[năm 2025] Đề thi Học kì 1 Toán lớp 10 có đáp án (6 đề)
[năm 2025] Đề thi Học kì 1 Toán lớp 10 có đáp án (6 đề)
Tuyển chọn [năm 2025] Đề thi Học kì 1 Toán lớp 10 có đáp án (6 đề) chọn lọc được các Giáo viên nhiều năm kinh nghiệm biên soạn và sưu tầm từ Đề thi Toán 10 của các trường THPT. Hi vọng bộ đề thi này sẽ giúp học sinh ôn tập và đạt kết quả cao trong các bài thi Học kì 1 môn Toán lớp 10.
Sở Giáo dục và Đào tạo .....
Đề thi Học kì 1
năm 2025
Bài thi môn: Toán lớp 10
Thời gian làm bài: 90 phút
(không kể thời gian phát đề)
(Đề số 1)
I. Trắc nghiệm (4 điểm)
Câu 1: Khẳng định nào sai khi nói về hàm số y = - x + 1:
A. Hàm số đồng biến trên ℝ.
B. Đường thẳng có hệ số góc bằng -1.
C. Đồ thị là đường thẳng luôn cắt trục Ox và Oy.
D. Hàm số nghịch biến trên ℝ.
Câu 2: Cho parabol (P): y = ax2 + bx + c. Biết (P) đi qua các điểm A(0; -1), B(1; -1) và C(-1; 1). Khi đó 2a + b + c bằng
A. -1. B. 0. C. 1. D. 2.
Câu 3: Cho tập hợp E = , E được viết theo kiểu liệt kê là
A. E = {0; 2; 3; 9}. B. E = {2; 3}. C. E = {0; 2; 3}. D. E = {-3; 0; 2; 3}.
Câu 4: Tập nghiệm của phương trình:
là
A. {2 + √2; 2 - √2} B. {2 - √2} C. {2 + √2} D. ∅
Câu 5: Cho các vectơ
. Khẳng định nào sau đây là đúng? .
![[năm 2025] Đề thi Học kì 1 Toán lớp 10 có đáp án (6 đề)](../de-thi/images/de-thi-hoc-ki-1-toan-lop-10-co-dap-an-dtvj2021-72527.png)
Câu 6: Cho tam giác ABC có trọng tâm là G(–1; 1). Biết A(6; 1), B(–3; 5) .Tọa độ đỉnh C là
A. C(6; -3). B. C(6; 3). C. C(-6; -3). D. C(-6; 3).
Câu 7: Hàm số nào sau đây là hàm số chẵn
A. y = x2 – x4 + 2 B. y = x2 + 2x - 4 C. y = x3 + 2x D. y = x + 2.
Câu 8: Cho P: y = x2 - 2x - 3. Tìm câu khẳng định đúng.
A. Hàm số đồng biến trên (-∞; 1) và nghịch biến trên (1; +∞).
B. Hàm số đồng biến trên (-∞; -4) và nghịch biến trên (-4; +∞).
C. Hàm số đồng biến trên (-4; +∞) và nghịch biến trên (-∞; -4).
D. Hàm số đồng biến trên (1; +∞) và nghịch biến trên (-∞; 1).
Câu 9: Số nghiệm của phương trình:
là
A. 3. B. 1. C. 2. D. 0 .
Câu 10: Phương trình sau có bao nhiêu nghiệm |x - 2| = 2 - x
A. 2. B. 1. C. 0. D. Vô số.
Câu 11: Đồ thị của hàm số y = x3 - 2x + 1 đi qua điểm nào sau đây:
A. (1; 2). B. (-1; 0). C. (-1; -2). D. (1; 0).
Câu 12: Khẳng định nào đúng khi biết I là trung điểm của đoạn thẳng MN?
![[năm 2025] Đề thi Học kì 1 Toán lớp 10 có đáp án (6 đề)](../de-thi/images/de-thi-hoc-ki-1-toan-lop-10-co-dap-an-dtvj2021-72542.png)
Câu 13: Cho A(2; -3), B(4; 1). Tọa độ điểm M trên đường thẳng x = -3 để A, B, M thẳng hàng là
A. M(3; 13). B. M(3; -13). C. M(-3; -13). D. M(-3; 13).
Câu 14: Trong mặt phẳng tọa độ Oxy cho A(10; 8), B(4; 2). Tọa độ của vec tơ
là
A. (7; 5). B. (14; 10). C. (6; 6). D. (-6; -6).
Câu 15: Cho tập hợp A = . Hãy viết lại tập hợp A dưới kí hiệu khoảng, nửa khoảng, đoạn.
