Đề thi Giữa kì 2 Toán 12 có đáp án (6 đề)
Với Đề thi Giữa kì 2 Toán 12 có đáp án (6 đề), chọn lọc giúp học sinh ôn tập và đạt kết quả cao trong bài thi Giữa kì 2 Toán 12.
Đề thi Giữa kì 2 Toán 12 có đáp án (6 đề)
Chỉ từ 150k mua trọn bộ Đề thi Toán 12 Giữa kì 2 theo cấu trúc mới bản word có lời giải chi tiết:
- B1: gửi phí vào tk:
1133836868- CT TNHH DAU TU VA DV GD VIETJACK - Ngân hàng MB (QR) - B2: Nhắn tin tới Zalo VietJack Official - nhấn vào đây để thông báo và nhận đề thi
Sở Giáo dục và Đào tạo .....
Đề thi Giữa kì 2
năm 2025
Bài thi môn: Toán 12
Thời gian làm bài: 90 phút
(không kể thời gian phát đề)
(Đề số 1)
Câu 1. Tìm nguyên hàm của hàm số f(x) = xex .
Câu 2. Cho hai mặt phẳng (P): x + my + (m – 1)z + 1 = 0 và (Q): x + y + 2z = 0. Tập hợp tất cả các giá trị của m để hai mặt phẳng này không song song là:
A. (0; +∞) B. R \ {– 1; 1; 2}
C. (–∞; –3) D. R
Câu 3: Giả sử
Khi đó
bằng
A. I = 122 B. I = 26
C. I = 143 D. I = 58
Câu 4. Trong không gian Oxyz, cho ba điểm A(1; – 2; 3), B(4; 2; 3), C(3; 4; 3). Gọi (S1), (S2), (S3) là các mặt cầu có tâm A, B, C và bán kính lần lượt bằng 3, 2, 3. Hỏi có bao nhiêu mặt phẳng qua điểm
và tiếp xúc với cả 3 mặt cầu (S1), (S2), (S3).
A. 2 B. 7
C. 0 D. 1
Câu 5. Biết rằng tích phân
, tích ab bằng:
A. 1 B. –1
C. –15 D. 20
Câu 6. Trong không gian với hệ tọa độ Oxyz, cho H(1; 2; 3). Viết phương trình mặt phẳng (P) đi qua điểm H và cắt các trục tọa độ tại ba điểm phân biệt A, B, C sao cho H là trực tâm tam giác ABC.

Câu 7. Người ta làm một chiếc phao như hình vẽ (với bề mặt có được bằng cách quay đường tròn (C) quanh trục d). Biết OI = 30 cm, R = 5 cm. Tính thể tích V của chiếc phao.

A. V = 1500π2 cm3
B. V = 900π2 cm3
C. V = 1500π cm3
D. V = 900π cm3
Câu 8. Cho
Khẳng định nào sau đây sai?

Câu 9. Cho (H) là hình phẳng giới hạn bởi đường cong có phương trình
, nửa đường tròn có phương trình
và trục hoành (phần tô đậm trong hình vẽ).

Diện tích của hình (H) bằng:

Câu 10. Biết
Mệnh đề nào dưới đây đúng?

Câu 11. Trong không gian với hệ tọa độ Oxyz, cho hai điểm A(1; -2; 3) và B(5; 4; 7). Phương trình mặt cầu nhận AB làm đường kính là:
A. (x – 6)2 + (y – 2)2 + (z – 10)2 = 17
B. (x – 1)2 + (y + 2)2 + (z – 3)2 = 17
C. (x – 3)2 + (y – 1)2 + (z – 5)2 = 17
D. (x – 5)2 + (y – 4)2 + (z – 7)2 = 17
Câu 12. Trong không gian Oxyz, cho hai mặt phẳng (P): x – y – z + 6 = 0; (Q): 2x + 3y – 2z + 1 = 0. Gọi (S) là mặt cầu có tâm thuộc (Q) và cắt (P) theo giao tuyến là đường tròn có tâm E(-1; 2; 3), bán kính r = 8. Phương trình mặt cầu (S) là:
A. x2 + (y + 1)2 + (z + 2)2 = 64
B. x2 + (y – 1)2 + (z – 2)2 = 67
C. x2 + (y – 1)2 + (z + 2)2 = 3
D. x2 + (y + 1)2 + (z – 2)2 = 64
Câu 13. Cho f(x) là hàm chẵn trên R thỏa mãn
Chọn mệnh đề đúng.

Câu 14. Trong không gian với hệ tọa độ Oxyz, trong các điểm cho dưới đây, điểm nào thuộc trục Oy?
A. N(2; 0; 0) B. Q(0; 3; 2)
C. P(2; 0; 3) D. M(0; -3; 0)
Câu 15. Tích phân
có giá trị là :

Câu 16. Cho hàm số y = f(x) liên tục trên đoạn [a; b]. Diện tích hình phẳng giới hạn bởi đường cong y = f(x), các đường thẳng x = a, x = b là :

Câu 17. Trong không gian với hệ tọa độ Oxyz, cho mặt cầu (S) có tâm I (3; 2; -1) và đi qua điểm A(2; 1; 2). Mặt phẳng nào dưới đây tiếp xúc với (S) tại A?
A. x + y – 3z – 8 = 0
B. x + y – 3z + 3 = 0
C. x + y + 3z – 9 = 0
D. x – y – 3z + 3 = 0
Câu 18. Khẳng định nào dưới đây là đúng?

Câu 19. Trong không gian với hệ tọa độ Oxyz, cho mặt phẳng (P): 2x + 3y + 4z – 5 = 0 và điểm A(1; -3; 1). Tính khoảng cách d từ điểm A đến mặt phẳng (P).

Câu 20. Tìm nguyên hàm của hàm số f(x) = 5x?

Câu 21. Trong không gian với hệ tọa độ Oxyz, gọi (α) là mặt phẳng cắt ba trục tọa độ tại ba điểm A(4; 0; 0), B(0; -2; 0), C(0; 0; 6). Phương trình mặt phẳng (α) là:

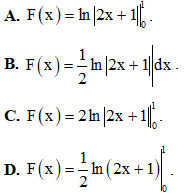
Câu 22. Hàm số nào dưới đây là nguyên hàm của hàm số
?

Câu 23. Trong không gian với hệ tọa độ Oxyz, phương trình mặt phẳng (Oxz) là:
A. x = 0 B. x + z = 0
C. z = 0 D. y = 0
Câu 24. Tìm hàm số F(x) biết F'(x) = sin2x và

Câu 25. Cho đồ thị hàm số y = f(x) như hình vẽ và 

Tính diện tích của phần được gạch chéo theo a, b.
Câu 26. Tính diện tích S của hình phẳng giới hạn bởi đồ thị các hàm số y = |x|, y = x2 – 2.

Câu 27. Giá trị nào của a để
A. 1 B. 2
C. 0 D. 3
Câu 28. Trong không gian với hệ tọa độ Oxyz, cho A(1; -1; 0), B(0; 2; 0), C(2; 1; 3). Tọa độ điểm M thỏa mãn
là:
A. (3; 2; -3) B. (3; -2; 3)
C. (3; - 2; -3) D. (3; 2; 3)
Câu 29. Một ô tô đang đi với vận tốc lớn hơn 72km/h, phía trước là đoạn đường chỉ cho phép chạy với tốc độ tối đa là 72km/h, vì thế người lái xe đạp phanh để ô tô chuyển động chậm dần đều với vận tốc v(t) = 30 – 2t (m/s), trong đó t là khoảng thời gian tính bằng giây kể từ lúc bắt đầu đạp phanh. Hỏi từ lúc bắt đầu đạp phanh đến lúc đạt tốc độ 72km/h, ô tô đã di chuyển quãng đường là bao nhiêu mét?
A. 100m B. 150m
C. 175m D. 125m
Câu 30. Thể tích khối tròn xoay sinh ra khi quay hình phẳng giới hạn bởi đồ thị các hàm số y = x2 – 2x, y = 0, x = -1, x = 2 quanh quanh trục Ox bằng:

Câu 31. Thể tích của khối tròn xoay sinh ra khi cho hình phẳng giới hạn bởi Parabol (P): y = x2 và đường thẳng d: y = x xoay quanh trục Ox bằng:

Câu 32. Trong không gian với hệ tọa độ Oxyz, cho A(1; 2; 3), B(-2; 4; 4), C(4; 0; 5). Gọi G là trọng tâm tam giác ABC. Biết điểm M nằm trên mặt phẳng (Oxy) sao cho độ dài đoạn thẳng GM ngắn nhất. Tính độ dài đoạn thẳng GM.

