Đề thi Giữa kì 2 Toán 11 có đáp án (6 đề)))
Với Đề thi Giữa kì 2 Toán 11 có đáp án (6 đề))), chọn lọc giúp học sinh ôn tập và đạt kết quả cao trong bài thi Giữa kì 2 Toán 11.
Đề thi Giữa kì 2 Toán 11 có đáp án (6 đề)))
Chỉ từ 150k mua trọn bộ Đề thi Toán 11 Giữa kì 2 theo cấu trúc mới bản word có lời giải chi tiết:
- B1: gửi phí vào tk:
1133836868- CT TNHH DAU TU VA DV GD VIETJACK - Ngân hàng MB (QR) - B2: Nhắn tin tới Zalo VietJack Official - nhấn vào đây để thông báo và nhận đề thi
Sở Giáo dục và Đào tạo .....
Đề thi Giữa kì 2
năm 2025
Bài thi môn: Toán 11
Thời gian làm bài:90 phút
(không kể thời gian phát đề)
(Đề số 1)
I. PHẦN TRẮC NGHIỆM(7.0 điểm)
Câu 1: Cho dãy số
thỏa mãn
Giá trị của
bằng
A. 2020
B. 2019
C. 2021
D. 0
Câu 2:
bằng

Câu 3: Cho hai dãy số
thỏa mãn
và
.Giá trị của
bằng
A. - 4.
B. 8
C. -12
D. 4
Câu 4:
bằng
Câu 5:
bằng

Câu 6: Cho hai dãy số
thỏa mãn
và
Giá trị của
bằng

Câu 7: Cho dãy số
thỏa mãn
Giá trị của
bằng
A. - 7
B. 3
C. 7
D. -10
Câu 8: Cho hai hàm số
thỏa mãn
và
Giá trị của
bằng
A. 8.
B. 5
C. 1
D. 7
Câu 9: Cho hàm số f(x) thỏa mãn
và
Giá trị của
bằng
A. - 2
B. 1
C. -4
D. 0
Câu 10:
bằng

Câu 11:
bằng
A. 1
B. 4041
C. 0
D. 2021
Câu 12:
bằng

Câu 13: Cho hai hàm số f(x),g(x) thỏa mãn
= - 2 và
Giá trị của
bằng

Câu 14: Hàm số
gián đoạn tại điểm nào dưới đây ?
A. x = 1.
B. x = -1.
C. x = 2.
D. x = 0.
Câu 15: Hàm số
liên tục tại điểm nào dưới đây ?
A. x = 1
B. x = 0
C. x = -1
D. x= -2
Câu 16: Cho hai đường thẳng d,Δ song song với nhau và mặt phẳng (∝) cắt Δ. Ảnh của d qua phép chiếu song song lên (∝) theo phương Δ là
A. Một điểm
B. Một đường thẳng
C. Một tia
D. Một đoạn thẳng
Câu 17: Cho ba điểm A,B,C tùy ý. Mệnh đề nào dưới đây đúng ?

Câu 18: Cho hình hộp ABCD.A'B'C'D'

Ta có
bằng

Câu 19: Với hai vectơ
khác vectơ - không tùy ý, tính
:

Câu 20: Cho hai đường thẳng và vuông góc với nhau. Gọi hai vectơ
lần lượt là vectơ chỉ phương của a và b .Mệnh đề nào dưới đây đúng ?

Câu 21:
bằng

Câu 22: Cho cấp số nhân lùi vô hạn có
và công bội
Tổng của cấp số nhân lùi vô hạn đã cho bằng

Câu 23:
bằng

Câu 24:
bằng
A. - 1
B. -∞
C. 1
D. +∞
Câu 25:
bằng
A. -∞
B. – 1
C. 2
D. -∞
Câu 26:
bằng
A. -2
B. 1
C. 4
D. – 1
Câu 27: Hàm số
liên tục trên khoảng nào dưới đây ?
A. (-5;-1)
B. (0;2)
C. (2;4)
D. (-∞;+∞)
Câu 28: Cho hàm số
Giá trị của tham số m để hàm số f(x) liên tục tại x = 3 bằng
A. 1.
B. 2.
C. 0.
D. 4.
Câu 29: Hàm số nào dưới đây liên tục trên khoảng (1;4) ?