A. A = (-∞; -1). B. A = (-1; +∞). C. A = (1; +∞). D. A = [-1; +∞).
Câu 16: Tập xác định của hàm số
là
![[năm 2025] Đề thi Học kì 1 Toán lớp 10 có đáp án (6 đề)](../de-thi/images/de-thi-hoc-ki-1-toan-lop-10-co-dap-an-dtvj2021-72590.png)
Câu 17: Cho hai điểm A(1; 0) và B(0; -2).Tọa độ điểm D sao cho
là
A. D(-3; 4). B. D(3; 4). C. D(-1; -4). D. D(3; -4).
Câu 18: Hệ phương trình
có nghiệm là
![[năm 2025] Đề thi Học kì 1 Toán lớp 10 có đáp án (6 đề)](../de-thi/images/de-thi-hoc-ki-1-toan-lop-10-co-dap-an-dtvj2021-72612.png)
Câu 19: Cho tập hợp số sau M = (-3; 2]; N = (1; 5]. Tập hợp M ∩ N là
A. (-1; 2). B. (1; 2]. C. (-3; 5]. D. (-3; 1].
Câu 20: Cho A(1; -1), B(4; 1), C(1; 3). Tìm tọa độ điểm D để tứ giác ABDC là hình bình hành
A. D(4; 5). B. D(4; -5). C. D(-4; -5). D. D(-4; 5).
B. Phần tự luận (6.0 điểm)
Bài 1: (2.0 điểm) Lập bảng biến thiên và vẽ đồ thị hàm số y = x2 - 2x - 3.
Bài 2: (1.5 điểm) Giải phương trình sau:
![[năm 2025] Đề thi Học kì 1 Toán lớp 10 có đáp án (6 đề)](../de-thi/images/de-thi-hoc-ki-1-toan-lop-10-co-dap-an-dtvj2021-72627.png)
Bài 3: (2.0 điểm) Trong mp Oxy cho A(1; 3); B(4; -2); C(3; -5).
a) Tìm tọa độ điểm D sao cho
.
b) Tìm tọa độ điểm K sao cho C là trọng tâm của tam giác ABK.
Câu 24: (0.5 điểm) Giải phương trình
----------- HẾT ----------
ĐÁP ÁN
I. TRẮC NGHIỆM:
Câu |
1 |
2 |
3 |
4 |
5 |
6 |
7 |
8 |
9 |
10 |
ĐA |
A |
B |
D |
C |
B |
C |
A |
D |
C |
D |
Câu |
11 |
12 |
13 |
14 |
15 |
16 |
17 |
18 |
19 |
20 |
ĐA |
D |
A |
C |
D |
B |
C |
B |
A |
B |
A |
Giải chi tiết:
Câu 1: Xét hàm số y = - x + 1, có a = - 1 < 0
Do đó hàm số nghịch biến trên ℝ.
Vậy A sai.
Chọn A.
Câu 2:
Vì A ∈ (P) nên thay x = 0 và y = - 1 vào (P), ta được: c = - 1 (1)
Vì B ∈ (P) nên thay x = 1 và y = - 1 vào (P), ta được: a + b + c = - 1 (2)
Vì C ∈ (P) nên thay x = - 1 và y = 1 vào (P), ta được: a – b + c = 1 (3)
Từ (1), (2) và (3) ta có hệ phương trình:
![[năm 2025] Đề thi Học kì 1 Toán lớp 10 có đáp án (6 đề)](../de-thi/images/de-thi-hoc-ki-1-toan-lop-10-co-dap-an-dtvj2021-72669.png)
Khi đó 2a + b + c = 2.1 + (-1) + (-1) = 0.
Chọn B.
Câu 3: Xét:
![[năm 2025] Đề thi Học kì 1 Toán lớp 10 có đáp án (6 đề)](../de-thi/images/de-thi-hoc-ki-1-toan-lop-10-co-dap-an-dtvj2021-72674.png)
Vậy E = {-3; 0; 2; 3}.
Chọn D
Câu 4: Ta có: ![[năm 2025] Đề thi Học kì 1 Toán lớp 10 có đáp án (6 đề)](../de-thi/images/de-thi-hoc-ki-1-toan-lop-10-co-dap-an-dtvj2021-72681.png)
![[năm 2025] Đề thi Học kì 1 Toán lớp 10 có đáp án (6 đề)](../de-thi/images/de-thi-hoc-ki-1-toan-lop-10-co-dap-an-dtvj2021-72683.png)
Điều kiện
.