Câu 33. Trong không gian với hệ tọa độ Oxyz, cho điểm M(2; -1; 1) Tìm tọa độ điểm M' là hình chiếu vuông góc của M trên mặt phẳng Oxy.
A. M' (2; -1; 0)
B. M' (0; 0; 1)
C. M' (-2; 1; 0)
D. M' (2; 1; -1)
Câu 34. Tìm tập xác định của hàm số 

Câu 35. Trong không gian với hệ tọa độ Oxyz, cho 3 điểm A(1; 2; -1), B(-3; 1; -3), C(3; 1; -3) Số điểm D sao cho 4 điểm A,B,C, D là 4 đỉnh của một hình bình hành là
A. 3. B. 1.
C. 1. D. 0.
Câu 36. Trong không gian với hệ tọa độ Oxyz, cho mặt cầu (S): x2 + y2 + z2 -2(x + 2y + 3z) = 0. Gọi A, B, C lần lượt là giao điểm (khác gốc tọa độ O) của mặt cầu S và các trục tọa độ Ox, Oy, Oz. Phương trình mặt phẳng ABC là:
A. 6x - 3y - 2z - 12 = 0
B. 6x + 3y + 2z - 12 = 0
C. 6x - 3y -2z + 12 = 0
D. 6x - 3y + 2z - 12 = 0
Câu 37. Khoảng cách giữa hai tiệm cận đứng của đồ thị hàm số
bằng:
A. 2. B. √2
C. 2√2 D. 4.
Câu 38. Diện tích của hình phẳng (H) được giới hạn bởi đồ thị hàm số, trục hoành và hai đường x = a, x = b, (a < b) (phần tô đậm trong hình vẽ) tính theo công thức:


Câu 39. Cho hình lăng trụ tam giác đều ABC.A’B’C’ có tất cả các cạnh bằng a. Gọi M, N lần lượt là trung điểm của các cạnh AB và B’C’. Mặt phẳng (A’MN) cắt cạnh BC tại P.

Thể tích khối đa diện MBP.A’B’N’ là:

Câu 40. Trong không gian với hệ tọa độ Oxyz, cho tam giác ABC có phương trình đường phân giác góc A là
Biết rằng điểm M(0; 5; 3) thuộc đường thẳng AB và điểm N(1; 1; 0) thuộc đường thẳng AC. Vectơ nào sau đây là vectơ chỉ phương của đường thẳng AC ?

Câu 41. Cần phải làm cái cửa sổ mà phía trên là hình bán nguyệt, phía dưới là hình chữ nhật, có chu vi là a mét (a chính là chu vi hình bán nguyệt cộng với chu vi hình chữ nhật trừ đi đường kính của hình bán nguyệt). Gọi d là đường kính của hình bán nguyệt.

Hãy xác định d để diện tích cửa sổ là lớn nhất.

Câu 42. Trong mặt phẳng tọa độ Oxy, gọi (H) là phần mặt phẳng chứa các điểm biểu diễn các số phức z thỏa mãn
và có phần thực và phần ảo đều thuộc đoạn [0; 1]. Tính diện tích S của (H).
A. S = 256
B. S = 64π
C. S = 16(4 - π)
D. S = 32(6 - π)
Câu 43. Biết tích phân
với a, b, c là các số nguyên dương. Tính T = a + b + c.
A. T = 2 B. T = 1
C. T = 0 D. T = -1
Câu 44. Cho hàm số có đạo hàm liên tục trên đoạn
Biết
Tính tích phân 

Câu 45. Tìm tập hợp tất cả các giá trị thực của m để phương trình
có hai nghiệm phân biệt.
A. m ∈ (3; 7) \ {5} B. m ∈ (3; 7)
C. m ∈ R \ {5} D. m ∈ R
Câu 46. Cho hàm số y = f(x) liên tục trên [1; 4] và thỏa mãn
Tính tích phân

Câu 47. Trong không gian với hệ tọa độ Oxyz, cho điểm A(1; 2; -3) và mặt phẳng(P): 2x + 2y - z + 9 = 0. Đường thẳng đi qua A và vuông góc với mặt phẳng (Q): 3x + 4y -4z + 5 = 0 cắt mặt phẳng (P) tại B. Điểm M nằm trong mặt phẳng (P) luôn nhìn đoạn AB dưới một góc vuông và độ dài MB lớn nhất. Tính độ dài MB.
A. MB = √5
B. MB =
C. MB =
D. MB = √41
Câu 48. Cho lăng trụ ABCD.A’B’C’D’ có đáy ABCD là hình chữ nhật. AB = a. AD = a√3. Hình chiếu vuông góc của điểm A’ trên mặt phẳng (ABCD) trùng với giao điểm AC và BD. Tính khoảng cách từ điểm B’ đến (A’BD) .

Câu 49. Giải bóng chuyền VTV Cup gồm 12 đội tham dự trong đó có 9 đội bóng nước ngoài 3 đội bóng củaViệt Nam. Ban tổ chức bốc thăm ngẫu nhiên để chia 3 bảng A, B, C mỗi bảng 4 đội. Tính xác suất để ba đội Việt Nam ở 3 bảng khác nhau.

Câu 50. Hình nón đỉnh S, đáy là hình tròn nội tiếp tam giác ABC. Biết rằng AB = BC = 10a, AC = 12a, góc tạo bởi hai mặt phẳng (SAB) và (ABC) bằng 45°. Tính thể tích V của khối nón đã cho.
A.V = 9πa3 B.V = 12πa3
C.V = 27πa3 D.V = 3πa3
-Hết-
Sở Giáo dục và Đào tạo .....
Đề thi Giữa kì 2
năm 2025
Bài thi môn: Toán 12
Thời gian làm bài: 60 phút
(không kể thời gian phát đề)
(Đề số 2)
Câu 1. Tìm nguyên hàm của hàm số y = 2x.

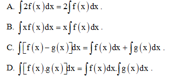
Câu 2. Trong các mệnh đề sau, mệnh đề nào sai?

Câu 3. Cho hai hàm số u = u(x), v = v(x) có đạo hàm liên tục K. Tìm công thức tính nguyên hàm từng phần.

Câu 4. Biết
. Khi đó hàm số F(x) là

Câu 5. Cho hai hàm số f và g liên tục trên đoạn [a; b] sao cho g(x) ≠ 0 với mọi x ∈ [a;b]. Xét các khẳng định sau:

Trong các khẳng định trên, có bao nhiêu khẳng định sai?
A. 1. B. 2.
C. 3. D. 4 .
Câu 6. Cho tích phân
. Nếu đặt t = 2 + cosx thì kết quả nào sau đây đúng?

Câu 7. Diện tích S của hình phẳng giới hạn bởi đồ thị của hàm số y = f(x) liên tục trên [a; b], trục hoành và hai đường thẳng x = a, x = b được tính theo công thức:

Câu 8. Cho hàm số y = f(x) liên tục trên [3; 4]. Gọi D là hình phẳng giới hạn bởi đồ thị hàm số y = f(x), trục hoành và hai đường thẳng x = 3, x = 4. Thể tích khối tròn xoay tạo thành khi quay D quanh trục hoành được tính theo công thức

Câu 9. Trong không gian với hệ tọa độ Oxyz, cho điểm A(1;1;-1) và B(2;2;1).
Vectơ
có tọa độ là
A. (3;3;0) B. (1;1;2).
C. (-1;-1;-2). D. (1;1;-2).
Câu 10.Trong không gian tọa độ Oxyz, cho vectơ
Tính tích vô hướng
?