Câu 30: Hàm số nào dưới đây liên tục trên R ?

Câu 31: Cho tứ diện đều ABCD. Góc giữa hai vectơ
bằng
A. 900
B. 300
C. 600
D. 450
Câu 32: Cho tứ diện OABC có OA,OB,OC đôi một vuông góc với nhau và OA=OB=OC. Gọi I là trung điểm của đoạn thẳng AB . Góc giữa hai đường thẳng AB,CI bằng
A. 1200
B. 900
C. 600
D. 450
Câu 33: Trong không gian cho hai vectơ
có
,
và
. Tính
.
A. 20
B. 7
C. 10
D -10
Câu 34: Cho tứ diện ABCD. Gọi điểm G là trọng tâm tam giác BCD. Mệnh đề nào dưới đây đúng ?

Câu 35: Cho tứ diện ABCD. Mệnh đề nào dưới đây đúng ?

II. PHẦN TỰ LUẬN(3.0 điểm)
Câu 1: (1.0 điểm) Tính 
Câu 2: (1.0 điểm) Cho hình hộp ABCD.EFGH .Gọi I và K lần lượt là trung điểm của các cạnh AB và BC . Chứng minh ba vectơ
đồng phẳng.
Câu 3: (1.0 điểm)
a) Tính
b) Cho phương trình ax2 + bx + c = 0 (1) với a ≠ 0 thoả mãn 2a + 3b +6c . Chứng minh rằng phương trình (1) có ít nhất 1 nghiệm X0 thoả
-------------HẾT ----------
Sở Giáo dục và Đào tạo .....
Đề thi Giữa kì 2
năm 2025
Bài thi môn: Toán 11
Thời gian làm bài:90 phút
(không kể thời gian phát đề)
(Đề số 2)
Phần Trắc Nghiệm:
Câu 1. Cho dãy số (Un) thỏa mãn lim (Un -2) = 0. Giá trị của lim Un bằng
A. -2
B. 2
C. 1
D. 0
Câu 2. lim(n+2) bằng
A. +∞
B. -∞
C. 1
D. 2
Câu 3. Cho hai dãy số (Un),(Vn) thỏa mãn lim Un = 4 và lim Vn = 2. Giá trị của lim(Un + Vn ) bằng
A. 2
B. 8
C. -2
D. 6
Câu 4.
bằng

Câu 5. lim 2n bằng
A. +∞
B. -∞
C. 2
D. 0
Câu 6. Cho hai dãy số (Un),(Vn) thỏa mãn lim Un = 2 và lim Vn = 3. Giá trị của lim(Un . Vn ) bằng
A. 6
B. 5
C. 1
D. -1
Câu 7. Cho hai dãy số (Un) thỏa mãn lim Un = 5. Giá trị của lim(Un - 2 ) bằng
A. -3
B. 3
C. 10
D. -10
Câu 8. Cho hai hàm số f(x),g(x) thỏa mãn
và
Giá trị của
bằng
A. 5
B. 6
C. 1
D. -1
Câu 9. Cho hàm số f(x) thỏa mãn
và
Giá trị của bằng 
A. 2
B. 1
C. 4
D. 0
Câu 10.
bằng
A. 3
B. 1
C. +∞
D. -∞
Câu 11.
bằng

Câu 12. Giá trị của
bằng
A. 2
B. 1
C. +∞
D. 0
Câu 13. Tính giới hạn
A. L = -∞
B. L = 0
C. L = +∞
D. L = 1
Câu 14.
bằng
A. 2
B. 4
C. -1
D. -4
Câu 15. Tính giới hạn 
A. +∞
B. -∞
C. 2
D. 0
Câu 16. Tính 

Câu 17. Tính 
A. -4
B. -2
C. 4
D. 2
Câu 18. Giới hạn
bằng
A. -∞
B. 3
C. -3
D. +∞
Câu 19. Tính
bằng