⇒ 2x -1 = x2 - 2x + 1
⇔ x2 - 2x + 1 - 2x +1 = 0
⇔ x2 - 4x + 2 = 0
⇔ ![[năm 2025] Đề thi Học kì 1 Toán lớp 10 có đáp án (6 đề)](../de-thi/images/de-thi-hoc-ki-1-toan-lop-10-co-dap-an-dtvj2021-72696.png)
Chọn C
Câu 5: Ta có ![[năm 2025] Đề thi Học kì 1 Toán lớp 10 có đáp án (6 đề)](../de-thi/images/de-thi-hoc-ki-1-toan-lop-10-co-dap-an-dtvj2021-72699.png)
Chọn B.
Câu 6: Gọi tọa độ điểm C là C(xC; yC)
Vì G là trọng tâm tam giác nên ![[năm 2025] Đề thi Học kì 1 Toán lớp 10 có đáp án (6 đề)](../de-thi/images/de-thi-hoc-ki-1-toan-lop-10-co-dap-an-dtvj2021-72700.png)
Vậy C(-6; -3).
Chọn C
Câu 7: Đặt f(x) = y = x2 – x4 + 2
Ta có f(-x) = (-x)2 – (-x)4 + 2 = x2 – x4 + 2 = f(x)
Do đó hàm số này là hàm số chẵn.
Chọn A
Câu 8: Xét hàm số (P): y = x2 - 2x - 3
Điểm uốn của đồ thị là x = - 1.
Ta có a = 1 > 0 nên hàm số đồng biến trên (1; +∞) và nghịch biến trên (-∞; 1).
Chọn D
Câu 9: Điều kiện x(x - 1) ≠ 0 ⇔ ![[năm 2025] Đề thi Học kì 1 Toán lớp 10 có đáp án (6 đề)](../de-thi/images/de-thi-hoc-ki-1-toan-lop-10-co-dap-an-dtvj2021-72710.png)
![[năm 2025] Đề thi Học kì 1 Toán lớp 10 có đáp án (6 đề)](../de-thi/images/de-thi-hoc-ki-1-toan-lop-10-co-dap-an-dtvj2021-72713.png)
Vậy phương trình có hai nghiệm là x = 1 và x = ![]()
Chọn C
Câu 10: Điều kiện 2 - x ≥ 0 ⇔ x ≤ 2
Với x ≤ 2 => x - 2 ≤ 0, khi đó ta có:
- (x - 2) = 2- x
⇔ -x + 2 = 2 - x
⇔ -x + x = 2 - 2
⇔ 0x = 0 (luôn đúng)
Vậy phương trình có nghiệm đúng với x ≤ 2
Chọn D
Câu 11: Thay lần lượt tọa độ các điểm vào hàm số đã cho ta thấy chỉ có điểm (1;0) thỏa mãn: 0 = 13 - 2.1 + 1.
Chọn D
Câu 12: Nếu I là trung điểm của đoạn thẳng MN thì .
Chọn A
Câu 13: Gọi tọa độ điểm M(-3; yM)
Ta có: ![[năm 2025] Đề thi Học kì 1 Toán lớp 10 có đáp án (6 đề)](../de-thi/images/de-thi-hoc-ki-1-toan-lop-10-co-dap-an-dtvj2021-72734.png)
Do A, M, B thẳng hàng nên ![[năm 2025] Đề thi Học kì 1 Toán lớp 10 có đáp án (6 đề)](../de-thi/images/de-thi-hoc-ki-1-toan-lop-10-co-dap-an-dtvj2021-72735.png)
⇔ 2(yM + 3) = (-5).4
⇔ 2yM + 6 = -20
⇔ 2yM = -26
⇔ yM = -13
Vậy M(-3; -13)
Chọn C
Câu 14: Trong mặt phẳng tọa độ Oxy cho A(10; 8), B(4; 2). Tọa độ của vec tơ
= ( ) là
Chọn D
Câu 15: Tập hợp A = (-1; +∞).
Chọn B.
Câu 16: Điều kiện 2x + 1 ≥ 0 ⇔ x ≥ ![]()
Tập xác định [
; -∞).
Chọn C.
Câu 17: Gọi tọa độ điểm D(xD;yD).
