 6,2 gam P trong bình. Sau phản ứng chất nào còn dư?
A. Photpho.
B. Cả hai chất đều hết.
C. Không xác định được.
D. Oxi.
Câu 12: Hỗn hợp khí hiđro và khí oxi là hỗn hợp nổ. Hỗn hợp sẽ gây nổ mạnh nhất nếu trộn khí H2 và khí O2 theo tỉ lệ về thể tích là
A. 1:2.
B. 1:3.
C. 3:1.
D. 2:1.
Câu 13: Khử hoàn toàn 24 gam đồng (II) oxit bằng khí hiđro. Khối lượng đồng kim loại thu được là
A. 6,4 gam.
B. 12,8 gam.
C. 16,0 gam.
D. 19,2 gam.
Câu 14: Ứng dụng nào sau đây không phải của khí hiđro?
A. Dùng làm nhiên liệu cho động cơ tên lửa.
B. Dùng để bơm vào khinh khí cầu, bóng thám không.
C. Dùng trong đèn xì oxi-hiđro để hàn cắt kim loại.
D. Dùng để dập tắt đám cháy.
Câu 15: Trong phản ứng hóa học giữa khí H2 và CuO ở nhiệt độ cao đã xảy ra
A. sự oxi hóa H2 tạo thành H2O.
B. sự khử H2 tạo thành H2O.
C. sự oxi hoá CuO tạo ra Cu.
D. sự phân hủy CuO thành Cu.
Câu 16: Phản ứng nào sau đây không phải là phản ứng oxi hóa – khử?

Câu 17: Cho kim loại kẽm tác dụng với dung dịch HCl dư. Để điều chế được 1,12 lít khí hiđro (ở đktc) thì khối lượng kẽm cần dùng là
A. 0,65 gam.
B. 1,95 gam.
C. 2,60 gam.
D. 3,25 gam.
Câu 18: Phát biểu nào sau đây không đúng?
A. Thu khí H2 vào ống nghiệm bằng cách đẩy không khí hay đẩy nước.
B. Nhận ra khí H2 bằng que đóm đang cháy.
C. Khí hiđro khử đồng(II) oxit ở nhiệt độ cao thành kim loại Cu.
D. Khí hiđro có tính oxi hóa.
Câu 19: Kim loại nào sau đây tác dụng được với nước ở nhiệt độ thường?
A. Mg.
B. Cu.
C. Fe.
D. Na.
Câu 20: Oxit nào sau đây tác dụng với nước tạo thành bazơ?
A. CaO.
B. SO3.
C. Al2O3.
D. CuO.
Câu 21: Cho phương trình hóa học:

Quá trình Al tạo thành Al2O3 và quá trình Fe2O3 tạo thành Fe được gọi lần lượt là
A. sự oxi hóa, sự khử.
B. sự khử, sự oxi hóa.
C. sự phân hủy, sự khử.
D. sự oxi hóa, sự phân hủy.
Câu 22: Phần trăm về khối lượng của nguyên tố H trong nước là
A. 88,9%.
B. 11,1%.
C. 16,2%.
D. 83,8%.
Câu 23: Vì sao cá sống được trong nước?
A. Vì trong nước có hòa tan khí nitơ.
B. Vì trong nước có hòa tan khí cacbon đioxit.
C. Vì trong nước có hòa tan khí hiđro.
D. Vì trong nước có hòa tan khí oxi.
Câu 24: Hiện tượng xảy ra khi cho một cây nến đang cháy vào một lọ thủy tinh rồi đậy nút kín là
A. cây nến cháy mãnh liệt hơn.
B. cây nến vẫn cháy như trước.
C. ngọn lửa cây nến sẽ yếu dần đi rồi tắt.
D. ngọn lửa cây nến đổi màu.
Câu 25: Cho phản ứng:

Phản ứng trên là
A. Phản ứng hóa hợp
B. Phản ứng toả nhiệt
C. Phản ứng cháy.
D. Tất cả các ý trên đều đúng.
--- Hết ---
Giám thị không giải thích thêm
ĐÁP ÁN VÀ HƯỚNG DẪN GIẢI
1. B |
2. D |
3. C |
4. B |
5. A |
6. C |
7. B |
8. B |
9. B |
10. D |
11. A |
12. D |
13. D |
14. D |
15. A |
16. C |
17. D |
18. D |
19. D |
20. A |
21. A |
22. B |
23. D |
24. C |
25. D |
Câu 1
Câu 1
Đáp án B

→ Khí oxi nặng hơn không khí.
Câu 2
Đáp án D
Phát biểu đúng: (2), (3), (4), (5).
Phát biểu không đúng: (1).
Khí oxi là một đơn chất phi kim rất hoạt động, đặc biệt ở nhiệt độ cao, khí oxi dễ dàng tác dụng được với nhiều đơn chất (kim loại, phi kim) và hợp chất.
Câu 3
Đáp án C
Phương trình hóa học:


Theo phương trình hóa học:


Câu 4
Đáp án B
Khí oxi cần cho sự hô hấp của người và động vật, cần để đốt nhiên liệu trong đời sống và sản xuất. Oxi lỏng còn dùng để đốt nhiên liệu trong tên lửa.
Câu 5
Đáp án A
Phản ứng hóa hợp là phản ứng hóa học trong đó chỉ có một chất mới (sản phẩm) được tạo thành từ hai hay nhiều chất ban đầu.
⇒ Phản ứng hóa hợp:

Câu 6
Đáp án C
Fe là kim loại có nhiều hóa trị, hóa trị của Fe trong Fe2O3 là III
⇒ Công thức Fe2O3 có tên gọi là: sắt (III) oxit
Câu 7
Đáp án B
Oxit bazơ là oxit của kim loại.
⇒ Các oxit bazơ là: CaO, CuO, BaO, Na2O.
Câu 8
Đáp án B
Người ta thu khí oxi bằng cách đẩy nước nhờ dựa vào tính chất: Khí oxi ít tan trong nước.
Câu 9
Đáp án B
Phản ứng phân hủy là phản ứng hóa học trong đó một chất phản ứng sinh ra hai hay nhiều chất mới
⇒ Các phản ứng phân hủy là:

Câu 10
Đáp án D
Điều kiện phát sinh phản ứng cháy là:
- Chất phải nóng đến nhiệt độ cháy.
- Phải có đủ khí oxi cho sự cháy.
Câu 11
Đáp án A
Số mol O2 là:

Số mol P là:

Phương trình hóa học:

Xét tỉ lệ:

Vì 0,05 > 0,0375 ⇒ O2 phản ứng hết, P dư
Câu 12
Đáp án D
Phương trình hóa học:

Hỗn hợp khí hiđro và khí oxi là hỗn hợp nổ. Hỗn hợp sẽ gây nổ mạnh nhất nếu trộn khí H2 và khí O2 theo tỉ lệ về thể tích đúng như hệ số các chất trong phương trình hóa học trên tức là 2 : 1.
Câu 13
Đáp án D
Phương trình hóa học:

Theo phương trình hóa học:

Câu 14
Đáp án D
Khí hiđro cháy mạnh trong khí oxi, do đó không dùng để dập tắt đám cháy.
Phương trình hóa học:

Câu 15
Đáp án A
Sự tách oxi khỏi hợp chất gọi là sự khử. Sự tác dụng của oxi với một chất là sự oxi hóa.
Phương trình hóa học:

Trong phản ứng (1) trên đã xảy ra:
Quá trình tách nguyên tử oxi khỏi hợp chất CuO → xảy ra sự khử CuO tạo ra Cu.
Quá trình kết hợp của nguyên tử oxi trong CuO với H2 → sự oxi hóa H2 tạo thành H2O.
Câu 16
Đáp án C
Phản ứng oxi hóa – khử là phản ứng trong đó xảy ra đồng thời sự oxi hóa và sự khử.
→ Phản ứng không phải là phản ứng oxi hóa – khử:

Đây là phản ứng phân hủy.
Câu 17
Đáp án D
Phương trình hóa học: Zn + 2HCl → ZnCl2 + H2↑.
Ta có:

Theo phương trình hóa học:

Câu 18
Đáp án D
Khí hiđro H2 có tính khử.
Câu 19
Đáp án D
Nước tác dụng với một số kim loại ở nhiệt độ thường (như Na, K, Ca, Ba ...) tạo thành bazơ tan và khí hiđro.
Phương trình hoá học: 2Na + 2H2O → 2NaOH + H2↑.
Câu 20
Đáp án A
Nước tác dụng với một số bazơ (Na2O, K2O, BaO, CaO …) tạo ra bazơ (NaOH, KOH, Ba(OH)2, Ca(OH)2 …).
Phương trình hoá học: CaO + H2O → Ca(OH)2.
Câu 21
Đáp án A
Sự tách oxi khỏi hợp chất gọi là sự khử. Sự tác dụng của oxi với một chất là sự oxi hóa. Vậy:
Quá trình Al tạo thành Al2O3 là sự oxi hóa.
Quá trình Fe2O3 tạo thành Fe là sự khử.
Câu 22
Đáp án B
Công thức hoá học của nước là H2O.
Phần trăm về khối lượng của nguyên tố H trong nước là

Câu 23
Đáp án D
Cá sống được trong vì nước có hòa tan khí oxi.
Trong quá trình thở, cá hấp thụ nước qua miệng và đẩy mạnh qua mang. Khi nước chuyển qua mang, oxi hòa tan trong nước sẽ đi qua thành mỏng của mang vào mạch máu sau đó đi vào máu. Cuối cùng chất thải cacbon đioxit có trong máu sẽ đi vào nước giúp cá thở dưới nước.
Câu 24
Đáp án C
Khi cho một cây nến đang cháy vào một lọ thủy tinh rồi đậy nút kín, ngọn lửa cây nến sẽ yếu dần đi rồi tắt. Nguyên nhân là vì khi nến cháy, lượng oxi trong bình giảm dần rồi hết, khi đó nến sẽ tắt đi.
Câu 25
Đáp án D
Phản ứng đốt cháy cacbon (than) trong khí oxi:

- Ta thấy: chất mới CO2 được tạo thành từ 2 chất ban đầu là C và O2.
⇒ Đây là phản ứng hóa hợp.
- Vì C phản ứng với O2 tỏa nhiều nhiệt.
⇒ Đây là phản ứng cháy, tỏa nhiệt.
Phòng Giáo dục và Đào tạo .....
Đề thi Giữa kì 2
năm 2025
Bài thi môn: Hóa học lớp 8
Thời gian làm bài: phút
(không kể thời gian phát đề)
(Đề số 3)
(Cho nguyên tử khối của C = 12, O = 16, H = 1, Na = 23, K = 39, Mg = 24, Ca = 40, P = 31, Cl = 35,5, Fe = 56, Al = 27, N = 14, S = 32, Mn = 55, Cu = 64, Zn = 65)
Câu 1: Phát biểu nào sau đây không đúng?
A. Nước là chất lỏng không màu (tuy nhiên lớp nước dày thì có màu xanh da trời).
B. Nước là chất lỏng không mùi, không vị.
C. Nước sôi ở nhiệt độ trên 100oC và hoá rắn ở 0oC thành nước đá và tuyết.
D. Nước có thể hoà tan được nhiều chất rắn (đường, muối ăn …), chất lỏng (cồn, axit …), chất khí (HCl, NH3 …).
Câu 2: Cho 2,7 gam nhôm tác dụng với dung dịch H2SO4 loãng, dư. Thể tích khí H2 (ở đktc) thu được sau phản ứng là
A. 1,12 lít.
B. 2,24 lít.
C. 3,36 lít.
D. 4,48 lít.
Câu 3: Trong công nghiệp, điều chế H2 bằng cách
A. cho axit HCl tác dụng với kim loại kẽm.
B. điện phân nước.
C. khử oxit kim loại.
D. nhiệt phân hợp chất giàu hiđro.
Câu 4: Đốt cháy hoàn toàn 56 lít khí hiđro (ở đktc) với khí oxi dư. Khối lượng nước thu được là
A. 45 gam.
B. 36 gam.
C. 24 gam.
D. 18 gam.
Câu 5: Biết oxi chiếm 20% thể tích không khí. Thể tích không khí (đktc) cần thiết để đốt cháy 1 mol cacbon là
A. 112,0 lít.
B. 224,0 lít.
C. 11,2 lít.
D. 22,4 lít.
Câu 6: Cho các phát biểu sau:
(1) Khí oxi là một đơn chất phi kim hoạt động rất kém.
(2) Ở nhiệt độ cao, khí oxi dễ dàng tham gia phản ứng hóa học với nhiều phi kim, nhiều kim loại và hợp chất.
(3) Sắt cháy trong khí oxi thu được oxit sắt từ.
(4) Oxi là nguyên tố hóa học phổ biến nhất (chiếm 49,4% khối lượng vỏ Trái Đất).
(5) Ở dạng đơn chất, khí oxi có nhiều trong không khí.
Trong các phát biểu trên, số phát biểu đúng là
A. 3.
B. 2.
C. 5.
D. 4.
Câu 7: Một oxit của lưu huỳnh trong đó oxi chiếm 50% về khối lượng. Công thức phân tử của oxit đó là
A. SO2.
B. SO3.
C. S2O3.
D. S2O.
Câu 8: Phản ứng hóa hợp là
A. phản ứng hóa học trong đó một chất sinh ra hai hay nhiều chất mới.
B. phản ứng hóa học trong đó chỉ có một chất mới (sản phẩm) được tạo thành từ hai hay nhiều chất ban đầu.
C. phản ứng hóa học giữa đơn chất và hợp chất, trong đó nguyên tử của đơn chất thay thế nguyên tử của một nguyên tố khác trong hợp chất.
D. phản ứng hóa học giữa một đơn chất và một hợp chất, sinh ra hai hay nhiều chất mới.
Câu 9: Để đốt cháy hoàn toàn 15,2 gam hỗn hợp A gồm Cu và Mg cần dùng V lít khí oxi (đktc), sau phản ứng thu được 20 gam chất rắn. Giá trị của V là
A. 4,48.
B. 5,60.
C. 2,24.
D. 3,36.
Câu 10: Oxit nào sau đây là oxit axit?
A. CuO.
B. Na2O.
C. CO2.
D. CaO.
Câu 11: Cách đọc tên nào sau đây sai?
A. CO2: cacbon(II) oxit.
B. CuO: đồng(II) oxit.
C. FeO: sắt(II) oxit.
D. CaO: canxi oxit.
Câu 12: Người ta thu khí oxi bằng cách đẩy nước nhờ dựa vào tính chất nào của oxi?
A. Khí oxi tan trong nước.
B. Khí oxi ít tan trong nước.
C. Khí oxi khó hóa lỏng.
D. Khí oxi nhẹ hơn nước.
Câu 13: Cho các chất sau: FeO (1), KClO3 (2), KMnO4 (3), CaCO3 (4), không khí (5), H2O (6). Những chất nào được dùng để điều chế oxi trong phòng thí nghiệm?
A. 2, 3.
B. 2, 3, 5, 6.
C. 1, 2, 3,5.
D. 2, 3, 5.
Câu 14: Muốn dập tắt đám cháy nhỏ do xăng, dầu gây ra, ta có thể sử dụng
A. Xăng hoặc dầu phun vào đám cháy.
B. Cát hoặc vải dày ẩm trùm kín đám cháy.
C. Nước để dập tắt đám cháy.
D. Khí oxi phun vào đám cháy.
Câu 15: Chọn phát biểu đúng nhất?
A. Phản ứng hóa hợp chính là phản ứng cháy.
B. Sự oxi hóa chậm không tỏa nhiệt và phát sáng.
C. Sự oxi hóa chậm tỏa nhiệt và không phát sáng.
D. Cả 3 đáp án đều sai.
Câu 16: Khử hoàn toàn 24 gam đồng (II) oxit bằng khí hiđro. Khối lượng đồng kim loại thu được là
A. 6,4 gam.
B. 12,8 gam.
C. 16,0 gam.
D. 19,2 gam.
Câu 17: Phát biểu không đúng là
A. Hiđro là chất khí nhẹ nhất trong các chất khí.
B. Khí hiđro có tính khử, có thể kết hợp với nguyên tố oxi trong một số oxit kim loại.
C. Hiđro có nhiều ứng dụng, chủ yếu do tính chất rất nhẹ, do tính khử và khi cháy tỏa nhiều nhiệt.
D. Hiđro có thể tác dụng với tất cả oxit kim loại ở nhiệt độ cao.
Câu 18: Cho hai thí nghiệm sau:
Thí nghiệm 1: Cho một luồng khí H2 (sau khi đã kiểm tra sự tinh khiết) đi qua bột đồng (II) oxit CuO có màu đen ở nhiệt độ thường.
Thí nghiệm 2: Đốt nóng CuO tới khoảng 400oC rồi cho luồng khí H2 đi qua.
Phát biểu nào sau đây không đúng?
A. Thí nghiệm 1: Không có phản ứng hóa học xảy ra.
B. Thí nghiệm 2: Bột CuO màu đen chuyển dần thành màu đỏ gạch.
C. Không có hiện tượng gì ở cả hai thí nghiệm.
D. Thí nghiệm 2: Có những giọt nước tạo thành.
Câu 19: Để khử m gam đồng(II) oxit cần dùng 3,36 lít khí hiđro (ở đktc). Giá trị của m là
A. 8.
B. 12.
C. 16.
D. 20.
Câu 20: Cho những biến đổi hóa học sau:
(1) Nung nóng canxi cacbonat.
(2) Sắt tác dụng với lưu huỳnh.
(3) Khí CO đi qua đồng (II) oxit nung nóng.
Những biến đổi hóa học trên thuộc loại phản ứng nào?
A. (1) và (3) là phản ứng oxi hóa – khử, (2) là phản ứng hóa hợp.
B. (1) là phản ứng phân hủy, (2) là phản ứng hóa hợp, (3) là phản ứng oxi hóa – khử.
C. (1) là phản ứng phân hủy, (2) là phản ứng oxi hóa – khử, (3) là phản ứng hóa hợp.
D. (1) là phản ứng hóa hợp, (2) và (3) là phản ứng oxi hóa – khử.
Câu 21: Thực hiện các thí nghiệm sau:
(1) Sục khí CO2 vào dung dịch Ca(OH)2.
(2) Cho khí H2 qua sắt (III) oxit nung nóng.
(3) Đốt cháy Fe trong bình đựng khí Cl2.
(4) Sục khí SO2 vào dung dịch KOH.
Số thí nghiệm có xảy ra phản ứng oxi hóa – khử là
A. 1.
B. 2.
C. 3.
D. 4.
Câu 22: Chọn câu đúng?
A. Tất cả kim loại tác dụng với nước đều tạo ra bazơ tương ứng và khí hiđro.
B. Nước là chất lỏng không màu, không mùi, không vị.
C. Nước làm đổi màu quỳ tím.
D. Na tác dụng với H2O sinh ra khí O2.
Câu 23: Axit tương ứng của oxit axit SO2 là
A. H2SO3.
B. H2SO4.
C. HSO3.
D. SO3.2H2O.
Câu 24: Phát biểu nào sau đây không đúng?
A. Khí oxi cần cho sự hô hấp của người và động vật.
B. Khí oxi có nhiều trong không khí.
C. Khi càng lên cao thì tỉ lệ thể tích khí oxi trong không khí tăng.
D. Phản ứng cháy giữa cacbon và oxi là phản ứng hóa hợp.
Câu 25: Khí oxi không tác dụng được với chất nào sau đây?
A. Fe.
B. S.
C. P.
D. Ag.
--- Hết ---
Giám thị không giải thích thêm
ĐÁP ÁN VÀ HƯỚNG DẪN GIẢI
1. C |
2. C |
3. B |
4. A |
5. A |
6. D |
7. A |
8. B |
9. D |
10. C |
11. A |
12. B |
13. A |
14. B |
15. C |
16. D |
17. D |
18. C |
19. B |
20. B |
21. B |
22. B |
23. A |
24. C |
25. D |
Câu 1
Câu 1
Đáp án C
Nước là chất lỏng không màu (tuy nhiên lớp nước dày thì có màu xanh da trời), không mùi, không vị, sôi ở nhiệt độ 100oC và hoá rắn ở 0oC thành nước đá và tuyết. Nước có thể hoà tan được nhiều chất rắn (đường, muối ăn …), chất lỏng (cồn, axit …), chất khí (HCl, NH3 …).
Câu 2
Đáp án C
Phương trình hóa học: 2Al + 3H2SO4 → Al2(SO4)3 + 3H2↑