Câu 20. Hàm số
gián đoạn tại điểm nào dưới đây?
A. x = 2
B. x = -1
C. x = 1
D. x = 0
Câu 21. Hàm số
liên tục tại điểm nào dưới đây?
A. x = 2
B. x = -1
C. x =1
D. x = 3
Câu 22. Hàm số
liên tục trên khoảng nào dưới đây?
A. ( -∞;+∞ )
B. (0;3)
C. (4;6)
D. (2;5)
Câu 23. Cho hàm số
. Giá trị của tham số để hàm số f(x) liên tục tại x = -1 bằng
A. 2
B. -2
C. 1
D. -1
Câu 24. Hàm số nào dưới đây liên tục trên khoảng (2;-3) ?

Câu 25. Hàm số nào dưới đây liên tục trên R ?

Câu 26. Cho hai đường thẳng ∝,l song song với nhau và mặt phẳng (∝) cắt . Ảnh của a qua phép chiếu song song lên (∝) theo phương l là
A. một đường thẳng.
B. một điểm.
C. một tia.
D. một đoạn thẳng.
Câu 27. Cho hình hộp ABCD.A'B'C'D'. Ta có
bằng

Câu 28. Cho tứ diện ABCD có G là trọng tâm tam giác BCD. Đặt
Khẳng định nào sau đây đúng?

Câu 29. Cho tứ diện ABCD . Đặt
.Gọi M là trung điểm của BC. Mệnh đề nào sau đây đúng?

Câu 30.Cho ba vectơ
không đồng phẳng. Xét các vectơ
. Chọn khẳng định đúng?
A. Hai vectơ
cùng phương.
B. Hai vectơ
cùng phương.
C. Hai vectơ
cùng phương.
D. Ba vectơ
đồng phẳng.
Câu 31. Trong các mệnh đề sau, mệnh đề nào đúng?
A. Hai đường thẳng cùng vuông góc với một đường thẳng thì song song với nhau.
B. Một đường thẳng vuông góc với một trong hai đường thẳng vuông góc với nhau thì song song với đường thẳng còn lại.
C. Hai đường thẳng cùng vuông góc với một đường thẳng thì vuông góc với nhau.
D. Một đường thẳng vuông góc với một trong hai đường thẳng song song thì vuông góc với đường thẳng còn lại.
Câu 32. Cho hình lập phương ABBC.A1B1C1D1 (tham khảo hình vẽ).

Góc giữa đường thẳng AD và BB1 bằng:
A.90o
B.30o
C.45o
D.60o
Câu 33. Cho hình chóp S.ABCD có tất cả các cạnh đều bằng a. Gọi I và J lần lượt là trung điểm của SC và BC. Số đo của góc
bằng:
A.60o
B.30o
C.45o
D.90o
Câu 34.Cho hình lập phương ABCD.A'B'C'D' . Gọi M,N,P lần lượt là trung điểm của các cạnh AB,AD,C'D' .

Cosin của góc giữa hai đường thẳng MN,CP bằng

Câu 35. Cho tứ diện ABCD có AB = AC = AD và
. Gọi I và J lần lượt là trung điểm của AB và CD . Hãy xác định góc giữa cặp vectơ
?
A.120o
B.90o
C.45o
D.45o
PHẦN TỰ LUẬN
Bài 1. ( 1 điểm) Xác định a để hàm số
liên tục trên R.
Bài 2. (1 điểm) Cho tứ diện ABCD . Gọi M,N lần lượt là trung điểm của BC và AD, biết
Tính góc giữa hai đường thẳng AB và CD.
Bài 3. (0,5 điểm) Tìm hai số a;b biết rằng 
Bài 4. ( 0,5 điểm) Tính 
-----Hết----
Sở Giáo dục và Đào tạo .....
Đề thi Giữa kì 2
năm 2025
Bài thi môn: Toán 11
Thời gian làm bài:90 phút
(không kể thời gian phát đề)
(Đề số 3)
I. PHẦN TRẮC NGHIỆM
Câu 1. Mệnh đề nào sau đây là đúng?