Câu 11.Trong không gian với hệ trục tọa độ Oxyz, mặt cầu có tâm I(-3;1;0) và đi qua điểm A(-1;-1;0) có phương trình là:
A. x2 + y2 + z2 + 6x - 2y + 2 = 0.
B. x2 + y2 + z2 + 6x - 2y + 4 = 0.
C. x2 + y2 + z2 + 6x - 4y = 0.
D. x2 + y2 + z2 + 3x - y = 0.
Câu 12.Trong không gian Oxyz, cho mặt phẳng (P):2x + y - 5 = 0. Vectơ nào dưới đây là một vectơ pháp tuyến của mặt phẳng (P)?

Câu 13.Trong không gian Oxyz, phương trình mặt phẳng đi qua điểm M(2;1;-3) và nhận
làm vectơ pháp tuyến là
A. 2x + y - 3z - 10 = 0.
B. x + 2y - 2z + 2 = 0.
C. 2x + y - 3z - 14 = 0.
D. x + 2y - 2z - 10 = 0.
Câu 14. Cho hàm số f(x) thỏa mãn đồng thời các điều kiện f(x) = x2 - sinx và F(0) = 1. Tìm F(x).

Câu 15. Tìm nguyên hàm của hàm số
.

Câu 16. Tính nguyên hàm 

Câu 17.Cho hàm số f(x) có đạo hàm trên đoạn [1; 3], f(1) = 1, f(3) = m. Tìm tham số thực m để
?
A. m = 6. B. m = 5.
C. m = 4. D. m = -4.
Câu 18. Cho hàm số f(x) xác định liên tục trên R có
. Tính
?
A.I = 3. B. I = 6.
C. I = 12. D.I = -6.
Câu 19. Biết
với a, b, c là các số hữu tỉ. Tính S = a + b + c.
A. S = 1. B. S = 2.
C. S = 0. D. S = -1.
Câu 20. Cho hình (H) giới hạn bởi các đường y = -x2 + 2x, trục hoành. Quay hình (H) quanh trục Ox ta được khối tròn xoay có thể tích là:

Câu 21. Trong không gian với hệ tọa độ Oxyz, cho hai véctơ
và
. Tìm tọa độ của véc tơ
.

Câu 22. Cho hai mặt phẳng (α) và (β) có phương trình (α): 2x + m2y - 2z - 5 = 0, (β): mx - 8y - 5z + 2 = 0, với m là tham số.
Số giá trị m nguyên để hai mặt phẳng (α) và (β) vuông góc với nhau là:
A. 0. B. 1.
C. 2. D. Vô số.
Câu 23. Trong không gian Oxyz, khoảng cách từ điểm M(1; 2; 3) đến mặt phẳng (P): 2x - 2y + z - 5 = 0 bằng.

Câu 24. Tính nguyên hàm 

Câu 25. Tìm nguyên hàm của hàm số

Câu 26. Tính tích phân
ta được kết quả có dạng
, trong đó a, b, c ∈ ℤ và
là phân số tối giản. Tính T = abc.
A. -12. B. 0.
C. 12. D. -3.
Câu 27.Tính diện tích S của hình phẳng giới hạn bởi đồ thị các hàm số y = 2x – 2, y = 0 và x = 2 được kết quả là
. Khi đó: a + b + c bằng
A. 1. B. -2.
C. 3. D. -1.
Câu 28. Trong không gian với hệ tọa độ Oxyz, mặt cầu đi qua hai điểm A(3;-1;2), B(1;1;-2) và có tâm thuộc trục Oz có bán kính là
A.√11 . B. √10.
C. R = 3. D. R = 1.
Câu 29. Trong không gian với hệ tọa độ Oxyz, cho mặt cầu (S): x2 + y2 + z2 - 2x + 6y - 8z - 10 = 0 và mặt phẳng (P): x + 2y - 2z = 0.
Viết phương trình mặt phẳng (Q) song song với (P) và tiếp xúc với (S).
A. x + 2y - 2z + 25 = 0 và x + 2y - 2z + 1 = 0.
B. x + 2y - 2z - 25 = 0 và x + 2y - 2z - 1 = 0.
C. x + 2y - 2z + 31 = 0 và x + 2y - 2z - 5 = 0.
D. x + 2y - 2z + 5 = 0 và x + 2y - 2z - 31 = 0.
Câu 30. Cho hàm số f(x) có đạo hàm và liên tục trên R thỏa mãn
và f(0) = -2. Tính f(1).

Câu 31.Diện tích hình phẳng S giới hạn bởi các đồ thị hàm số y = x3, y = 2 – x và trục hoành Ox bằng:

................................
................................
................................
Sở Giáo dục và Đào tạo .....
Đề thi Giữa kì 2
năm 2025
Bài thi môn: Toán 12
Thời gian làm bài: 90 phút
(không kể thời gian phát đề)
(Đề số 3)
Câu 1.
bằng

Câu 2. Họ tất cả các nguyên hàm của hàm số f(x) = 2cosx – sinx là
A. 2sinx - cosx + C
B. - 2sinx - cosx + C
C. 2sinx + cosx + C
D. - 2sinx + cosx + C
Câu 3.
bằng

Câu 4.
bằng

Câu 5.
bằng

Câu 6.
bằng

Câu 7 : Cho hàm số thỏa mãn
và f(0) = 1. Tính

Câu 8. Biết rằng là một nguyên hàm của f(x) = (x + 1)sinx và g(0) = 0 , tính g(π)
A. 0. B.π + 1
C. π + 2 D. 1.
Câu 9. Tính

Câu 10. Cho
Khi đó
bằng

Câu 11.
bằng
A. 12. B. 4.
C. -12. D. 8.
Câu 12.
bằng
A. -2ln2. B. -4ln2.
C. ln2. D. 4ln2.
Câu 13. Biết rằng
với a, b ∈ ℤ, hãy tính b – a.
A. b – a = 1. B. b – a = -1.
C. b – a = 7. D. b – a = -7.
Câu 14. Cho hàm số y = f(x) sao cho f'(x) liên tục trên
, và f(2) = 3. Tính
A. I = 4ln2 – 3. B. I = 2ln2 – 3.
C. I = 2ln2 + 3. D. I = 3ln2 – 4.
Câu 15. Biết
với a, b, c ∈ ℤ. Tính T = a + b + c.
A.T = -4 B.T = 21
C. T = 9 D.T = -12
Câu 16: Giả sử hàm số f(x) liên tục và dương trên đoạn [0; 3] thỏa mãn
. Tính tích phân 

Câu 17: Cho hàm số f(x) có đồ thị như hình vẽ bên dưới.

Diện tích hình phẳng giới hạn bởi đồ thị hàm số f(x) và trục Ox được tính theo công thức nào sau đây?

Câu 18: Tính diện tích hình phẳng giới hạn bởi đồ thị hàm số f(x) = (x - 1)(2 - x)(x2 + 1) và trục Ox.

Câu 19. Gọi là diện tích của hình phẳng giới hạn bởi parabol
và đường thẳng y = x + 1. Ta có

Câu 20. Hình vẽ dưới đây là một mảnh vườn hình Elip có bốn đỉnh là I; J; K; L, ABCD, EFGH là các hình chữ nhật; IJ= 10m, KL = 6m, AB = 5m, EH = 3m. Biết rằng kinh phí trồng hoa là 50000 đồng/m2, hãy tính số tiền (làm tròn đến hàng đơn vị) dùng để trồng hoa trên phần gạch sọc.

