15+ Đề thi Giữa kì 2 Toán 6 Chân trời sáng tạo năm 2026 (có đáp án)
Với bộ 15+ Đề thi Giữa kì 2 Toán 6 Chân trời sáng tạo năm 2026 có đáp án theo cấu trúc mới giúp học sinh ôn tập và đạt kết quả cao trong bài thi Giữa kì 2 Toán 6.
- Đề cương ôn tập Giữa Học kì 2 Toán 6 Chân trời sáng tạo
- Đề thi Toán 6 Giữa kì 2 Chân trời sáng tạo năm 2026 tải nhiều nhất (10 đề)
- Đề thi Giữa kì 2 Toán 6 Chân trời sáng tạo năm 2025 có ma trận (10 đề)
- Đề thi Giữa kì 2 Toán 6 có đáp án (10 đề) - Kết nối tri thức
- Đề thi Giữa kì 2 Toán 6 có đáp án (10 đề) - Cánh diều
15+ Đề thi Giữa kì 2 Toán 6 Chân trời sáng tạo năm 2026 (có đáp án)
Chỉ từ 150k mua trọn bộ Đề thi Giữa kì 2 Toán 6 (mỗi bộ sách) theo cấu trúc mới bản word có lời giải chi tiết:
- B1: gửi phí vào tk:
1133836868- CT TNHH DAU TU VA DV GD VIETJACK - Ngân hàng MB (QR) - B2: Nhắn tin tới Zalo VietJack Official - nhấn vào đây để thông báo và nhận đề thi
Đề thi Giữa kì 2 Toán 6 Chân trời sáng tạo (Giáo viên VietJack)
50+ Đề thi Giữa kì 2 Toán 6
Đề thi Giữa kì 2 Toán 6 trường THCS Phước Bửu (TP HCM) năm 2025-2026
Đề thi Giữa kì 2 Toán 6 trường THCS Võ Trường Toản (TP HCM) năm 2025-2026
Đề thi Giữa kì 2 Toán 6 trường THCS Hà Huy Tập (TP HCM) năm 2025-2026
Đề thi Giữa kì 2 Toán 6 trường THCS Đồi Ngô (Bắc Ninh) năm 2025-2026
Đề thi Giữa kì 2 Toán 6 trường THCS Trần Bích San (Ninh Bình) năm 2025-2026
Đề thi Giữa kì 2 Toán 6 trường THCS Động Đạt I (Thái Nguyên) năm 2025-2026
Đề thi Giữa kì 2 Toán 6 trường THCS Quế Thuận (Đà Nẵng) năm 2025-2026
Đề thi Giữa kì 2 Toán 6 trường THCS Nghĩa Tân (Hà Nội) năm 2025-2026
Đề thi Giữa kì 2 Toán 6 trường THCS Trưng Vương (Đà Nẵng) năm 2025-2026
Đề thi Giữa kì 2 Toán 6 trường THCS Bình Thắng (Vĩnh Long) năm 2025-2026
Đề thi Giữa kì 2 Toán 6 trường THCS và THPT M.V. Lômônôxốp (Hà Nội) năm 2025-2026
Đề thi Giữa kì 2 Toán 6 trường THCS Ngọc Lâm (Hà Nội) năm 2024-2025
Đề thi Giữa kì 2 Toán 6 trường THCS Chương Dương (Hà Nội) năm 2024-2025
Đề thi Giữa kì 2 Toán 6 trường THCS Mai Dịch (Hà Nội) năm 2024-2025
Đề thi Giữa kì 2 Toán 6 trường THCS Phúc Đồng (Hà Nội) năm 2024-2025
Đề thi Giữa kì 2 Toán 6 phòng GD&ĐT Bình Thạnh (Tp.HCM) năm 2024-2025
Đề thi Giữa kì 2 Toán 6 phòng GD&ĐT Quận 3 (Tp.HCM) năm 2024-2025
Đề thi Giữa kì 2 Toán 6 trường THCS Bình Trị Đông (Tp.HCM) năm 2023-2024
Đề thi Giữa kì 2 Toán 6 phòng GD&ĐT Bình Thạnh (Tp.HCM) năm 2023-2024
Phòng Giáo dục và Đào tạo ...
Đề thi Giữa kì 2 - Chân trời sáng tạo
Năm học ...
Bài thi môn: Toán 6
Thời gian làm bài: 60 phút
(không kể thời gian phát đề)
(Đề số 1)
I. Trắc nghiệm (3 điểm)
Câu 1: Hình nào sau đây không có trục đối xứng?
|
|
|
|
A |
B |
C |
D |
Câu 2: Phân số nào không bằng phân số 

Câu 3: Khẳng định nào sau đây sai:
A) Hai đường thẳng không có điểm chung thì song song với nhau.
B) Ba điểm thẳng hàng khi ba điểm đó thuộc cùng một đường thẳng.
C) Hai đường thẳng có điểm chung thì chúng cắt nhau.
D) Hai đường thẳng trùng nhau thì chúng có vô số điểm chung.
Câu 4: Cho hình vẽ sau:

Có bao nhiêu hình có tâm đối xứng?
A) 1
B) 2
C) 3
D) 4
Câu 5: Tính chất nào sau đây không phải tính chất của phép cộng
A) Tính giao hoán
B) Tính cộng với số 0
C) Tính kết hợp
D) Tính cộng với số 1
Câu 6: Trong các cách viết dưới đây, cách nào cho ta một phân số:

II. Tự luận
Bài 1 (1,5 điểm): Thực hiện phép tính

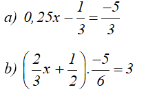
Bài 2 (1,5 điểm): Tìm x

Bài 3 (1,5 điểm): Hai thửa đất hình chữ nhật kề nhau có chung chiều dài
(m), còn chiều rộng lần lượt là
m và
m. Người ta gộp hai thửa ruộng lại cho tiên sản xuất. Tính diện tích thửa ruộng mới.
Bài 4 (1,5 điểm): Trên đường thẳng a lấy 4 điểm M; N; P; Q sao cho N nằm giữa M và P; P nằm giữa N và Q. Hãy chỉ ra các tia gốc N, gốc P
Bài 5 (0, 5 điểm):

Chứng tỏ rằng 
................................
................................
................................
Trên đây tóm tắt một số nội dung miễn phí trong bộ Đề thi Toán 6 mới nhất, để mua tài liệu đầy đủ, Thầy/Cô vui lòng truy cập tailieugiaovien.com.vn
Đề thi Giữa kì 2 Toán 6 theo tỉnh (trên cả nước)
Xem thêm Đề thi Toán 6 Chân trời sáng tạo có đáp án hay khác:
Đề thi Giữa kì 1 Toán 6 Chân trời sáng tạo năm 2026 có đáp án (10 đề)
Đề thi Học kì 1 Toán 6 Chân trời sáng tạo năm 2026 có đáp án (10 đề)
Đề thi Toán 6 Học kì 1 Chân trời sáng tạo năm 2026 tải nhiều nhất (10 đề)
Đề thi Học kì 1 Toán 6 Chân trời sáng tạo năm 2025 có ma trận (10 đề)
Đề thi Toán 6 Giữa kì 2 Chân trời sáng tạo năm 2026 tải nhiều nhất (10 đề)
Đề thi Giữa kì 2 Toán 6 Chân trời sáng tạo năm 2025 có ma trận (10 đề)
Đề thi Học kì 2 Toán 6 Chân trời sáng tạo năm 2026 có đáp án (10 đề)
Đề thi Toán 6 Học kì 2 Chân trời sáng tạo năm 2026 tải nhiều nhất (10 đề)
Đề thi Học kì 2 Toán 6 Chân trời sáng tạo năm 2025 có ma trận (10 đề)
Đã có app VietJack trên điện thoại, giải bài tập SGK, SBT Soạn văn, Văn mẫu, Thi online, Bài giảng....miễn phí. Tải ngay ứng dụng trên Android và iOS.
Theo dõi chúng tôi miễn phí trên mạng xã hội facebook và youtube:Bộ đề thi năm 2025 các lớp các môn học được Giáo viên nhiều năm kinh nghiệm tổng hợp và biên soạn theo Thông tư mới nhất của Bộ Giáo dục và Đào tạo, được chọn lọc từ đề thi của các trường trên cả nước.
Nếu thấy hay, hãy động viên và chia sẻ nhé! Các bình luận không phù hợp với nội quy bình luận trang web sẽ bị cấm bình luận vĩnh viễn.
- Đề thi lớp 1 (các môn học)
- Đề thi lớp 2 (các môn học)
- Đề thi lớp 3 (các môn học)
- Đề thi lớp 4 (các môn học)
- Đề thi lớp 5 (các môn học)
- Đề thi lớp 6 (các môn học)
- Đề thi lớp 7 (các môn học)
- Đề thi lớp 8 (các môn học)
- Đề thi lớp 9 (các môn học)
- Đề thi lớp 10 (các môn học)
- Đề thi lớp 11 (các môn học)
- Đề thi lớp 12 (các môn học)
- Giáo án lớp 1 (các môn học)
- Giáo án lớp 2 (các môn học)
- Giáo án lớp 3 (các môn học)
- Giáo án lớp 4 (các môn học)
- Giáo án lớp 5 (các môn học)
- Giáo án lớp 6 (các môn học)
- Giáo án lớp 7 (các môn học)
- Giáo án lớp 8 (các môn học)
- Giáo án lớp 9 (các môn học)
- Giáo án lớp 10 (các môn học)
- Giáo án lớp 11 (các môn học)
- Giáo án lớp 12 (các môn học)






Giải bài tập SGK & SBT
Tài liệu giáo viên
Sách
Khóa học
Thi online
Hỏi đáp