Câu 2: Tính lim ( -n2 + 4 ) ?
A. - ∞
B. + ∞
C. - 1
D. 4
Câu 3: Cho các dãy số (un),(vn) và lim un = a ; lim vn = + ∞ thì
bằng
A. 1
B. 0
C. - ∞
D. + ∞
Câu 4: Tính
được kết quả là

Câu 5: Dãy số nào sau đây có giới hạn bằng 0 ?

Câu 6: Cho hai dãy số (un),(vn) thỏa mãn lim un = 9 và lim vn = 2. Giá trị của lim (un . vn ) bằng
A. 18
B. 7
C. 11
D. -7
Câu 7: Cho dãy số (un) thỏa mãn lim un = 15 Giá trị của lim (un - 2) bằng
A. 13
B. -13
C. 30
D. -30
Câu 8: Cho hai hàm số f(x),g(x) thỏa mãn
và
Giá trị của
bằng
A. 3
B. 10
C. - 3
D. 3
Câu 9: Cho hàm số f(x) thỏa mãn
và
Giá trị của
bằng
A. 2021
B. 1
C. 2020
D. 2022
Câu 10: Giá trị của
bằng
A. 2
B. 1
C. +∞
D. 0
Câu 11:
bằng
A. 5
B. 4
C. 25
D. 9
Câu 12:
bằng
A. +∞
B. -∞
C. 1
D. 0
Câu 13: Cho hai hàm số f(x),g(x) thỏa mãn
và
Giá trị của
bằng
A. +∞
B. -∞
C. 2
D. - 2
Câu 14: Hàm số
gián đoạn tại điểm nào dưới đây?
A. x = 2022
B. x = 2020
C. x = 2023
D. x = -2022
Câu 15: Hàm số
liên tục tại điểm nào dưới đây?
A. x = -2
B. x = 3
C. x = 1
D. x = 2
Câu 16: Hình chiếu của hình chữ nhật không thể là hình nào trong các hình sau?
A. Hình thang
B. Hình bình hành
C. Hình chữ nhật
D. Hình thoi
Câu 17: Cho tứ diện ABCD . Gọi M,N lần lượt là trung điểm của AD và BC . Khẳng định nào sau đây sai?

Câu 18: Cho hình hộpABCD.A'B'C'D' Ta có
bằng


Câu 19: Với hai vectơ
khác vectơ - không tùy ý, tích vô hướng
bằng

Câu 20: Cho hình lập phương ABCD.A'B'C'D' . Số đo của góc giữa hai đường thẳng AB và DD' là
A. 900
B. 600
C. 450
D. 1200
Câu 21:
bằng

Câu 22: Cho cấp số nhân lùi vô hạn có u1 = 1 và công bội
. Tổng S của cấp số nhân lùi vô hạn đã cho bằng

Câu 23:
bằng

Câu 24:
bằng
A. 0
B. -∞
C. +∞
D. 2
Câu 25:
bằng
A. 0
B. +∞
C. 1
D. -∞
Câu 26:
bằng

Câu 27: Hàm số
liên tục trên khoảng nào dưới đây?
A. ( -3;2 )
B. ( - 2; +∞ )
C. ( -∞;3 )
D. ( 2;3 )
Câu 28: Cho hàm số
. Giá trị của tham số m để hàm số f(x) liên tục tại điểm x = 1 bằng

Câu 29: Hàm số nào dưới đây liên tục trên khoảng ( 0;2021 ) ?

Câu 30: Trong các hàm số sau, hàm số nào liên tục trên ( -∞;+∞ ) ?

Câu 31: Cho hình lập phương ABCD.A'B'C'D' . Tính góc giữa hai đường thẳng B'D' và A'A.
A. 90o
B. 45o
C. 60o
D. 30o
Câu 32: Cho tứ diện đều ABCD. Số đo góc giữa hai đường thẳng AB và CD bằng:
A. 60o
B. 30o
C. 90o
D. 45o
Câu 33: Cho hai vectơ
thỏa mãn:
.Gọi ∝ là góc giữa hai vectơ
. Chọn khẳng định đúng?

Câu 34: Cho hình tứ diện ABCD có trọng tâm G . Mệnh đề nào sau đây sai.