Theo phương trình hóa học:

Suy ra:

Câu 3
Đáp án B
Trong công nghiệp, điều chế H2 bằng cách điện phân nước hoặc dùng than khử oxi của H2O trong lò khí than hoặc điều chế H2 từ khí tự nhiên, khí dầu mỏ.

Câu 4
Đáp án A
Phương trình hoá học:


Theo phương trình hoá học:

Câu 5
Đáp án A
Phương trình hóa học:
Theo phương trình hóa học:

Oxi chiếm 20% thể tích không khí

Câu 6
Đáp án D
Phát biểu đúng: (2), (3), (4), (5).
Phát biểu không đúng: (1).
Khí oxi là một đơn chất phi kim rất hoạt động, đặc biệt ở nhiệt độ cao, khí oxi dễ dàng tác dụng được với nhiều đơn chất (kim loại, phi kim) và hợp chất.
Câu 7
Đáp án A
Gọi công thức hóa học của oxit là SxOy.

Rút ra tỉ lệ:

Câu 8
Đáp án B
Phản ứng hóa hợp là phản ứng hóa học trong đó chỉ có một chất mới (sản phẩm) được tạo thành từ hai hay nhiều chất ban đầu.
Câu 9
Đáp án D
Ta có sơ đồ phản ứng: hỗn hợp:

Theo định luật bảo toàn khối lượng, ta có:

⇒ = 20 – 15,2 = 4,8 (gam) ⇒(mol).
⇒ (lít).
Câu 10
Đáp án C
Oxit axit thường là oxit của phi kim và tương ứng với một axit.
C là phi kim ⇒ CO2 là oxit axit
Loại A, B, D vì CuO, Na2O, CaO là oxit bazơ.
Câu 11
Đáp án A
Tên oxit axit = Tiền tố chỉ số nguyên tử phi kim + tên phi kim + tiền tố chỉ số nguyên tử oxi + oxit
CO2 là oxit axit ⇒ CO2 đọc là cacbon đioxit
CuO, FeO, CaO là oxit bazơ
Tên oxit bazơ = Tên kim loại (kèm theo hoá trị nếu kim loại có nhiều hóa trị) + oxit
CuO: đồng (II) oxit
FeO: sắt (II) oxit
CaO: canxi oxit
Câu 12
Đáp án B
Người ta thu khí oxi bằng cách đẩy nước nhờ dựa vào tính chất: Khí oxi ít tan trong nước.
Câu 13
Đáp án A
Trong phòng thí nghiệm, khí oxi được điều chế bằng cách đun nóng những hợp chất giàu oxi và dễ bị phân huỷ ở nhiệt độ cao như KMnO4 và KClO3.
⇒ 2 chất dùng để điều chế oxi trong phòng thí ngiệm là: KClO3 (2), KMnO4 (3)
Câu 14
Đáp án B
Muốn dập tắt ngọn lửa do xăng dầu cháy, người ta thường trùm vải hoặc phủ cát lên ngọn lửa, mà không dùng nước.
Nguyên nhân là vì xăng dầu nhẹ hơn nước, nên khi xăng dầu cháy nếu ta dập bằng nước thì nó sẽ lan tỏa nổi trên mặt nước khiến đám cháy còn lan rộng lớn và khó dập tắt hơn. Do đó khi ngọn lửa do xăng dầu cháy người ta hay thường dùng vải dày trùm hoặc phủ cát lên ngọn lửa để cách li ngọn lửa với oxi.
Câu 15
Đáp án C
Đáp án đúng là: Sự oxi hóa chậm tỏa nhiệt và không phát sáng.
Câu 16
Đáp án D
Phương trình hóa học:

Theo phương trình hóa học:

Câu 17
Đáp án D
Khí hiđro có tính khử, có thể tác dụng với một số oxit kim loại ở nhiệt độ cao (như CuO, Fe2O3 …).
Câu 18
Đáp án C
Thí nghiệm 1: Không có phản ứng hóa học xảy ra.
Thí nghiệm 2: Bột CuO màu đen chuyển dần thành màu đỏ gạch và có những giọt nước tạo thành.
Phương trình hóa học:

Câu 19
Đáp án B
Phương trình hóa học:

Theo phương trình hóa học:

Câu 20
Đáp án B

→ (1) là phản ứng phân hủy (Phản ứng phân hủy là phản ứng hóa học trong đó một chất sinh ra hai hay nhiều chất mới).