Ta có: ![[năm 2025] Đề thi Học kì 1 Toán lớp 10 có đáp án (6 đề)](../de-thi/images/de-thi-hoc-ki-1-toan-lop-10-co-dap-an-dtvj2021-72777.png)
Vì ![[năm 2025] Đề thi Học kì 1 Toán lớp 10 có đáp án (6 đề)](../de-thi/images/de-thi-hoc-ki-1-toan-lop-10-co-dap-an-dtvj2021-72782.png)
Chọn B
Câu 18: Nghiệm của hệ phương trình
.
Chọn A.
Câu 19: Ta có: M ∩ N = (1; 2]
Chọn B
Câu 20: Gọi tọa độ điểm D(x;y).
Ta có: ![[năm 2025] Đề thi Học kì 1 Toán lớp 10 có đáp án (6 đề)](../de-thi/images/de-thi-hoc-ki-1-toan-lop-10-co-dap-an-dtvj2021-72789.png)
Vì ABCD là hình bình hành ![[năm 2025] Đề thi Học kì 1 Toán lớp 10 có đáp án (6 đề)](../de-thi/images/de-thi-hoc-ki-1-toan-lop-10-co-dap-an-dtvj2021-72791.png)
=> D(4; 5)
Chọn A
II. PHẦN TỰ LUẬN:
|
Câu 21. (2.0 đ) Lập bảng biến thiên và vẽ đồ thị hàm số y = x2 - 2x -3. Đỉnh I(1; -4) Bảng biến thiên: Bảng giá trị: Đúng Vẽ đồ thị: Đúng |
0,5 đ 0,5 đ 0,5 đ 0,5 đ |
|
Bài 2: a) (1.0 đ) Giải phương trình:
Vậy x = 13 là nghiệm của phương trình đã cho. 2b: (0.5đ) Giải phương trình (1) ĐK: Phương trình (1) ⇔ (4x + 3)(3x + 1) = (x - 2)(12x - 7) ⇔ 44x = 11 ⇔ x = Vậy x = |
0,25 đ 0,25 đ 0,25 đ 0,25 đ 0.25đ 0.25đ |
|
Bài 3: (2.0 đ) Trong mp Oxy cho A(1; 3); B(4; -2); C(3; -5). a) Tìm tọa độ điểm D sao cho Gọi D(xD; yD).
Ta có: Vậy D(-1; -3) . b) Tìm tọa độ điểm K sao cho C là trọng tâm của tam giác ABK. Gọi K(xK; yK). C là trọng tâm của tam giác ABK ⇔
Vậy K(4; -16) |
0,25 đ 0,25 đ 0,25 đ 0,25 đ 0,25 đ 0,25 đ 0,25 đ 0,25 đ |
|
Bài 4: (0.5 đ) Điểu kiện: Phương trình (2) ⇔ ⇔ 2x + 1 = 4 + ⇔ x = ⇔ x2 = 16(x - 3) ⇔ x2 - 16x + 48 = 0 ⇔ Vậy x = 12 và x = 4 là nghiệm của phương trình đã cho. |
0,25 đ 0,25 đ |
![[năm 2025] Đề thi Học kì 1 Toán lớp 10 có đáp án (6 đề)](../de-thi/images/de-thi-hoc-ki-1-toan-lop-10-co-dap-an-dtvj2021-72918.png)
Sở Giáo dục và Đào tạo .....
Đề thi Học kì 1
năm 2025
Bài thi môn: Toán lớp 10
Thời gian làm bài: 90 phút
(không kể thời gian phát đề)
(Đề số 2)
I. PHẦN TRẮC NGHIỆM (3,0 điểm)
Câu 1: Cho tập hợp A = (-∞; 4), B = (1; 4]. Tập hợp A ∩ B là:
A. [1; 4) B. (1; 4) C. (-∞; 4) D. (1; 4]
Câu 2: Cho tập hợp A = (-3; 4), B = [1; 7]. Tập hợp là: A ∪ B
A. (-3; 7] B. (-3; 7) C. (1; 4] D. [1; 4)
Câu 3: Cho tập hợp A = [-2; 10), B = [1; 15]. Tập hợp B \ A là:
A. (10; 15] B. [10; 15] C. (10; 15) D. [10; 15)
Câu 4: Cho tập hợp B = {x ∈ ℝ / 9 - x2 = 0}, khẳng định nào sau đây là đúng?