Câu 35: Cho tứ diện ABCD .Gọi E là trung điểm AD, F là trung điểm BC và G là trọng tâm của tam giác BCD. Tìm mệnh đề sai trong các mệnh đề sau:

PHẦN TỰ LUẬN
Bài 1. Tính
Bài 2. Cho tứ diện ABCD có AB=AC=AD=a , góc
.Gọi M là trung điểm của BC. Tính góc giữa hai đường thẳng AB và DM.
Bài 3.
a) Tìm các số thực a,b thỏa mãn 
b) Với giá trị thực của tham số m ∈ (2;3) chứng minh phương trình 2x3 - 3x2 +12x - 2 - m = 0 luôn có ít nhất ba nghiệm phân biệt.
Sở Giáo dục và Đào tạo .....
Đề thi Giữa kì 2
năm 2025
Bài thi môn: Toán 11
Thời gian làm bài:90 phút
(không kể thời gian phát đề)
(Đề số 4)
I. PHẦN TRẮC NGHIỆM
Câu 1. Cho dãy số (un), biết
. Số hạng đầu tiên của dãy số là:

Câu 2. Cho dãy số (un), biết
với n ≥ 1 . Ba số hạng đầu tiên của dãy số đó lần lượt là:
A. 2; 3; 5.
B. 2; 5; 11.
C. –1; 2; 3.
D. –1; 3; 7.
Câu 3. Cho dãy số (un), biết
. Tìm khẳng định sai

Câu 4. Cho dãy số (un), biết
. Tích của 2021 số hạng đầu tiên bằng

Câu 5. Cho dãy số (un), biết
, Số hạng thứ 10 của dãy số là:
A. 345
B. 336
C. 39!
D. 310!
Câu 6. Một cấp số cộng (un) có u1 = 2, u21 = 62. Công sai của cấp số cộng đó là
A. 2.
B. 1.
C. 4.
D. 3.
Câu 7. Tìm m để số: 4; 5m + 1 ; 32 – 7m theo thứ tự lập thành cấp số cộng.
A. m = – 2.
B. m = 2.
C. m = 11.
D. m = 1.
Câu 8. Một cấp số cộng (un) có 8 số hạng, biết u1 = – 2, u8 = 32. Tổng các số hạng của cấp số cộng đó là
A. 136.
B. 30.
C. 120.
D. 240.
Câu 9. Cho cấp số cộng (un) có u1 = 1, công sai d = 3. Tìm số hạng tổng quát của cấp số cộng.
A. un = -3n + 4
B. un = 3n - 3
C. un = 3n - 2
D. un = 3n + 1
Câu 10. Cho cấp số cộng (un) thỏa mãn 
Tính S = u2 + u5 + u8 + ... + u2021
A. 2 043 231.
B. 2 043 230.
C. 2043 905.
D. 2 042 220.
Câu 11. Cho cấp số cộng (un), biết u2 = 4 và u4 = 6. Giá trị của u9 bằng
A. 11.
B. 10.
C. 9.
D. 8.
Câu 12. Cho cấp số nhân (un) có số hạng thứ ba u3 = 7 và số hạng thứ năm u5 = 28. Biết công bội là một số dương khi đó công bội của cấp số nhân (un) là

Câu 13. Cho cấp số nhân (un) có số hạng thứ nhất u1 = 16, công bội . Số hạng thứ mười u10 là

Câu 14. Cho cấp số nhân (un) có số hạng đầu u1 = – 2, công bội q = 3. Số –39366 là số hạng thứ mấy của cấp số nhân đã cho?
A. 10.
B. 9.
C. 8.
D. 11.
Câu 15. Cho cấp số nhân (un) biết số hạng đầu u1 = 2, công bội q = –2. Tổng 10 số hạng đầu của cấp số nhân là
A. 2046.
B. –2046.
C. 682.
D. –682.
Câu 16. Cho cấp số nhân (un) có S5 = 30, S10 = 50. Tìm công bội q của cấp số nhân.