A. 2 869 834 đồng. B. 1 434 917 đồng.
C. 2 119 834 đồng. D. 684 917 đồng.
Câu 21.Một quần thể virut Corona P đang thay đổi với tốc độ
, trong đó t là thời gian tính bằng giờ. Quần thể virut Corona P ban đầu (khi t = 0) có số lượng là 1000 con. Số lượng virut Corona sau 3 giờ gần với số nào sau đây nhất?
A.16000. B. 21750.
C. 12750. D. 11750.
Câu 22. Cho hình (H) giới hạn bởi đồ thị hàm số
, trục hoành, các đường thẳng x = 1, x = 2. Biết rằng khối tròn xoay do (H) quay quanh trục Ox tạo ra có thể tích là πlna. Giá trị của a là
A. 6. B. 2.
C. 4. D. 8.
Câu 23. Cho hình (H) giới hạn bởi đồ thị hàm số y = sinx, y = cosx, các đường thẳng x = 0, x = π/4 . Biết rằng khối tròn xoay do (H) quay quanh trục Ox tạo ra có thể tích là π/a , hỏi rằng có bao nhiêu số nguyên nằm trong khoảng (a; 10)?
A. 6. B. 7.
C. 8. D. 9.
Câu 24. Cho hình thang cong giới hạn bởi đồ thị hàm số y = √x , trục hoành, các đường thẳng x = 1 và x = 4. Thể tích của khối tròn xoay được tạo thành khi quay hình thang cong trên quanh trục Ox bằng

Câu 25. Cho a, b là hai số thực dương. Gọi (H) là hình phẳng giới hạn bởi parabol y = ax2 và đường thẳng y = -bx. Quay (H) quanh trục hoành thu được khối có thể tích là V1, quay (H) quanh trục tung thu được khối có thể tích là V2. Tìm b sao cho V1 = V2.

Câu 26: Vận tốc (tính bằng
) của một hạt chuyển động theo một đường được xác định bởi công thức v(t) = t3 - 8t2 + 17t - 10 , trong đó t được tính bằng giây.
Tổng quãng đường mà hạt đi được trong khoảng thời gian 1 ≤ t ≤ 5 là bao nhiêu?

Câu 27: Biết F(x) là một nguyên hàm của hàm số f(x) = 4x3 + 1 và F(0) = 1. Tính giá trị của F(1).
A. 0. B. 1.
C. 2. D. 3.
Câu 28: Cho hàm số f(x) xác định trên R \ thỏa mãn
, f(1) = 2020, f(3) = 2021. Tính P = f(4) – f(0).
A. P = 4. B. P = ln2.
C. P = ln4041. D. P = 1.
Câu 29. Trong không gian Oxyz, cho . Nếu
có tọa độ là
A. (1;0;4) B.(1;6;1)
C. (1; -4;6) D. (1;-10;9)
Câu 30. Trong không gian Oxyz, cho hai điểm A(-2;1;1), B(3;2;-1) . Độ dài đoạn thẳng AB bằng
A.√30 B.√10
C. √22 D. 2
Câu 31. Trong không gian Oxyz, cho
khi đó
bằng
A. 20. B. 8.
C. √46 D. 2√2
Câu 32. Trong không gian Oxyz, cho A(1;0;6), B(0;2;-1), C(1;4;0). Bán kính mặt cầu (S) có tâm I(2;2;-1) và tiếp xúc với mặt phẳng (ABC) bằng

Câu 33. Trong không gian Oxyz, cho mặt cầu (S): (x + 1)2 + (y - 2)2 + (z -1)2 = 4 . Tìm tọa độ tâm I và bán kính R của mặt cầu (S).
A. I(-1;2;1) và R = 2 .
B. I(1;-2;-1) và R = 2 .
C. I(-1;2;1) và R = 4.
D. I(1;-2;-1) và R = 4 .
Câu 34. Trong không gian Oxyz cho hai điểm A(-2;1;0), B(2; -1; 2). Phương trình mặt cầu (S) có tâm B và đi qua A là
A. (x - 2)2 + (y + 1)2 + (z - 2)2 = √24
B. (x - 2)2 + (y + 1)2 + (z - 2)2 = 24
C. (x + 2)2 + (y - 1)2 + z 2 = 24
D. (x - 2)2 + (y - 1)2 + (z - 2)2 = 24
Câu 35. Trong không gian Oxyz cho hai điểm A(-2;1;0), B(2;-1;4). Phương trình mặt cầu (S) có đường kính AB là
A. x2 + y2 + (z -2)2 = 3
B. x2 + y2 + (z + 2)2 = 3
C. x2 + y2 + (z -2)2 = 9
D. x2 + y2 + (z + 2)2 = 9
Câu 36. Thể tích khối cầu ngoại tiếp tứ diện đều ABCD cạnh a là

Câu 37. Trong không gian Oxyz, cho mặt cầu (S) có tâm thuộc trục Ox và đi qua hai điểm A(1;2;-1) và B(2;1;3). Phương trình của (S) là
A. (x - 4)2 + y2 + z2 = 14
B. (x + 4)2 + y2 + z2 = 14
C. x2 + (y -4)2 + z2 = 14
D. x2 + y2 + (z -4)2 =14
Câu 38. Trong không gian Oxyz, cho mặt cầu (S) có tâm I(1;-2;3) và tiếp xúc với mặt phẳng (P); 2x - 2y + z + 3 = 0. Phương trình của (S) là
A. (x -1 )2 + (y + 2)2 + (z - 3)2 = 16
B. (x -1 )2 + (y + 2)2 + (z - 3)2 = 9
C. (x + 1 )2 + (y - 2)2 + (z + 3)2 = 16
D. (x -1 )2 + (y + 2)2 + (z - 3)2 = 4
Câu 39. Trong không gian Oxyz cho A(a;0;0), B(0;b;0), C(0;0;c),
(a > 0, b > 0, c > 0). Diện tích tam giác ABC bằng √3/2. Tìm khoảng cách từ B đến mặt phẳng (ACD) khi VABCD đạt giá trị lớn nhất.

Câu 40. Trong không gian với hệ tọa độ Oxyz, cho hai điểm E(1;1;3); F(0;1;0) và mặt phẳng (P): x + y + z + 1 = 0 Gọi M(a;b;c) ∈ (P) sao cho
đạt giá trị nhỏ nhất. Tính T = 3a + 2b + c
A. 4. B. 3.
C. 6. D. 1.
Câu 41. Trong không gian Oxyz, cho hai điểm A(1;2;5), B(3;0;-1). Mặt phẳng trung trực của đoạn thẳng AB có phương trình là
A. x + y - 3z + 6 = 0
B. x - y - 3z + 5 = 0
C. x - y - 3z + 1 = 0
D. 2x + y + 2z + 10 = 0
Câu 42. Trong không gian Oxyz, mặt phẳng đi qua điểm A(-1;2;4) và song song với mặt phẳng (P): 4x + y - x + 5 = 0 có phương trình là
A. 4x + y + z - 5 = 0
B. 4x + y + z - 2 = 0
C. 4x + y - z = 0
D. 4x + y - z + 6 = 0
Câu 43. Trong không gian Oxyz, gọi (P) là mặt phẳng đi qua điểm M(, đồng thời vuông góc với hai mặt phẳng và . Phương trình của (P) là
A. 8x - y + 5z + 23 = 0
B. 4x + y - 5z + 25 = 0
C. 8x + y - 5z + 41 = 0
D. 8x - y - 5z - 43 = 0
Câu 44. Trong không gian Oxyz, cho mặt cầu (S): (x + 1)2 + (y - 2)2 + (z -1 )2 = 9 . Mặt phẳng (P) tiếp xúc với (S) tại điểm A(1;3;-1) có phương trình là
A. 2x + y - 2z - 7 = 0
B. 2x + y + 2z - 7 = 0
C. 2x - y + 2z + 10 = 0
D. 2x + y - 2z + 2 = 0
Câu 45. Trong không gian Oxyz, cho mặt phẳng (P): 2x - y + 2z + 1 = 0 và hai điểm A(1;0;-2), B(-1;-1;3). Mặt phẳng (Q) đi qua hai điểm A, B và vuông góc với (P) có phương trình dạng ax - byy + cz + 5 = 0 . Khẳng định nào sau đây đúng?
A. a + b + c = 21 B. a + b + c = 7
C. a + b + c = -21 D. a + b + c = -7
Câu 46. Trong không gian Oxyz, cho ba điểm A(0;1;2), B(2;-2;1), C(-2;1;0) . Khi đó mặt phẳng (ABC) có phương trình là
A. x + y - z + 1 = 0
B. 6x + y - z - 6 = 0
C. x - y + z + 6 = 0
D. x + y - z - 3 = 0
Câu 47. Trong không gian Oxyz, cho mặt phẳng (Q) song song mặt phẳng (P): 2x - 2y + z + 17 = 0. Biết mặt phẳng (P) cắt mặt cầu (S): x2 + (y - 2)2 + (x + 1)2 = 25 theo giao tuyến là một đường tròn có bán kính r = 3. Khi đó mặt phẳng (Q) có phương trình là
A. 2x - 2y + z - 7 = 0
B. 2x - 2y + z - 17 = 0
C. 2x - 2y + z + 17 = 0
D. x - y + 2z - 7 = 0
Câu 48. Trong không gian Oxyz, mặt phẳng (α): y = 0 trùng với mặt phẳng nào dưới đây ?
A. (Oxy) B. ( Oyz)
C. (Ozx) D. x - y = 0
Câu 49. Trong không gian Oxyz, cho bốn điểm A(1;0;0), B(0;2;0), C(0;0;4), M(0;0;3). Tính khoảng cách từ M đến mặt phẳng (ABC).