→ (2) là phản ứng hóa hợp (phản ứng hóa hợp là phản ứng hóa học trong đó chỉ có một chất mới được tạo thành từ hai hay nhiều chất ban đầu).

→ (3) là phản ứng oxi hóa – khử (Phản ứng oxi hóa – khử là phản ứng trong đó xảy ra đồng thời sự oxi hóa và sự khử).
Câu 21
Đáp án B

→Số thí nghiệm có xảy ra phản ứng oxi hóa – khử là: (2), (3).
Câu 22
Đáp án B
Câu đúng là: Nước là chất lỏng không màu, không mùi, không vị.
A sai vì không phải kim loại nào cũng tác dụng với nước.
C sai, nước không làm đổi màu quỳ
D sai vì Na tác dụng với H2O sinh ra khí H2.
Câu 23
Đáp án A
Axit tương ứng của oxit axit SO2 là H2SO3.
Câu 24
Đáp án C
Khi càng lên cao thì tỉ lệ thể tích khí oxi trong không khí càng giảm, do khí oxi nặng hơn không khí (nặng hơn rất nhiều lần các khí khác như nitơ, hiđro, …). Do đó, càng lên cao, lượng khí oxi càng giảm.
Câu 25
Đáp án D
Oxi tác dụng được với: Fe, S, P.

Oxi không tác dụng với một số kim loại như: Ag, Au, Pt …
Phòng Giáo dục và Đào tạo .....
Đề thi Giữa kì 2
năm 2025
Bài thi môn: Hóa học lớp 8
Thời gian làm bài: phút
(không kể thời gian phát đề)
(Đề số 4)
(Cho nguyên tử khối của C = 12, O = 16, H = 1, Na = 23, K = 39, Mg = 24, Ca = 40, P = 31, Cl = 35,5, Fe = 56, Al = 27, N = 14, S = 32, Mn = 55, Cu = 64, Zn = 65)
I. TRẮC NGHIỆM (7 ĐIỂM)
Câu 1: Phát biểu nào sau đây về oxi là không đúng?
A. Oxi là phi kim hoạt động hoá học rất mạnh, nhất là ở nhịêt độ cao.
B. Oxi tạo oxit axit với hầu hết kim loại.
C. Oxi không có mùi và vị.
D. Oxi cần thiết cho sự sống.
Câu 2: Trong phòng thí nghiệm người ta điều chế oxi bằng cách nhiệt phân KClO3 hay KMnO4 hoặc KNO3. Vì lí do nào sau đây?
A. Dễ kiếm, rẻ tiền.
B. Giàu oxi và dễ phân huỷ ra oxi.
C. Phù hợp với thiết bị hiện đại.
D. Không độc hại.
Câu 3: Nếu đốt cháy hoàn toàn 2,4 gam cacbon trong 4,8 gam oxi thì thu được tối đa bao nhiêu gam khí CO2?
A. 6,6 gam.
B. 6,5 gam.
C. 6,4 gam.
D. 6,3 gam.
Câu 4: Sự oxi hóa là
A. sự tác dụng của hiđro với một chất.
B. sự tác dụng của nitơ với một chất.
C. sự phân hủy của một chất.
D. sự tác dụng của oxi với một chất.
Câu 5: Trong các phản ứng hóa học sau, phản ứng nào là phản ứng hóa hợp?

Câu 6: Khử hoàn toàn 24 gam đồng(II) oxit bằng khí hiđro. Khối lượng đồng kim loại thu được là
A. 6,4 gam.
B. 12,8 gam.
C. 16,0 gam.
D. 19,2 gam.
Câu 7: Ứng dụng nào sau đây không phải của khí hiđro?
A. Dùng làm nhiên liệu cho động cơ tên lửa.
B. Dùng để bơm vào khinh khí cầu, bóng thám không.
C. Dùng trong đèn xì oxi-hiđro để hàn cắt kim loại.
D. Dùng để dập tắt đám cháy.
Câu 8: Oxit phi kim nào dưới đây không phải là oxit axit?
A. CO.
B. SO3.
C. P2O5.
D. N2O5.
Câu 9: Chọn định nghĩa về phản ứng phân hủy đầy đủ nhất?
A. Phản ứng phân hủy là phản ứng hóa học trong đó có một chất sinh ra một chất mới.
B. Phản ứng phân hủy là phản ứng hóa học trong đó có một chất sinh ra hai chất mới.
C. Phản ứng phân hủy là phản ứng hóa học trong đó có một chất sinh ra hai hay nhiều chất mới.
D. Phản ứng phân hủy là phản ứng hóa học có chất khí thoát ra.
Câu 10: Người ta thu khí oxi bằng cách đẩy nước nhờ dựa vào tính chất nào?
A. Khí oxi tan trong nước.
B. Khí oxi ít tan trong nước.
C. Khí oxi khó hóa lỏng.
D. Khí oxi nhẹ hơn nước.
Câu 11: Khi phân hủy có xúc tác 122,5 gam kaliclorat, thể tích khí oxi thu được sau khi phân hủy là
A. 48,0 lít.
B. 24,5 lít.
C. 67,2 lít.
D. 33,6 lít.
Câu 12: Thành phần không khí gồm
A. 21% N2; 78% O2 và 1% là các khí khác.
B. 78% N2; 21% O2 và 1% là các khí khác.
C. 50% N2; 20% O2 và 30% là các khí khác.
D. 100% O2.
Câu 13: Điều kiện phát sinh phản ứng cháy là
A. chất phải nóng đến nhiệt độ cháy.
B. phải đủ khí oxi cho sự cháy.
C. cần phải có chất xúc tác cho phản ứng cháy.
D. cả A và B.
Câu 14: Phản ứng nào sau đây không phải là phản ứng oxi hóa – khử?

Câu 15: Phương trình hóa học của phản ứng nào sau đây dùng để điều chế khí H2 trong phòng thí nghiệm?

Câu 16: Phản ứng nào sau đây là phản ứng thế?