Câu 17. Tập nghiệm của phương trình 1 + x + (1 + x)2 + (1 + x)3 + .... +(1 + x)10 = 0 là.
A. S = {1;2}
B. S = {-1;-2}
C. S = {0;-1;-2}
D. S = {0;1;2}
Câu 18. Giá trị của
bằng

Câu 19. Dãy số nào sau đây có giới hạn bằng 0?

Câu 20. Tính
.

Câu 21. Tính
.

Câu 22. Giá trị của
bằng
A. -22018
B. 22018
C. 2
D. 0
Câu 23. Giá trị của
là

Câu 24. Biết
, với a ∈ Q. Tính P = a2 + 1

Câu 25.Biết
với a,b ∈ N và
tối giản. Tính P = a2 - b2
A. 8.
B. –8.
C. –2.
D. 10.
Câu 26. Cho hình hộp ABCD.A'B'C'D'. Đường thẳng BD không song song với mặt phẳng nào dưới đây
A. (A'B'C'D')
B. (AB'D')
C. (CB'D')
D. (BA'C')
Câu 27. Cho tứ diện ABCD. Gọi M, N, P lần lượt nằm trên các cạnh AB, AC, AD sao cho AM = 2MB, AN = 2NC, AP = PD. Mệnh đề nào sau đây là mệnh đề đúng?
A. ND // (ABC).
B. MP // (BCD).
C. NP // (BCD).
D. MN // (BCD).
Câu 28. Cho hai mặt phẳng (P) và (Q) song song với nhau. Đường thẳng d nằm trong mặt phẳng (P). Khẳng định nào là khẳng định đúng?
A. d có thể cắt (Q) hoặc nằm trong (Q).
B. d nằm trong (Q).
C. d cắt (Q).
D. d song song với (Q).
Câu 29. Cho hình chóp S.ABCD có đáy ABCD là một hình bình hành. Gọi A', B', C' lần lượt là trung điểm của các cạnh SA, SB, SC. Khẳng định nào sau đây là khẳng định đúng?
A. A'B' // (SAB)
B. (A'B'C') // (ACD)
C. A'B' // (SBC)
D. (BA'C') // (B'AC)
Câu 30. Cho hình hộp ABCD.A'B'C'D'. Mệnh đề nào sai trong các mệnh đề sau?

Câu 31. Cho tứ diện ABCD có G là trọng tâm tứ diện. Khi hệ thức véc tơ
đúng với mọi điểm M thì giá trị của k là

Câu 32. Cho hình chóp S.ABCD, ABCD là hình bình hành, tam giác SAB là tam giác đều cạnh a. Tính tích vô hướng
?

Câu 33. Trong không gian, khẳng định nào sau đây sai?
A. Hai đường thẳng phân biệt cùng vuông góc với một đường thẳng thì song song với nhau.
B. Hai đường thẳng vuông góc với nhau có thể cắt nhau hoặc chéo nhau.
C. Hai đường thẳng vuông góc với nhau thì góc giữa chúng bằng 90°.
D. Nếu a // b và b ⊥ c thì c ⊥ a .
Câu 34. Cho hình chóp S.ABCD, có đáy ABCD là hình thoi góc ABC bằng 120°. Gọi M, N lần lượt là trung điểm của SA và SC. Số đo góc giữa hai đường thẳng MN và BC bằng
A. 30°.
B. 60°.
C. 45°.
D. 90°.
Câu 35. Cho hình chóp S.ABC có đáy ABC là tam giác đều cạnh bằng 2a,
.Gọi I là trung điểm của đoạn thẳng AC. Tính côsin góc giữa hai đường thẳng SA và BC biết SI vuông góc với cả hai đường thẳng AC và BI.

II. PHẦN TỰ LUẬN
Câu 1. Cho dãy số (un) với 
Khi đó tổng
trong đó a, b, c là các số nguyên dương.
Tính a + 2b2 – 2c.
Câu 2. Cho dãy số (un) thỏa mãn
.Tìm giới hạn
.
Câu 3. Cho hình lập phương ABCD.A'B'C'D'. M, N lần lượt thuộc các đoạn AD, A'C sao cho
.Chứng minh:
a) (AB'D') // (BC'D).
b) AC' ⊥ A'B
c) MN // (AB'D').
–HẾT–
Sở Giáo dục và Đào tạo .....
Đề thi Giữa kì 2
năm 2025
Bài thi môn: Toán 11
Thời gian làm bài:90 phút
(không kể thời gian phát đề)
(Đề số 5)
I. PHẦN TRẮC NGHIỆM
Câu 1. Dãy số nào sau đây có giới hạn bằng 0?