Câu 50. Trong không gian Oxyz, cho mặt phẳng (P): z = 0 và hai điểm A(2; -1;0), B(4;3;-2) . Gọi M(a;b;c) ∈ (P) sao cho MA = Mb và góc
có số đo lớn nhất. Khi đó đẳng thức nào sau đây đúng?

Sở Giáo dục và Đào tạo .....
Đề thi Giữa kì 2
năm 2025
Bài thi môn: Toán 12
Thời gian làm bài: 90 phút
(không kể thời gian phát đề)
(Đề số 4)
I. Phần 1. Trắc nghiệm khách quan
Câu 1. Hàm số F(x) là một nguyên hàm của hàm số f(x) trên khoảng K nếu
A. F'(x) = -f(x), ∀x ∈ K.
B. f'(x) = F(x), ∀x ∈ K.
C. F'(x) = f(x), ∀x ∈ K
D. f'(x) = -F(x), ∀x ∈ K.
Câu 2. Trong các mệnh đề sau, mệnh đề nào sai?
A. Nếu F(x) là một nguyên hàm của f(x) trên (a; b) và C là hằng số thì 
B. Nếu F(x) và G(x) đều là nguyên hàm của hàm số f(x) thì F(x) = G(x).
C. F(x) là một nguyên hàm của f(x) trên (a; b)
D. 
Câu 3. Họ tất cả các nguyên hàm của hàm số y = 2021x là

Câu 4. Họ tất cả các nguyên hàm của hàm số sin2021x là

Câu 5. Mệnh đề nào sau đây sai?

Câu 6. Mệnh đề nào sau đây sai ?

Câu 7. Để tính ∫x.exdx bạn An đặt u = x và dv = exdx. Khi đó ∫x.exdx bằng
A. x.ex - ∫exdx
B. x.ex + ∫exdx
C. ex - ∫xexdx
D.ex - ∫exdx
Câu 8. S(x) là một nguyên hàm của hàm số y = 2x. Hình thang vuông giới hạn bởi đường thẳng y = 2x , trục hoành và hai đường thẳng x = 1, x = 5 được tính theo công thức
A. S = S(1) - S(5).
B. S = S(5) - S(1).
C. S =(2x) - S(4).
D. S = S(4) - S(2x).
Câu 9. Cho hàm số f(x) liên tục trên [a; b] và F(x) là một nguyên hàm của f(x) trên đoạn [a; b]. Tìm khẳng định đúng trong các khẳng định sau.

Câu 10. Cho hàm số f(x) liên tục trên [-2; 5] và F(x) là một nguyên hàm của f(x) trên đoạn [-2; 5]. Biết , F(5) = 2. Tính F(-2).
A. 4. B. 3.
C. 7. D. -3.
Câu 11. Cho hàm số f(x) liên tục trên R và thỏa mãn
. Tính tích phân
.
A. 4. B. 3.
C. 5. D. -5.
Câu 12. Cho
, khi đó tính tích phân
bằng
A. 16. B. -18.
C. 24. D. 10.
Câu 13. Biết
. Khi đó
bằng
A. 1. B. 2.
C. 3. D. 4.
Câu 14. Biết
Khi đó
bằng
A. 1. B. 2.
C. 5. D. 6.
Câu 15. Trong không gian Oxyz cho
. Tọa độ của
là
A. (1;-2;0) B. (0;1;-2)
C. (1;0;-2. D. (0;-2;1).
Câu 16. Trong không gian Oxyz, cho hai vectơ
. Khẳng định nào dưới đây là đúng?

Câu 17. Cho phương trình mặt cầu (S): (x - 3)2 + (y + 2)2 + (z - 5)2 = 8. Tìm tâm và bán kính của mặt cầu
A. I(3;2;5), R = 8 .
B. I(3;2;5), R = 2√2.
C. I(3;- 2;5), R = 2√2
D. I(3;-2;5), R = 8 .
Câu 18. Trong không gian tọa độ Oxyz. Cho phương trình mặt phẳng (α): 2x + 4y - 7z -2021 = 0. Một vectơ pháp tuyến của mặt phẳng (α) là

Câu 19. Trong không gian với hệ tọa độ Oxyz, cho mặt phẳng (P): x - y + z - 5 = 0. Điểm nào trong các phương án dưới đây thuộc mặt phẳng (P).
A. M(2;1;0) B.M(2;-1;0).
C. M(-1;-1;6). D. M(1;1;5).
Câu 20. Trong không gian Oxyz, cho mặt phẳng (α):x - 2y 1+ 5z -4 = 0 . Mặt phẳng nào dưới đây song song với (α)?
A. x - 2y + 5z + 7 = 0.
B. x + 2y - 5z - 4 = 0.
C. -x + 2y - 5z + 4.
D. x - 2y - 5z - 7 = 0.
Câu 21. Cho hàm số f(x) có đạo hàm liên tục trên đoạn [a; b] thỏa mãn f(1) = 2 và f(2) = 5. Khi đó
bằng
A. 1. B. 2.
C. 4. D. 3.
Câu 22. Họ nguyên hàm của hàm số df(x) = (3x + 1)3là

Câu 23. Họ tất cả các nguyên hàm của hàm số y = sin2x - x3là

Câu 24. Họ tất cả các nguyên hàm của hàm số
là

Câu 25. Tìm họ nguyên hàm 

Câu 26. Tính tích phân
A. 0. B. 1.
C. 2. D. 3.
Câu 27. Cho hàm số f(x) liên tục trên khoảng (-2; 3). Gọi F(x) là một nguyên hàm của f(x) trên khoảng (-2; 3). Tính
, biết F(-1) = 1 và F(2) = 4.
A. I = 6. B. I = 10.
C. I = 3. D. I = 9.
Câu 28. Biết
. Giá trị của
bằng

Câu 29. Tích phân
bằng

Câu 30. Cho tích phân
, với cách đặt
thì tích phân đã cho bằng với tích phân nào sau đây?