Câu 17: Cho phương trình hóa học của phản ứng:

Phát biểu đúng là
A. Phản ứng hóa học trên không là phản ứng oxi hóa – khử.
B. Phản ứng hóa học trên là phản ứng oxi hóa – khử; Fe2O3 là chất oxi hóa, H2 là chất khử.
C. Phản ứng hóa học trên là phản ứng oxi hóa – khử; Fe2O3 là chất khử, H2 là chất oxi hóa.
D. Phản ứng hóa học trên là phản ứng phân hủy.
Câu 18: Khử hoàn toàn 11,6 gam Fe3O4 bằng khí hiđro dư. Khối lượng Fe thu được sau phản ứng là
A. 5,60 gam.
B. 7,84 gam.
C. 8,40 gam.
D. 8,96 gam.
Câu 19: Kim loại không tan trong nước là
A. Na.
B. K.
C. Ca.
D. Cu.
Câu 20: Khi cho dòng điện một chiều đi qua nước, trên bề mặt 2 điện cực sẽ sinh ra
A. khí hiđro và khí oxi.
B. khí hiđro và khí cacbon oxit.
C. khí oxi và khí cacbon oxit.
D. khí hiđro và khí clo.
II. TỰ LUẬN (3 ĐIỂM)
Câu 1 (1,5 điểm): Trong dãy các oxit sau: H2O; Al2O3; CO2; FeO; SO3; P2O5; BaO. Phân loại oxit và gọi tên tương ứng với mỗi oxit đó?
Câu 2 (1,5 điểm): Đốt cháy hoàn toàn 23,3 gam hỗn hơp 2 kim loại Mg và Zn trong bình kín đựng khí oxi, sau phản ứng xảy ra hoàn toàn thu được 36,1 gam hỗn hợp 2 oxit.
a) Viết phương trình hóa học xảy ra.
b) Tính thể tích khí oxi (đktc) đã dùng để đốt cháy lượng kim loại trên.
c) Tính khối lượng mỗi kim loại trong hỗn hợp trên.
--- Hết ---
Giám thị không giải thích thêm
ĐÁP ÁN VÀ HƯỚNG DẪN GIẢI
I. TRẮC NGHIỆM (7 điểm)
1. B |
2. B |
3. A |
4. D |
5. A |
6. D |
7. D |
8. A |
9. C |
10. B |
11. D |
12. B |
13. A |
14. C |
15. B |
16. A |
17. B |
18. C |
19. D |
20. A |
Câu 1
Câu 1
Đáp án B
Oxi tác dụng với nhiều phi kim để sinh ra oxit axit.
Câu 2
Đáp án B
Trong phòng thí nghiệm người ta điều chế oxi bằng cách nhiệt phân KClO3 hay KMnO4 hoặc KNO3. Vì những chất này giàu oxi và dễ bị phân hủy ra oxi.
Câu 3
Đáp án A
Ta có:

Phương trình hóa học:

Nhận thấy:
Suy ra C dư, oxi hết.

Câu 4
Đáp án D
Sự oxi hóa là sự tác dụng của oxi với một chất.
Chất đó có thể là đơn chất hay hợp chất.
Câu 5
Đáp án A
Phản ứng hóa hợp là phản ứng hóa học trong đó chỉ có một chất mới (sản phẩm) được tạo thành từ hai hay nhiều chất ban đầu.
→ Phản ứng hóa hợp:

Câu 6
Đáp án D
Phương trình hóa học:

Theo phương trình hóa học:

Câu 7
Đáp án D
Khí hiđro cháy mạnh trong khí oxi, do đó không dùng để dập tắt đám cháy.
Phương trình hóa học:

Câu 8
Đáp án A
CO là oxit trung tính.
Câu 9
Đáp án C
Phản ứng phân hủy là phản ứng hóa học trong đó có một chất sinh ra hai hay nhiều chất mới.
Câu 10
Đáp án B
Người ta thu khí oxi bằng cách đẩy nước nhờ dựa vào tính chất: Khí oxi ít tan trong nước
Câu 11
Đáp án D
Ta có:

Phương trình hóa học:

Theo phương trình ta có:

Câu 12
Đáp án B
Thành phần không khí gồm: 78% N2; 21% O2 và 1% là các khí khác.
Câu 13
Đáp án A
Điều kiện phát sinh phản ứng cháy là:
- Chất phải nóng đến nhiệt độ cháy.
- Phải có đủ khí oxi cho sự cháy.
Câu 14
Đáp án C
Phản ứng oxi hóa – khử là phản ứng trong đó xảy ra đồng thời sự oxi hóa và sự khử.
→ Phản ứng không phải là phản ứng oxi hóa – khử:

Câu 15
Đáp án B
Trong phòng thí nghiệm, khí hiđro được điều chế bằng cách cho axit (HCl hoặc H2SO4 loãng) tác dụng với kim loại kẽm (hoặc sắt, nhôm).
→ Phương trình hóa học của phản ứng dùng để điều chế khí H2 trong phòng thí nghiệm: Zn + H2SO4 → ZnSO4 + H2↑
Câu 16
Đáp án A
Phản ứng thế là phản ứng hoá học giữa đơn chất và hợp chất, trong đó nguyên tử của đơn chất thay thế nguyên tử của một nguyên tố trong hợp chất.
→ Phản ứng thế: Fe + 2HCl → FeCl2 + H2↑ (nguyên tử của đơn chất Fe thay thế nguyên tử của nguyên tố H trong hợp chất HCl).
Câu 17
Đáp án B
Phản ứng hóa học trên là phản ứng oxi hóa – khử.
Fe2O3 là chất oxi hóa vì là chất nhường oxi.
H2 là chất khử vì là chất chiếm oxi.
Câu 18
Đáp án C
Phương trình hoá học:

Theo phương trình hoá học:

Câu 19
Đáp án D
Chỉ có các kim loại kiềm và kiềm thổ như: Li, Na, K, Ca, Ba… tan trong nước còn lại các kim loại khác không tan.
⇒ Cu không tan trong nước.
Câu 20
Đáp án A
Khi cho dòng điện một chiều đi qua nước, trên bề mặt 2 điện cực sẽ sinh ra khí hiđro và khí oxi.
Phương trình hoá học:

II. TỰ LUẬN (3 điểm)
Câu 1:
Oxit axit |
Oxit bazơ |
Tên gọi tương ứng |
Na2O |
Natri oxit |
|
Al2O3 |
Nhôm oxit |
|
CO2 |
Cacbon đioxit |
|
N2O5 |
Đinitơ pentaoxit |
|
FeO |
Sắt (II) oxit |
|
SO3 |
Lưu huỳnh trioxit |
|
P2O5 |
Điphotpho pentaoxit |
Câu 2:
a) Phương trình hóa học:

b) Áp dụng bảo toàn khối lượng:
mhh + moxi = moxit⇒ moxi = moxit - mhh = 36,1 - 23,3 = 12,8 gam
Số mol của oxi đã dùng là:

Gọi x, y lần lượt là số mol của Mg, Zn trong hỗn hợp X.

Khối lượng hỗn hợp ban đầu:
mhh = mMg + mZn = 24x + 65y = 23,3 (1)
Số mol của oxi ở cả 2 phương trình là:

Sử dụng phương pháp thế giải được:

⇒ mMg = 0,7.24 = 16,8 gam
mZn = 0,1.65 = 6,5 gam
Phòng Giáo dục và Đào tạo .....
Đề thi Giữa kì 2
năm 2025
Bài thi môn: Hóa học lớp 8
Thời gian làm bài: phút
(không kể thời gian phát đề)
(Đề số 5)
(Cho nguyên tử khối của C = 12, O = 16, H = 1, Na = 23, K = 39, Mg = 24, Ca = 40, P = 31, Cl = 35,5, Fe = 56, Al = 27, N = 14, S = 32, Mn = 55, Cu = 64, Zn = 65)
I. TRẮC NGHIỆM (7 ĐIỂM)
Câu 1: Phát biểu nào sau đây không đúng?
A. Khí oxi là chất khí không màu, không mùi, ít tan trong nước.
B. Khí oxi nhẹ hơn không khí.
C. Oxi hóa lỏng ở − 183oC.
D. Oxi lỏng có màu xanh nhạt.
Câu 2: Cần bao nhiêu gam oxi để đốt cháy hoàn toàn 4 mol lưu huỳnh?
A. 128 gam.
B. 160 gam.
C. 144 gam.
D. 176 gam.
Câu 3: Khí oxi không tác dụng được với chất nào sau đây?
A. Fe.
B. S.
C. P.
D. Ag.
Câu 4: Phản ứng hóa hợp là
A. phản ứng hóa học trong đó một chất sinh ra hai hay nhiều chất mới.
B. phản ứng hóa học trong đó chỉ có một chất mới (sản phẩm) được tạo thành từ hai hay nhiều chất ban đầu.
C. phản ứng hóa học giữa đơn chất và hợp chất, trong đó nguyên tử của đơn chất thay thế nguyên tử của một nguyên tố khác trong hợp chất.
D. phản ứng hóa học giữa một đơn chất và một hợp chất, sinh ra hai hay nhiều chất mới.
Câu 5: Oxit của một nguyên tố có hóa trị II chứa 19,753% oxi (về khối lượng). Công thức hóa học của oxit đó là
A. CuO.
B. FeO.
C. CaO.
D. ZnO.
Câu 6: Đốt nóng CuO tới khoảng 400oC rồi cho luồng khí H2 đi qua. Trong phản ứng trên, hiđro thể hiện
A. tính khử.
B. tính oxi hóa.
C. tính khử và tính oxi hóa.
D. không có tính khử và không có tính oxi hóa.
Câu 7: Phát biểu không đúng là
A. Hiđro là chất khí nhẹ nhất trong các chất khí.
B. Khí hiđro có tính khử, có thể kết hợp với nguyên tố oxi trong một số oxit kim loại.
C. Hiđro có nhiều ứng dụng, chủ yếu do tính chất rất nhẹ, do tính khử và khi cháy tỏa nhiều nhiệt.
D. Hiđro có thể tác dụng với tất cả oxit kim loại ở nhiệt độ cao.
Câu 8: Một loại đồng oxit có tỉ lệ khối lượng giữa Cu và O là 8:1. Công thức hóa học của oxit này là
A. CuO.
B. Cu2O.
C. CuO2.
D. Cu2O2.
Câu 9: Cách đọc tên nào sau đây sai?
A. CO2: cacbon (II) oxit.
B. CuO: đồng (II) oxit.
C. FeO: sắt (II) oxit.
D. CaO: canxi oxit.
Câu 10: Nguyên liệu để sản xuất O2 trong công nghiệp là phương án nào sauđây?
A. KMnO4.
B. KClO3.
C. KNO3.
D. Không khí.
Câu 11: Chọn đáp án đúng nhất?
A. Phản ứng hóa hợp chính là phản ứng cháy.
B. Sự oxi hóa chậm không tỏa nhiệt và phát sáng.
C. Sự oxi hóa chậm tỏa nhiệt và không phát sáng.
D. Cả 3 đáp án đều sai.
Câu 12: Trong không khí, khí oxi chiếm bao nhiêu phần trăm thể tích?
A. 21%.
B. 79%.
C. 21%.
D. 10%.
Câu 13: Cho các chất sau: FeO (1), KClO3 (2), KMnO4 (3), CaCO3 (4), không khí (5), H2O (6). Những chất nào được dùng để điều chế oxi trong phòng thí nghiệm?
A. 2, 3.
B. 2, 3, 5, 6.
C. 1, 2, 3, 5.
D. 2, 3, 5.
Câu 14: Phát biểu nào sau đây không đúng?
A. Chất chiếm oxi của chất khác là chất khử.
B. Chất nhường oxi cho chất khác là chất oxi hóa.
C. Sự tác dụng của oxi với một chất là sự oxi hóa.
D. Trong phản ứng của oxi với cacbon, bản thân oxi cũng chất khử.
Câu 15: Trong phản ứng:

Chất khử và chất oxi hóa lần lượt là
A. CuO, H2.
B. H2, CuO.
C. Cu, H2O.
D. H2O, Cu.
Câu 16: Khử hoàn toàn 9,6 gam đồng (II) oxit bằng khí hiđro. Thể tích khí hiđro (ở đktc) cần dùng là
A. 2,464 lít.
B. 2,688 lít.
C. 2,912 lít.
D. 3,360 lít.
Câu 17: Phương trình hóa học của phản ứng nào sau đây dùng để điều chế khí H2 trong phòng thí nghiệm?

Câu 18: Cho các phản ứng hoá học sau:

Số phản ứng thế là
A. 1.
B. 2.
C. 3.
D. 4.
Câu 19: Nước được cấu tạo từ các nguyên tố hóa học nào?
A. Từ 1 nguyên tử hiđro và 1 nguyên tử oxi.
B. Từ 2 nguyên tử hiđro và 1 nguyên tử oxi.
C. Từ 1 nguyên tử hiđro và 2 nguyên tử oxi.
D. Từ 2 nguyên tử hiđro và 2 nguyên tử oxi.
Câu 20: Dãy gồm các kim loại tác dụng với nước ở nhiệt độ thường là
A. Fe, Mg, Al.
B. Fe, Cu, Ag.
C. Zn, Al, Ag.
D. Na, K, Ca.
II. TỰ LUẬN (3 ĐIỂM)
Câu 1 (1,5 điểm): Hoàn thành các phương trình hóa học sau:

Câu 2 (1,5 điểm): Dùng khí hiđro để khử hết 50 gam hỗn hợp A gồm đồng (II) oxit và sắt (III) oxit. Biết trong hỗn hợp sắt (III) oxit chiếm 80% khối lượng.
a) Viết các phương trình hóa học.
b) Tính thể tích khí H2 cần dùng ở đktc.
--- Hết ---
Giám thị không giải thích thêm
ĐÁP ÁN VÀ HƯỚNG DẪN GIẢI
I. TRẮC NGHIỆM (7 điểm)
1. B |
2. A |
3. D |
4. B |
5. D |
6. A |
7. D |
8. B |
9. A |
10. D |
11. C |
12. A |
13. A |
14. D |
15. B |
16. B |
17. B |
18. B |
19. B |
20. D |
Câu 1
Câu 1
Đáp án B

⇒ Khí oxi nặng hơn không khí.
Câu 2
Đáp án A
Phương trình hóa học:

Theo phương trình hóa học:

Câu 3
Đáp án D
Oxi tác dụng được với: Fe, S, P.

Oxi không tác dụng với một số kim loại như: Ag, Au, Pt …
Câu 4
Đáp án B
Phản ứng hóa hợp là phản ứng hóa học trong đó chỉ có một chất mới (sản phẩm) được tạo thành từ hai hay nhiều chất ban đầu.
Câu 5
Đáp án D
Gọi nguyên tố có hóa trị II trong oxit là R.
⇒ Công thức của oxit là RO.
Ta có:

→ R là nguyên tố kẽm, kí hiệu Zn.
Công thức hóa học của oxit đó là ZnO.
Câu 6
Đáp án A
Phương trình hóa học:

Khí hiđro đã chiếm nguyên tố oxi trong hợp chất CuO. Hiđro có tính khử.
Câu 7
Đáp án D
Khí hiđro có tính khử, có thể tác dụng với một số oxit kim loại ở nhiệt độ cao (như CuO, Fe2O3 …).
Câu 8
Đáp án B
Gọi công thức của đồng oxit là CuxOy. Suy ra :

⇒ x = 2, y = 1
Công thức của oxit là Cu2O
Câu 9
Đáp án A
Tên oxit axit = Tiền tố chỉ số nguyên tử phi kim + tên phi kim + tiền tố chỉ số nguyên tử oxi + oxit
CO2 là oxit axit ⇒ CO2 đọc là cacbon đioxit
CuO, FeO, CaO là oxit bazơ
Tên oxit bazơ = Tên kim loại (kèm theo hoá trị nếu kim loại có nhiều hóa trị) + oxit
CuO: đồng (II) oxit
FeO: sắt (II) oxit
CaO: canxi oxit
Câu 10
Đáp án D
Nguyên liệu để sản xuất O2 trong công nghiệp là: không khí
Sản xuất khí oxi từ không khí bằng cách hạ không khí xuống dưới -200oC, sau đó nâng dần nhiệt độ lên -196oC ta thu được khí N2, sau đó nâng đến -183oC ta thu được khí oxi.
Câu 11
Đáp án C
Sự oxi hóa chậm tỏa nhiệt và không phát sáng
Câu 12
Đáp án A
Thành phần không khí gồm: 78% N2; 21% O2 và 1% là các khí khác.
Câu 13
Đáp án A
Trong phòng thí nghiệm, khí oxi được điều chế bằng cách đun nóng những hợp chất giàu oxi và dễ bị phân huỷ ở nhiệt độ cao như KMnO4 và KClO3
⇒ 2 chất dùng để điều chế oxi trong phòng thí ngiệm là: KClO3 (2), KMnO4 (3)
Câu 14
Đáp án D
Trong phản ứng của oxi với cacbon, bản thân oxi cũng chất oxi hóa, cacbon là chất khử (vì là chất chiếm oxi).