Câu 2. Dãy số nào sau đây có giới hạn khác 0?

Câu 3.
bằng
A. 0.
B. –∞.
C. +∞.
D. 2.
Câu 4. lim(n2 - n + 5) bằng
A. 1.
B. –∞.
C. 0.
D. +∞.
Câu 5. Tính giới hạn limvn biết limun = 2,
.

Câu 6. Dãy số nào sau đây có giới hạn bằng +∞?

Câu 7. Trong bốn giới hạn sau, giới hạn nào bằng –∞?

Câu 8. Tính giới hạn
là
A. 2a.
B. a.
C. a2.
D. a + 2.
Câu 9. Tính
.
A. 0.
B. 2.
C. 4.
D. – 5.
Câu 10. Tính
.
A. 3.
B. –∞.
C. +∞.
D. –3.
Câu 11. Tính
A. 6.
B. 2.
C. 1.
D. – 1.
Câu 12. Tính
A. –∞.
B. +∞.
C. 2.
D. –3.
Câu 13. Cho hai hàm số f(x), g(x) thỏa mãn
và
.Giá trị của
bằng
A. 1.
B. –1.
C. –∞.
D. +∞.
Câu 14. Hàm số
liên tục tại điểm nào dưới đây?
A. x = 0.
B. x = – 1.
C. x = – 2.
D. x = 3.
Câu 15. Hàm số
gián đoạn tại điểm nào dưới đây?
A. x = 0.
B. x = 1.
C. x = –1 .
D. x = 2.
Câu 16. Cho hai đường thẳng a, b cắt nhau và mặt phẳng (α) cắt a. Ảnh của b qua phép chiếu song song lên (α) theo phương a là
A. một điểm.
B. một đường thẳng.
C. một đoạn thẳng.
D. một tia.
Câu 17. Cho hình chóp S.ABCD, có bao nhiêu vectơ khác vectơ
mà có điểm đầu và điểm cuối là các đỉnh của hình chóp.
A. 10.
B. 4.
C. 12.
D. 20.
Câu 18. Cho hình lập phương ABCD.A'B'C'D'.

Đẳng thức nào sau đây sai?

Câu 19. Trong không gian cho điểm A và đường thẳng d. Có bao nhiêu đường thẳng qua A và vuông góc với đường thẳng d.
A. 0.
B. 1.
C. 2.
D. Vô số.
Câu 20. Trong không gian cho điểm A và đường thẳng ∆. Các đường thẳng qua A và vuông góc với đường thẳng ∆ thì
A. song song với nhau.
B. đồng phẳng.
C. cùng nằm trong một mặt phẳng chứa ∆.
D. vuông góc với nhau.
Câu 21. Tìm
A. 2021.
B. 2022.
C. 4041.
D. 2020.
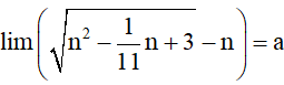
Câu 22. Tìm

Câu 23. Tính tổng

Câu 24 .
bằng

Câu 25.
bằng
A. –∞.
B. +∞.
C. 1.
D. 0.
Câu 26.
bằng:
A. +∞.
B. 1.
C. –2.
D. –∞.
Câu 27. Cho hàm số
Xác định số thực a để hàm số liên tục tại điểm x = 1
A. a = –1.
B. a = 1.
C. a = 3.
D. a = –3.
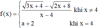
Câu 28. Cho hàm số
. Chọn câu đúng trong các câu sau:

A. (I) và (III).
B. Chỉ (II).
C. (II) và (III).
D. Chỉ (I).
Câu 29. Cho hàm số:

Tìm tất cả các giá trị thực của tham số a để hàm số liên tục tại x0 = 4.