Câu 31. Giá trị của
bằng

Câu 32. Trong không gian Oxyz, cho hai vectơ
Góc giữa và bằng.
A. 60º B.90º.
C. 45º D. 120º
Câu 33. Trong không gian với hệ tọa độ Oxyz cho hai điểm A(1;-3;6) và B(-5;1;2) phương trình mặt cầu đường kính AB là:
A. (x - 2)2 + (y - 1)2 + (z + 4)2 = 17.
B. (x + 2)2 + (y + 1)2 + (z - 4)2 = 17.
C. (x + 2)2 + (y + 1)2 + (z - 4)2 = √17.
D. (x - 2)2 + (y - 1)2 + (z + 4)2 = √17 .
Câu 34. Trong không gian với hệ tọa độ Oxyz.Tìm một vec tơ pháp tuyến
của mặt phẳng (α) biết (α) đi qua hai điểm A(-1;5;2) và B(-4;0;3) đồng thời (α) song song với giá của vetơ

Câu 35. Trong không gian Oxyz, cho điểm A(1011;1;0) và mặt phẳng (P): x - y - √7z + m = 0 ( tham số m). Tính tổng các giá trị của sao cho d(A;(P)) = 1 ?
A. 2020. B. 2026.
C. -2020. D. -2026.
II. Phần 2. Tự luận
Câu 1. Tính tích phân 
Câu 2. Cho hình chóp S.ABCD có đáy là hình chữ nhật tâm O, cạnh AB = a, BC = a√3. Biết rằng cạnh bên SA hợp với mặt phẳng đáy (ABCD) một góc 60° và SO là đường cao của hình chóp. Tính thể tích của khối cầu ngoại tiếp khối chóp nói trên.
Câu 3.
a) Cho hàm số
Biết F(x) là một nguyên hàm của f(x) và F(0) = 2021. Tính giá trị biểu thức T = F(-1) + F(1).
b) Cho y = f(x) là hàm số chẵn, liên tục trên R biết đồ thị hàm số y = f(x) đi qua điểm
và
Tính
- HẾT -
Sở Giáo dục và Đào tạo .....
Đề thi Giữa kì 2
năm 2025
Bài thi môn: Toán 12
Thời gian làm bài: 90 phút
(không kể thời gian phát đề)
(Đề số 5)
PHẦN I. TRẮC NGHIỆM
Câu 1. Cho hàm số f(x) liên tục trên đoạn [0; 2]. Khi đó
bằng

Câu 2. Mệnh đề nào dưới đây đúng?

Câu 3. Họ nguyên hàm của hàm số f(x) = x2 + 1 là

Câu 4. Khẳng định nào sau đây là sai?
A.
B.
(k là hằng số và k ≠ 0).
C.
, F(x) là một nguyên hàm của hàm số f(x) trên K với C là hằng số.
D. Nếu F(x) và G(x) đều là nguyên hàm của hàm số f(x) thì F(x) = G(x).
Câu 5. Xét f(x) là một hàm số tùy ý, F(x) là một nguyên hàm của f(x) trên [a; b].
Mệnh đề nào dưới đây đúng?

Câu 6. Cho hai hàm số f(x), g(x) liên tục trên R. Trong các mệnh đề sau, mệnh đề nào đúng?

Câu 7. Cho hàm số f(x) có đạo hàm f'(x) liên tục trên R, mệnh đề nào dưới đây đúng?
A. ∫ f(x)dx = f'(x).
B. ∫ f(x)dx = f'(x) + C.
C. ∫ f'(x)dx = f(x).
D. ∫ f'(x)dx = f(x) + C.
Câu 8. Họ nguyên hàm của hàm số f(x) = 2x(3 + ex) là
A. 3x2 + 2xex - 2ex + C.
B. 6x2 + 2xex + 2ex + C.
C. 3x2 + ex - 2xex + C.
D. 3x2 + 2xex + 2ex + C.
Câu 9. Trong không gian Oxyz, cho
Tọa độ của vectơ là
A. (-2;3;-1). B. (2;-3;1).
C. (2;3;1). D. (-2;-3;-1).
Câu 10. Cho các hàm số f(x) và g(x) bất kỳ sao cho chúng liên tục, có đạo hàm liên tụctrên tập xác định. Mệnh đề nào sau đây sai?

Câu 11. Cho
, khi đó
bằng
A. 9. B. 8.
C. 10. D. 11.
Câu 12. Nếu
bằng
A. 0. B. 2.
C. 6. D. 8.
Câu 13. Cho hai tích phân
Giá trị của tích phân
là
A. m + n. B. m – n.
C. n – m. D. m.n.
Câu 14. Biết
, khi đó
bằng
A. 1. B. -2.
C. -1. D. 2.
Câu 15.Tích phân
bằng

Câu 16. Khoảng cách từ điểm A(1; 1; 0) đến mặt phẳng (P): 3x – 4y + 2021 = 0 là
A. 2021. B. 2022.
C. 404. D. 405.
Câu 17. Trong không gian với hệ toạ độ Oxyz, mặt phẳng (P) đi qua điểm A(-1;2;0) và nhận
làm vectơ pháp tuyến có phương trình là
A. -x + 2y -1 =0.
B. -x + 2z - 5 = 0.
C. -x + 2y - 5 = 0.
D. -x + 2z - 1 = 0.
Câu 18. Trong không gian Oxyz, cho mặt phẳng (P): 2x + 3y - z + 1 = 0 Vectơ nào
dưới đây là một vectơ pháp tuyến của mặt phẳng (P)?

Câu 19. Trong không gian Oxyz cho điểm M(1;-2;3). Tìm tọa độ điểm N đối xứng với điểm M qua mặt phẳng (Oxy).
A. N(-1;2;-3).
B. N(1;-2;0).
C. N(-1;2;3).
D. N(1;-2;-3).
Câu 20. Cho biết F(x) là một nguyên hàm của hàm số f(x). Tìm 

Câu 21. Hàm số
với x > 0 là một nguyên hàm của hàm số

Câu 22. Biết F(x) là một nguyên hàm của hàm số f(x) = sinx và đồ thị hàm số y = F(x) đi qua điểm M(π/2; 1). Tính F(π).
A. F(π) = 2. B. F(π) = -1.
C. F(π)= 0. D. F(π) = 1.
Câu 23. Cho hàm số y = f(x) có đạo hàm trên đoạn [2; 5], f(5) = 7 và
. Khi đó f(2) bằng
A. 3. B. 5. C. -3. D. -5.
Câu 24. Cho tích phân
khi đó tích phân I bằng

Câu 25. Phương trình mặt cầu có tâm I(-1;2;1) và tiếp xúc với mặt phẳng (P):x - 2y - 2z - 2 = 0 là
A. (x + 1)2 + (y - 2)2 + (z + 1)2 = 0.
B. (x + 1)2 + (y - 2)2 + (z + 1)2 = 9.
C. (x + 1)2 + (y - 2)2 + (z - 1)2 = 3.
D. (x + 1)2 + (y - 2)2 + (z - 1)2 = 9.
Câu 26. Phương trình mặt cầu tâm I(2;-4;3) và tiếp xúc với trục Oy là
A. (x - 2)2 + (y + 4)2 + (z - 3)2 = 25.
B. (x - 2)2 + (y + 4)2 + (z - 3)2 = 13.
C. (x - 2)2 + (y + 4)2 + (z - 3)2 = 9.
D. (x - 2)2 + (y + 4)2 + (z - 3)2 = 20.
Câu 27. Cho 
Tích phân
bằng
A. -2. B. 10.
C. 4. D. 8.
Câu 28. Cho f(x), g(x) là các hàm số có đạo hàm liên tục trên [1; 3];
. Tính
A. I = -7 B. I = -3.
C. I = -10. D. I = 7.
Câu 29. Biết tích phân
trong đó a;b;c ∈ ℤ. Tính S = a + b + c.
A. S = 6. B. S = 5.
C. S = 7. D. S = 8.
Câu 30. Cho
. Tính tích phân
A. I = 0. B. I = 4036.
C. I = 2014. D. I = 1009.
Câu 31. Giá trị của tích phân
là
A. ln3. B. -ln3
C. ln√3 D. -ln√3
Câu 32. Trong không gian với hệ tọa độ Oxyz, cho các điểm A(1;0;3), B(2;3;-4), C(-3;1;2)
. Tìm tọa độ điểm D sao cho ABCD là hình bình hành.
A. D(-4;-2;9). B. D(-4;2;9).
C. D(4;-2;9). D. D(4;2;-9)
Câu 33. Trong không gian với hệ trục tọa độ Oxyz cho điểm A(2;-1;1), B(1;0;1) và mặt phẳng (α): x - 2y + z - 3 = 0. Phương trình mặt phẳng (β) chứa A, B và vuông góc với mặt phẳng (α) là
A. x + y + z - 2 = 0.
B. 2x - y + z - 1 = 0.
C. x - 2y + 3z + 1= 0.
D. 2x + y - z + 3 = 0.
Câu 34. Trong không gian Oxyz, cho hai điểm A(2;1;-1), B(0;-3;5). Viết phương
trình mặt phẳng trung trực của đoạn AB.
A. x + y - 2z + 2 = 0.
B. x + 2y - 3z + 7 = 0.
C. x - 2y - 3z + 7 = 0.
D. 2x + y - 3z + 7 = 0.
Câu 35. Tìm một nguyên hàm F(x) của hàm số
, biết rằng đồ thị của hàm số y = F(x) cắt trục tung tại điểm có tung độ bằng 2.