Câu 15
Đáp án B
H2 là chất khử vì là chất chiếm oxi.
CuO là chất oxi hóa vì là chất nhường oxi.
Câu 16
Đáp án B
Phương trình hoá học:

Theo phương trình hoá học:

Câu 17
Đáp án B
Trong phòng thí nghiệm, khí hiđro được điều chế bằng cách cho axit (HCl hoặc H2SO4 loãng) tác dụng với kim loại kẽm (hoặc sắt, nhôm).
⇒ Phương trình hóa học của phản ứng dùng để điều chế khí H2 trong phòng thí nghiệm: Zn + H2SO4 → ZnSO4 + H2↑
Câu 18
Đáp án B
- Phản ứng thế là phản ứng hóa học giữa đơn chất và hợp chất, trong đó nguyên tử của đơn chất thay thế nguyên tử của một nguyên tố khác trong hợp chất.
⇒ Phản ứng số (3) và (5) là phản ứng thế.
Câu 19
Đáp án B
Công thức hóa học của nước là: H2O
⇒ Nước được cấu tạo từ 2 nguyên tử hiđro và 1 nguyên tử oxi.
Câu 20
Đáp án D
Dãy gồm các kim loại tác dụng với nước ở nhiệt độ thường là: Na, K, Ca.
II. TỰ LUẬN (3 điểm)
Câu 1:

Câu 2
a) Phương trình hóa học

b)
Phòng Giáo dục và Đào tạo .....
Đề thi Giữa kì 2
năm 2025
Bài thi môn: Hóa học lớp 8
Thời gian làm bài: phút
(không kể thời gian phát đề)
(Đề số 6)
(Cho nguyên tử khối của C = 12, O = 16, H = 1, Na = 23, K = 39, Mg = 24, Ca = 40, P = 31, Cl = 35,5, Fe = 56, Al = 27, N = 14, S = 32, Mn = 55, Cu = 64, Zn = 65)
I. TRẮC NGHIỆM (7 ĐIỂM)
Câu 1: Khí metan (có trong khí bùn ao, khí biogas) cháy trong không khí do tác dụng với khí oxi, tỏa nhiều nhiệt. Phương trình hóa học biểu diễn sự cháy của metan là

Câu 2: Đốt cháy hoàn toàn m gam nhôm trong khí oxi dư thu được 15,3 gam nhôm oxit (Al2O3). Giá trị của m là
A. 5,4.
B. 8,1.
C. 2,7.
D. 10,8.
Câu 3: Cho các phát biểu sau:
(1) Khí oxi là một đơn chất phi kim hoạt động rất kém.
(2) Ở nhiệt độ cao, khí oxi dễ dàng tham gia phản ứng hóa học với nhiều phi kim, nhiều kim loại và hợp chất.
(3) Sắt cháy trong khí oxi thu được oxit sắt từ.
(4) Oxi là nguyên tố hóa học phổ biến nhất (chiếm 49,4% khối lượng vỏ Trái Đất).
(5) Ở dạng đơn chất, khí oxi có nhiều trong không khí.
Trong các phát biểu trên, số phát biểu đúng là
A. 3.
B. 2.
C. 5.
D. 4.
Câu 4: Một oxit của lưu huỳnh trong đó oxi chiếm 50% về khối lượng. Công thức phân tử của oxit đó là
A. SO2.
B. SO3.
C. S2O3.
D. S2O.
Câu 5: Phương trình hóa học nào sau đây biểu diễn phản ứng hóa hợp của lưu huỳnh với kim loại nhôm, biết rằng công thức hóa học của hợp chất được tạo thành là Al2S3?

Câu 6: Phát biểu nào sau đây không đúng?
A. Khí hiđro là chất khí không màu, không mùi, không vị.
B. Khí hiđro nhẹ nhất trong các chất khí.
C. Khí hiđro tan nhiều trong nước.
D. Khí hiđro nhẹ hơn không khí.
Câu 7: Hỗn hợp khí hiđro và khí oxi là hỗn hợp nổ. Hỗn hợp sẽ gây nổ mạnh nhất nếu trộn khí H2 và khí O2 theo tỉ lệ về thể tích là
A. 1:2.
B. 1:3.
C. 3:1.
D. 2:1.
Câu 8: Tên gọi của P2O5 là
A. Điphotpho trioxit.
B. Photpho oxit.
C. Điphotpho oxit.
D. Điphotpho pentaoxit.
Câu 9: Oxit của nguyên tố R có hóa trị III chứa 70% về khối lượng nguyên tố R. Xác định R và cho biết oxit trên thuộc loại oxit axit hay oxit bazơ.
A. C, oxit axit.
B. Fe, oxit bazơ.
C. Mg, oxit bazơ.
D. Fe, oxit axit.
Câu 10: Người ta thu khí oxi bằng cách đẩy nước nhờ dựa vào tính chất nào?
A. Khí oxi tan trong nước.
B. Khí oxi ít tan trong nước.
C. Khí oxi khó hóa lỏng.
D. Khí oxi nhẹ hơn nước.
Câu 11: Cho các phản ứng sau:

Số phản ứng phân hủy là
A. 1.
B. 2.
C. 3.
D. 4.
Câu 12: Sự oxi hoá chậm là
A. Sự oxi hoá mà không toả nhiệt.
B. Sự oxi hoá mà không phát sáng.
C. Sự oxi hoá toả nhiệt mà không phát sáng.
D. Sự tự bốc cháy.
Câu 13: Thành phần các chất trong không khí gồm
A. 9% nitơ; 90% oxi; 1% các chất khác.
B. 91% nitơ; 8% oxi; 1% các chất khác.
C. 50% nitơ; 50% oxi.
D. 21% oxi; 78% nitơ; 1% các chất khác.
Câu 14: Chọn phát biểu sai?
A. Sự khử và oxi hóa là 2 quá trình giống nhau.
B. Chất khử là chất chiếm oxi của chất khác.
C. Chất oxi hóa là chất nhường oxi của chất khác.
D. Phản ứng oxi hóa – khử xảy ra đồng thời sự oxi hóa và sự khử.
Câu 15: Trong phản ứng hóa học giữa khí H2 và CuO ở nhiệt độ cao đã xảy ra
A. sự oxi hóa H2 tạo thành H2O.
B. sự khử H2 tạo thành H2O.
C. sự oxi hoá CuO tạo ra Cu.
D. sự phân hủy CuO thành Cu.
Câu 16: Hiện tượng khi cho viên kẽm (Zn) vào dung dịch axit clohiđric (HCl) là
A. có kết tủa trắng.
B. có thoát khí màu nâu đỏ.
C. dung dịch có màu xanh lam.
D. viên kẽm tan dần, có khí không màu thoát ra.
Câu 17: Khử hoàn toàn 11,6 gam Fe3O4 bằng khí hiđro dư. Khối lượng Fe thu được sau phản ứng là
A. 5,60 gam.
B. 7,84 gam.
C. 8,40 gam.
D. 8,96 gam.
Câu 18: Điều chế hiđro trong công nghiệp bằng cách
A. từ thiên nhiên – khí dầu mỏ.
B. điện phân nước.
C. từ nước và than.
D. cả 3 cách trên.
Câu 19: Kim loại nào sau đây tác dụng được với nước ở nhiệt độ thường?
A. Mg.
B. Cu.
C. Fe.
D. Na.
Câu 20: Oxit bazơ không tác dụng với nước là
A. BaO.
B. Na2O.
C. CaO.
D. MgO.
II. TỰ LUẬN (3 điểm)
Câu 1: (1 điểm) Hoàn thiện và cân bằng phương trình hóa học sau đây và cho biết chúng thuộc loại phản ứng nào (ghi điều kiện phản ứng, nếu có)?