A. Tập hợp B = {3; 9} B. Tập hợp B = {-3; -9}
C. Tập hợp B = {-9; 9} D. Tập hợp B = {-3; 3}
Câu 5: Cho tập A = {1, 3, 5, 9, 12} và B = {3, 4, 10, 12}. Chọn khẳng định đúng ?
A. A ∪ B = {1, 2, 3, 4, 5, 10, 12} B. A ∪ B = {3, 12}
C. A ∩ B = {3} D. A \ B = {1, 5, 9}
Câu 6: Tập xác định của hàm số
là:
A. [-4; +∞) B. (-4; +∞) C. (-∞; -4) D. (-∞; -4]
Câu 7: Tìm m để đồ thị hàm số y = mx + 2 đi qua điểm A(-2; 1)
A. m = -4 B. m = 2 C. m =
D. m = -
Câu 8: Parabol y = x2 - 4x + 4 có đỉnh là:
A. I(1;1) B. I(2; 0) C. I(-1;1) D. I(-1;2)
Câu 9: Nghiệm của hệ phương trình:
là:
A. (15; 21; 1) B. (15; 21; -1) C. (21; 15; -1) D. (15; -21; -1)
Câu 10: Tập nghiệm của phương trình: x2 - 1 =
là:
![[năm 2025] Đề thi Học kì 1 Toán lớp 10 có đáp án (6 đề)](../de-thi/images/de-thi-hoc-ki-1-toan-lop-10-co-dap-an-dtvj2021-72947.png)
Câu 11: Tập nghiệm của phương trình
là :
![[năm 2025] Đề thi Học kì 1 Toán lớp 10 có đáp án (6 đề)](../de-thi/images/de-thi-hoc-ki-1-toan-lop-10-co-dap-an-dtvj2021-72950.png)
Câu 12. Cho 4 điểm bất kỳ A, B, C, O. Đẳng thức nào sau đây là đúng:
![[năm 2025] Đề thi Học kì 1 Toán lớp 10 có đáp án (6 đề)](../de-thi/images/de-thi-hoc-ki-1-toan-lop-10-co-dap-an-dtvj2021-73137.png)
Câu 13. Trên mặt phẳng tọa độ Oxy cho
tích vô hướng của hai véc tơ
bằng:
![[năm 2025] Đề thi Học kì 1 Toán lớp 10 có đáp án (6 đề)](../de-thi/images/de-thi-hoc-ki-1-toan-lop-10-co-dap-an-dtvj2021-73140.png)
Câu 14. Cho tam giác ABC với A( -3 ; 6) ; B ( 9 ; -10) và G(
; 0) là trọng tâm. Tọa độ của điểm C là:
A. ( 5 ; -4) B. ( 5 ; 4) C. ( -5 ; 4) D. ( -5 ; -4)
Câu 15: Cho ΔABC đều có cạnh bằng 1. Tích vô hướng
bằng:
![[năm 2025] Đề thi Học kì 1 Toán lớp 10 có đáp án (6 đề)](../de-thi/images/de-thi-hoc-ki-1-toan-lop-10-co-dap-an-dtvj2021-73143.png)
II. PHẦN TỰ LUẬN (6,25 điểm)
Câu 1 (2,0 điểm). Xác định Parabol y = ax2 + bx + c biết parabol có đỉnh I(1; -1) và đi qua điểm ( 2;-3).
Câu 2 (1,5 điểm). Giải phương trình:
Câu 3 (2,5 điểm). Trong mặt phẳng tọa độ Oxy, cho tam giác ABC biết tọa độ các đỉnh là: A(-1; 2), B(3; 2), C(3; -4)
a) Tìm tọa độ trọng tâm và tính chu vi của tam giác .
b) Tìm tọa độ tâm và bán kính đường tròn ngoại tiếp tam giác
c) Tìm điểm M ∈ trục Oy sao cho
nhỏ nhất
Câu 4 (1,0 điểm). Tìm m để phương trình có 2 nghiệm phân biệt.
----------------------------------Hết-------------------------------
HƯỚNG DẪN CHẤM ĐIỂM
I. Trắc nghiệm ( 3,0 điểm): Mỗi câu đúng: 0,2 điểm
1 |
2 |
3 |
4 |
5 |
6 |
7 |
8 |
9 |
10 |
11 |
12 |
13 |
14 |
15 |
B |
A |
B |
D |
D |
B |
C |
B |
B |
B |
C |
A |
A |
C |
A |
Giải chi tiết
Câu 1: Cho tập hợp A = (-∞; 4), B = (1; 4]
Suy ra A ∩ B = (1; 4).