PHẦN II. TỰ LUẬN
Câu 1. Cho hình chóp S.ABC có đáy là tam giác đều cạnh bằng a. Cạnh bên SA vuông góc với đáy, mặt cầu ngoại tiếp hình chóp S.ABC có diện tích là 2πa2. Tính thể tích khối chóp S.ABC theo a.
Câu 2. Cho hàm số y = f(x) thỏa mãn f(x) < 0, ∀x > 0 và có đạo hàm f'(x) liên tục trên khoảng
(0; + ∞ ) thỏa mãn f'(x) = (2x + 1)f2(x), ∀x > 0 và f(1) = - ½. Tính f(1) + f(2) + f(3) + ...+ f(2020).
Câu 3. Tìm 
Câu 4. Tính tích phân
- Hết -
Sở Giáo dục và Đào tạo .....
Đề thi Giữa kì 2
năm 2025
Bài thi môn: Toán 12
Thời gian làm bài: 90 phút
(không kể thời gian phát đề)
(Đề số 6)
Câu 1. Cho hàm số y = f(x) liên tục trên và có bảng xét dấu của đạo hàm như hình vẽ:

Hàm số đã cho đồng biến trong khoảng nào dưới đây?
A.(2;4). B.(-∞; 0).
C.(0; 2). D.(-1;2).
Câu 2. Phương trình đường tiệm cận ngang của đồ thị hàm số
là
A. x = -3. B. x = -1.
C.y = -3. D. y = 4.
Câu 3. Cho hàm sốy = f(x) có bảng biến thiên như sau:

Mệnh đề nào sau đây đúng ?
A. Đồ thị hàm số cóđường tiệm cận ngang.
B. Đồ thị hàm số có đường tiệm cận ngang y = 4.
C. Đồ thị hàm số không có tiệm cận.
D. Đồ thị hàm số có đường tiệm cận đứng x = 0.
Câu 4. Cho hàm số y = ex. Mệnh đề nào sau đây sai ?
A. Đồ thị hàm số đi qua điểm A(1; 0).
B. Tập xác định của hàm số là D = R.
C. Hàm số có đạo hàm y' = ex, ∀x ∈ R.
D. Đồ thị hàm số nhận trục hoành là tiệm cận ngang.
Câu 5. Cho hình lập phương ABCD.A'B'C'D' có cạnh bằng 2a. Khoảng cách giữa hai đường thẳng AB' và CD' bằng
A. 2a. B. a
C. 2√2a D. √2a
Câu 6. Cho hình hộp chữ nhật ABCD.A'B'C'D' có BA = a; BC = 2a; BB' = 3a. Thể tích V của khối hộp chữ nhật ABCD.A'B'C'D' bằng
A. V = 2a3. B. V = 3a3.
C. V = 6a3. D. V = a3.
Câu 7. Cho khối lăng trụ ABC.A'B'C' có diện tích đáy bằng 2a2, đường cao bằng 3a. Thể tích khối lăng trụ ABC.A'B'C' là.
A. a3. B. 6a3.
C. 12a3. D. 2a3.
Câu 8. Cho hàm số f(x) xác định trên R \, liên tục trên mỗi khoảng xác định và có bảng biến thiên như sau

Tìm tất cả các giá trị thực của tham số m để phương trình f(x) = m – 1 có ba nghiệm thực phân biệt.
A. m ∈ (2;4). B. m ∈ [2;4).
C. m ∈ (1;3). D. m ∈ [1;3).
Câu 9. Thể tích của khối cầu có bán kính R là

Câu 10. Tìm
?

Câu 11. Khối bát diện đều là khối đa diện đều loại
{4; 3}. B. {3; 4}.
C. {3; 3}. D. {3; 5}.
Câu 12. Trong không gian Oxyz, Cho
Tọa độ vectơ
là
A. (2;-3;2). B. (2;-3;-2).
C. (2;3;2). D. (-2;-3;2).
Câu 13. Cho hàm số y = f(x) liên tục trên R và có bảng biến thiên như sau

Mệnh đề nào sau đây sai?
A. Đồ thị hàm số không có tiệm cận.
B. Gía trị cực tiểu của hàm số bằng 1.
C. x = 5 là điểm cực đại của hàm số.
D. Hàm số có ba điểm cực trị.
Câu 14. Biểu thức
viết dưới dạng luỹ thừa với số mũ hữu tỷ là

Câu 15. Tập xác định của hàm số y = log2021x là
A. D = (2021; +∞).
B. D = (0; +∞).
C. D = [0; +∞).
D. D = (0; +∞) \ .
Câu 16. Hàm số nào sau đây đồng biến trên R?

Câu 17. Hàm số nào sau đây là một nguyên hàm của hàm số f(x) = x2?

Câu 18. Tập nghiệm S của bất phương trình 
A. S = {-1;1}.
B. S = (-1;1).
C. S = [-1;1].
D. S = (-∞; -1] ∪ [1; +∞).
Câu 19. Trong không gian Oxyz, cho các điểm A(2;0;0), B(0;4;0), C(0;0;6). Tính thể tích V của tứ diện OABC?
A. V = 48(đvtt). B. V = 24(đvtt).
C. V = 8(đvtt). D. V = 16(đvtt).
Câu 20. Cho cấp số cộng (un) có u3 = -7 và u4 = -4 . Tìm công sai d của cấp số cộng đã cho.
A. d = 3. B. d = 4/7.
C. d = -11. D. d = -3.
Câu 21. Tổng số đường tiệm cận đứng và tiệm cận ngang của đồ thị hàm số 
A. 3. B. 1.
C. 2. D. 0.
Câu 22. Số cách chọn đồng thời 4 người từ một nhóm có 11 người là
A. 44. B. A411.
C. 15. D. C411.
Câu 23. Cho hàm số f(x) liên tục trên R và có đồ thị như hình vẽ. Giá trị lớn nhất của hàm số đã cho trên [-2;0] là:

A. -1. B. 0.
C. 2. D. -2.
Câu 24. Cho hàm số f(x) liên tục trên R và có đồ thị như hình vẽ. Điểm cực đại của hàm số là:

A. x = 3 . B. x = 1 .
C. x = 0 . D. x = -1.
Câu 25. Gọi M, m lần lượt là giá trị lớn nhất và nhỏ nhất trên đoạn [0; 1] của hàm số y = 2x3 - 3x2 + 20202021. Giá trị của biểu thức P = M – m bằng
A. -1. B. 1.
C. 20202021 + 1. D. 20202021 - 1.
Câu 26. Cho b là số thực dương tùy ý. Mệnh đề nào sau đây sai?