Câu 30. Hàm số nào sau đây không liên tục trên R ?

Câu 31. Cho tứ diện ABCD. Gọi G là trọng tâm tứ diện ABCD và G0 là trọng tâm tam giác BCD. Khẳng định nào sau đây đúng?

Câu 32. Cho tứ diện đều ABCD cạnh bằng 2a. Tính tích vô hướng
A. 4a2.
B. 2a2.
C. –2a2.
D. 0.
Câu 33. Trong các mệnh đề sau, mệnh đề nào sai?
A. Hai đường thẳng phân biệt cùng vuông góc với một đường thẳng thứ ba thì song song với nhau.
B. Hai đường thẳng phân biệt cùng song song với một đường thẳng thì song song với nhau.
C. Một đường thẳng vuông góc với hai cạnh của tam giác thì sẽ vuông góc với cạnh thứ ba của tam giác đó.
D. Hai đường thẳng vuông góc nếu góc giữa hai véc tơ chỉ phương của chúng bằng 90°.
Câu 34. Cho tứ diện ABCD có AB = AC, DB = DC. Khẳng định nào sau đây đúng?
A. AB⊥BC
B. AC⊥BD
C. AC⊥BD
D. BC⊥AD
Câu 35. Cho hình lập phương ABCD.A'B'C'D' có cạnh bằng a. Khi đó góc giữa A'C' và BD bằng
A. 0°.
B. 45°.
C. 60°.
D. 90°.
II. PHẦN TỰ LUẬN
Bài 1. Tính
Bài 2. Cho hình lập phương ABCD.A'B'C'D'. Gọi M, N, P lần lượt là trung điểm các cạnh AB, BC, C'D'. Tính góc giữa hai đường thẳng MN và AP.
Bài 3. Tính giới hạn sau:
Bài 4. Cho hàm số
. Chỉ ra các điểm gián đoạn của hàm số trên khoảng (0; 2021)?
–HẾT–
...........................................................
...........................................................
...........................................................
Tủ sách VIETJACK luyện thi vào 10 cho 2k11 (2026):
Đã có app VietJack trên điện thoại, giải bài tập SGK, SBT Soạn văn, Văn mẫu, Thi online, Bài giảng....miễn phí. Tải ngay ứng dụng trên Android và iOS.
Theo dõi chúng tôi miễn phí trên mạng xã hội facebook và youtube:Bộ đề thi năm 2025 các lớp các môn học được Giáo viên nhiều năm kinh nghiệm tổng hợp và biên soạn theo Thông tư mới nhất của Bộ Giáo dục và Đào tạo, được chọn lọc từ đề thi của các trường trên cả nước.
Nếu thấy hay, hãy động viên và chia sẻ nhé! Các bình luận không phù hợp với nội quy bình luận trang web sẽ bị cấm bình luận vĩnh viễn.
- Đề thi lớp 1 (các môn học)
- Đề thi lớp 2 (các môn học)
- Đề thi lớp 3 (các môn học)
- Đề thi lớp 4 (các môn học)
- Đề thi lớp 5 (các môn học)
- Đề thi lớp 6 (các môn học)
- Đề thi lớp 7 (các môn học)
- Đề thi lớp 8 (các môn học)
- Đề thi lớp 9 (các môn học)
- Đề thi lớp 10 (các môn học)
- Đề thi lớp 11 (các môn học)
- Đề thi lớp 12 (các môn học)
- Giáo án lớp 1 (các môn học)
- Giáo án lớp 2 (các môn học)
- Giáo án lớp 3 (các môn học)
- Giáo án lớp 4 (các môn học)
- Giáo án lớp 5 (các môn học)
- Giáo án lớp 6 (các môn học)
- Giáo án lớp 7 (các môn học)
- Giáo án lớp 8 (các môn học)
- Giáo án lớp 9 (các môn học)
- Giáo án lớp 10 (các môn học)
- Giáo án lớp 11 (các môn học)
- Giáo án lớp 12 (các môn học)


Giải bài tập SGK & SBT
Tài liệu giáo viên
Sách
Khóa học
Thi online
Hỏi đáp