Câu 2: (2 điểm) Cho sắt tác dụng vừa đủ với 182,5 gam dung dịch HCl 5% đến khi phản ứng kết thúc thu được V lít khí ở đktc?
a) Viết phương trình hóa học xảy ra?
b) Tính khối lượng sắt đã phản ứng và tính V?
c) Tính nồng độ phần trăm của dung dịch muối thu được?
--- Hết ---
Giám thị không giải thích thêm
ĐÁP ÁN VÀ HƯỚNG DẪN GIẢI
I. TRẮC NGHIỆM (7 điểm)
1. C |
2. B |
3. D |
4. A |
5. B |
6. C |
7. D |
8. D |
9. B |
10. B |
11. B |
12. C |
13. D |
14. A |
15. A |
16. D |
17. C |
18. D |
19. D |
20. D |
Câu 1
Câu 1
Đáp án C
Phương trình hóa học biểu diễn sự cháy của metan là

Câu 2
Đáp án B
Phương trình hóa học:

Theo phương trình hóa học:

Câu 3
Đáp án D
Phát biểu đúng: (2), (3), (4), (5).
Phát biểu không đúng: (1).
Khí oxi là một đơn chất phi kim rất hoạt động, đặc biệt ở nhiệt độ cao, khí oxi dễ dàng tác dụng được với nhiều đơn chất (kim loại, phi kim) và hợp chất.
Câu 4
Đáp án A
Gọi công thức hóa học của oxit là SxOy.
Ta có:

Rút ra tỉ lệ:

Công thức hóa học của oxit lưu huỳnh là SO2.
Câu 5
Đáp án B
Phương trình hóa học biểu diễn phản ứng hóa hợp của lưu huỳnh với kim loại nhôm:

Câu 6
Đáp án C
Khí hiđro là chất khí không màu, không mùi, không vị, nhẹ nhất trong các chất khí, tan rất ít trong nước.
Tỉ khối của hiđro đối với không khí là . Vậy khí hiđro nhẹ hơn không khí.
Câu 7
Đáp án D
Phương trình hóa học:

Hỗn hợp khí hiđro và khí oxi là hỗn hợp nổ. Hỗn hợp sẽ gây nổ mạnh nhất nếu trộn khí H2 và khí O2 theo tỉ lệ về thể tích đúng như hệ số các chất trong phương trình hóa học trên tức là 2 : 1.
Câu 8
Đáp án D
P2O5 là oxit axit.
Tên oxit axit = Tiền tố chỉ số nguyên tử phi kim + tên phi kim + tiền tố chỉ số nguyên tử oxi + oxit
⇒ P2O5 có tên gọi là điphotpho pentaoxit.
Câu 9
Đáp án B
Công thức oxit của R có hóa trị III là R2O3.
Nguyên tố R chiếm 70% về khối lượng nên

⇒ 2.MR = 0,7.(2MR + 3.16) ⇒ MR = 56
⇒ R là nguyên tố Fe
Vì Fe là kim loại nên oxit là của Fe là oxit bazơ
Câu 10
Đáp án B
Người ta thu khí oxi bằng cách đẩy nước nhờ dựa vào tính chất: Khí oxi ít tan trong nước.
Câu 11
Đáp án B
Phản ứng phân hủy là phản ứng hóa học trong đó một chất phản ứng sinh ra hai hay nhiều chất mới
⇒ Các phản ứng phân hủy là

Câu 12
Đáp án C
Sự oxi hóa chậm là sự oxi hóa tỏa nhiệt nhưng không phát sáng.
Câu 13
Đáp án D
Thành phần không khí gồm: 78% N2; 21% O2 và 1% là các khí khác.
Câu 14
Đáp án A
Phản ứng oxi hóa – khử xảy ra đồng thời sự oxi hóa và sự khử.
+ Sự tác dụng của oxi với một chất là sự oxi hóa.
+ Sự tách oxi khỏi hợp chất gọi là sự khử.
+ Chất khử là chất chiếm oxi của chất khác.
+ Chất oxi hóa là chất nhường oxi của chất khác.
Câu 15
Đáp án A
Sự tách oxi khỏi hợp chất gọi là sự khử. Sự tác dụng của oxi với một chất là sự oxi hóa.
Phương trình hóa học:

Trong phản ứng (1) trên đã xảy ra:
Quá trình tách nguyên tử oxi khỏi hợp chất CuO → xảy ra sự khử CuO tạo ra Cu.
Quá trình kết hợp của nguyên tử oxi trong CuO với H2 → sự oxi hóa H2 tạo thành H2O.
Câu 16
Đáp án D
Hiện tượng khi cho viên kẽm (Zn) vào dung dịch axit clohiđric (HCl) là: viên kẽm tan dần, có khí không màu thoát ra.
Phương trình hóa học: Zn + 2HCl → ZnCl2 + H2↑
Câu 17
Đáp án C
Phương trình hoá học:

Theo phương trình hoá học:

Câu 18
Đáp án D
Điều chế hiđro trong công nghiệp bằng cách:
- Phương pháp điện phân nước.
2H2O 2H2↑ + O2↑
- Dùng than khử oxi của H2O ở nhiệt độ cao

- Điều chế từ khí tự nhiên, khí mỏ dầu.

Câu 19
Đáp án D
Nước tác dụng với một số kim loại ở nhiệt độ thường (như Na, K, Ca, Ba ...) tạo thành bazơ tan và khí hiđro.
Phương trình hoá học: 2Na + 2H2O → 2NaOH + H2↑.
Câu 20
Đáp án D
Nước có thể tác dụng với một số oxit bazơ như K2O, Na2O, CaO, BaO tạo ra bazơ
⇒ Oxit bazơ không tác dụng với nước là: MgO
II. TỰ LUẬN (3 điểm)
Câu 1

Câu 2
a) Phương trình hóa học:
Fe + 2 HCl → FeCl2 + H2
b) Ta có:

Khi này:

Theo phương trình ta có:

Khối lượng sắt đã phản ứng là: mFe = 0,125.56= 7 gam
Thể tích khí H2 thu được là:

c) Theo phương trình ta có:

Khối lượng dung dịch sau phản ứng là:

Nồng độ phần trăm của FeCl2 trong dung dịch là:

Tủ sách VIETJACK luyện thi vào 10 cho 2k11 (2026):
Đã có app VietJack trên điện thoại, giải bài tập SGK, SBT Soạn văn, Văn mẫu, Thi online, Bài giảng....miễn phí. Tải ngay ứng dụng trên Android và iOS.
Theo dõi chúng tôi miễn phí trên mạng xã hội facebook và youtube:Bộ đề thi năm 2025 các lớp các môn học được Giáo viên nhiều năm kinh nghiệm tổng hợp và biên soạn theo Thông tư mới nhất của Bộ Giáo dục và Đào tạo, được chọn lọc từ đề thi của các trường trên cả nước.
Nếu thấy hay, hãy động viên và chia sẻ nhé! Các bình luận không phù hợp với nội quy bình luận trang web sẽ bị cấm bình luận vĩnh viễn.
- Đề thi lớp 1 (các môn học)
- Đề thi lớp 2 (các môn học)
- Đề thi lớp 3 (các môn học)
- Đề thi lớp 4 (các môn học)
- Đề thi lớp 5 (các môn học)
- Đề thi lớp 6 (các môn học)
- Đề thi lớp 7 (các môn học)
- Đề thi lớp 8 (các môn học)
- Đề thi lớp 9 (các môn học)
- Đề thi lớp 10 (các môn học)
- Đề thi lớp 11 (các môn học)
- Đề thi lớp 12 (các môn học)
- Giáo án lớp 1 (các môn học)
- Giáo án lớp 2 (các môn học)
- Giáo án lớp 3 (các môn học)
- Giáo án lớp 4 (các môn học)
- Giáo án lớp 5 (các môn học)
- Giáo án lớp 6 (các môn học)
- Giáo án lớp 7 (các môn học)
- Giáo án lớp 8 (các môn học)
- Giáo án lớp 9 (các môn học)
- Giáo án lớp 10 (các môn học)
- Giáo án lớp 11 (các môn học)
- Giáo án lớp 12 (các môn học)


Giải bài tập SGK & SBT
Tài liệu giáo viên
Sách
Khóa học
Thi online
Hỏi đáp