Câu 27. Cho hình nón có bán kính đáy bằng r, đường sinh bằng l và chiều cao bằng h. Diện tích xung quanh của hình nón đó bằng
A. 2πrh. B. πrh.
C. 2πrl. D. πrl.
Câu 28. Tập xác định của hàm số
là:

Câu 29. Phương trình 4x - 1 = 16 có nghiệm là:
A. x = 4. B. x = 2.
C. x = 5. D. x = 3.
Câu 30. Đồ thị hàm số nào dưới đây là đường cong trong hình bên?


Câu 31. Trong không gian Oxyz, cho A(1;0;-2), B(2;-3;1). Tọa độ vectơ
là
A. (3;-3;-1). B. (-1;3;-3).
C. (1;-3;-3). D. (1;-3;3).
Câu 32. Cắt một hình trụ bằng một mặt phẳng qua trục của nó, ta được thiết diện là một hình vuông cạnh 3a. Diện tích xung quanh của hình trụ đó là:

Câu 33. Trong không gian Oxyz, cho hai điểm A(1;2;0), B(-1;3;5) . Gọi I(a; b; c) là điểm thỏa mãn
Khi đó, giá trị của biểu thức a + 2b + 2c bằng:

Câu 34. Cho a, b là số thực dương và a > 1, a ≠ b thỏa mãn logab = 3. Giá trị của biểu thức
bằng:
A. -3. B. 0.
C. 5. D. 2.
Câu 35. Biết ∫ f(u)du = F(u) + C. Với mọi số thực a ≠ 0, mệnh đề nào sau đây đúng?

Câu 36. Cho hàm số f(x) = ax3 + bx2 + cx + d, (a, b, c, d là các số thực a ≠ 0) có đồ thị f'(x) như hình bên. Có bao nhiêu giá trị thực của tham số m để hàm số
nghịch biến trên nửa khoảng [1; +∞) ?

A. 0. B. 1.
C. 2020. D. 2021.
Câu 37. Cho hình lăng trụ có đáy là tam giác vuông cân tại B với AB = a. Hình chiếu vuông góc của A' lên mặt phẳng (ABC) là điểm H trên cạnh AB sao cho HA = 2HB. Biết
. Tính khoảng cách giữa đường thẳng AA' và BC theo a.

Câu 38. Cho hình chóp S.ABCD có đáy ABCD là hình chữ nhật, AB = a. Biết
Gọi E là điểm thỏa mãn
. Góc giữa (BED) và (SBC) bằng 60°. Bán kính mặt cầu ngoại tiếp tứ diện SCDE bằng

Câu 39. Trong không gian Oxyz, cho hình chóp S.ABC có S(2;3;1) và G(-1;2;0) là trọng tâm tam giác ABC. Gọi A', B', C' lần lượt là các điểm thuộc các cạnh SA, SB, SC sao cho
. Mặt phẳng (A'B'C') cắt SG tại G'. Giả sử G'(a;b;c). Giá trị của biểu thức a + b + c bằng

Câu 40. Gọi S là tập hợp tất cả các số tự nhiên gồm 8 chữ số đôi một khác nhau được lập từ các chữ số 1, 2, 3, 4, 5, 6, 7, 8, 9. Chọn ngẫu nhiên một số từ tập S. Tính xác suất để số được chọn có chữ số hàng đơn vị chia hết cho 3 và tổng các chữ số của số đó chia hết cho 13?

Câu 41. Cho hàm số y = f(x) có đạo hàm liên tục trên R và bảng biến thiên của hàm số f'(x) như sau:

Hỏi hàm số
có bao nhiêu điểm cực tiểu ?
A. 9. B. 4.
C. 7. D. 5.
Câu 42. Cho hàm số
(m là tham số thực ) Thỏa mãn
. Mệnh đề nào dưới đây là đúng ?
A. m < -11. B. m = -12.
C. m > -8. D. m < -8.
Câu 43. Cho hình chóp S.ABCD có đáy là hình vuông cạnh 2a, SA vuông góc với mặt phẳng (ABCD) và SA = a. Gọi M, K lần lượt là trọng tâm tam giác SAB, SCD; N là trung điểm của BC. Thể tích khối tứ diện S.MNK bằng

Câu 44. Có bao nhiêu giá trị nguyên âm của tham số m để hàm số
đồng biến trên [5; +∞) ?
A. 3. B. 2.
C. 8. D. 9.
Câu 45. Cho hình nón có chiều cao bằng 3a, biết rằng khi cắt hình nón đã cho bởi một mặt phẳng đi qua đỉnh hình nón và cách tâm của đáy hình nón một khoảng bằng a, thiết diện thu được là một tam giác vuông. Tính thể tích của khối nón được giởi hạn bởi hình nón đã cho bằng:

Câu 46. Cho phương trình
(m là tham số). Có bao nhiêu giá trị nguyên của tham số m lớn hơn -2021 sao cho phương trình đã cho có hai nghiệm phân biệt x1, x2 thỏa mãn x1 + x2 > 10 ?
A. 2022. B. 2019.
C. 2020. D. 2021.
Câu 47. Cho hàm số
Biết F(x) là một nguyên hàm của hàm số f(x) thỏa mãn
Giá trị lớn nhất của hàm số
bằng

Câu 48. Biết rằng F(x) là một nguyên hàm trên R của hàm số
thỏa mãn
Giá trị nhỏ nhất của hàm số F(x) bằng

Câu 49. Trong không gian Oxyz, cho các điểm A(-3;0;0), B(0;-4;0). Gọi I, J lần lượt là tâm đường tròn nội tiếp và ngoại tiếp của tam giác OAB. Tính độ dài đoạn thẳng IJ

Câu 50. Cho hàm số f(x) liên tục trên R và có đồ thị như hình dưới đây:

Số nghiệm của phương trình
là
A. 16. B. 17.
C. 15. D. 18.
-- HẾT--
Tủ sách VIETJACK luyện thi vào 10 cho 2k11 (2026):
Đã có app VietJack trên điện thoại, giải bài tập SGK, SBT Soạn văn, Văn mẫu, Thi online, Bài giảng....miễn phí. Tải ngay ứng dụng trên Android và iOS.
Theo dõi chúng tôi miễn phí trên mạng xã hội facebook và youtube:Bộ đề thi năm 2025 các lớp các môn học được Giáo viên nhiều năm kinh nghiệm tổng hợp và biên soạn theo Thông tư mới nhất của Bộ Giáo dục và Đào tạo, được chọn lọc từ đề thi của các trường trên cả nước.
Nếu thấy hay, hãy động viên và chia sẻ nhé! Các bình luận không phù hợp với nội quy bình luận trang web sẽ bị cấm bình luận vĩnh viễn.
- Đề thi lớp 1 (các môn học)
- Đề thi lớp 2 (các môn học)
- Đề thi lớp 3 (các môn học)
- Đề thi lớp 4 (các môn học)
- Đề thi lớp 5 (các môn học)
- Đề thi lớp 6 (các môn học)
- Đề thi lớp 7 (các môn học)
- Đề thi lớp 8 (các môn học)
- Đề thi lớp 9 (các môn học)
- Đề thi lớp 10 (các môn học)
- Đề thi lớp 11 (các môn học)
- Đề thi lớp 12 (các môn học)
- Giáo án lớp 1 (các môn học)
- Giáo án lớp 2 (các môn học)
- Giáo án lớp 3 (các môn học)
- Giáo án lớp 4 (các môn học)
- Giáo án lớp 5 (các môn học)
- Giáo án lớp 6 (các môn học)
- Giáo án lớp 7 (các môn học)
- Giáo án lớp 8 (các môn học)
- Giáo án lớp 9 (các môn học)
- Giáo án lớp 10 (các môn học)
- Giáo án lớp 11 (các môn học)
- Giáo án lớp 12 (các môn học)


Giải bài tập SGK & SBT
Tài liệu giáo viên
Sách
Khóa học
Thi online
Hỏi đáp