Chọn B
Câu 2: Cho tập hợp A = (-3; 4), B = [1; 7]. Tập hợp A ∪ B = [-3; 7)
Chọn A
Câu 3: Cho tập hợp A = [-2; 10), B = [1; 15]. Tập hợp B\A = [10; 15]
Chọn B
Câu 4: Ta xét: 9 - x2 = 0 ⇔ ![[năm 2025] Đề thi Học kì 1 Toán lớp 10 có đáp án (6 đề)](../de-thi/images/de-thi-hoc-ki-1-toan-lop-10-co-dap-an-dtvj2021-73148.png)
Theo cách liệt kê, ta có: B = {-3; 3}.
Chọn D
Câu 5: Cho tập A = {1, 3, 5, 9, 12} và B = {3, 4, 10, 12}.
Ta có: A ∪ B = {1; 3; 4; 5; 9; 10; 12} . Do đó A và B sai.
Ta có: A ∩ B = {3; 12}. Do đó C sai.
Ta có: A\B = {1; 5; 9}. Do đó D đúng.
Chọn D.
Câu 6: Điều kiện xác định x + 4 > 0 ⇔ x > -4
Tập xác định của hàm số
là: (-4; +∞).
Chọn B.
Câu 7: Thay x = - 2 và y = 1 vào hàm số ta được: 1 = m.(-2) + 2
⇔ x = ![[năm 2025] Đề thi Học kì 1 Toán lớp 10 có đáp án (6 đề)](../de-thi/images/de-thi-hoc-ki-1-toan-lop-10-co-dap-an-dtvj2021-73151.png)
Chọn C.
Câu 8: Đỉnh của Parabol y = x2 - 4x + 4 là: I(2; 0)
Chọn B
Câu 9: Nghiệm của hệ phương trình:
là: x = 15, y = 21 và z = - 1.
Chọn B
Câu 10: Điều kiện xác định: x2 - 1 ≥ 0 ⇔ ![[năm 2025] Đề thi Học kì 1 Toán lớp 10 có đáp án (6 đề)](../de-thi/images/de-thi-hoc-ki-1-toan-lop-10-co-dap-an-dtvj2021-73154.png)
Ta có: x2 - 1 = ![[năm 2025] Đề thi Học kì 1 Toán lớp 10 có đáp án (6 đề)](../de-thi/images/de-thi-hoc-ki-1-toan-lop-10-co-dap-an-dtvj2021-73155.png)
⇔ (x + 1)(x - 1) = ![[năm 2025] Đề thi Học kì 1 Toán lớp 10 có đáp án (6 đề)](../de-thi/images/de-thi-hoc-ki-1-toan-lop-10-co-dap-an-dtvj2021-73156.png)
⇔ (x + 1)2(x - 1)2 = x + 1
⇔ (x + 1)[(x + 1)(x - 1)2 - 1] = 0
⇔ (x + 1)[x3- 2x2 + x + x2- 2x + 1 - 1] = 0
⇔ (x + 1)(x3 - x2 - x) = 0
⇔ (x + 1)x(x2 - x - 1) = 0
![[năm 2025] Đề thi Học kì 1 Toán lớp 10 có đáp án (6 đề)](../de-thi/images/de-thi-hoc-ki-1-toan-lop-10-co-dap-an-dtvj2021-73158.png)
Vậy tập nghiệm của phương trình là
.
Chọn B
Câu 11: Điều kiện x - 1 ≠ 0 ⇔ x ≠ 1
![[năm 2025] Đề thi Học kì 1 Toán lớp 10 có đáp án (6 đề)](../de-thi/images/de-thi-hoc-ki-1-toan-lop-10-co-dap-an-dtvj2021-73161.png)
Vậy nghiệm của phương trình x = ![[năm 2025] Đề thi Học kì 1 Toán lớp 10 có đáp án (6 đề)](../de-thi/images/de-thi-hoc-ki-1-toan-lop-10-co-dap-an-dtvj2021-73162.png)
Câu 12. Cho 4 điểm bất kỳ A, B, C, O. Đẳng thức nào sau đây là đúng:
![[năm 2025] Đề thi Học kì 1 Toán lớp 10 có đáp án (6 đề)](../de-thi/images/de-thi-hoc-ki-1-toan-lop-10-co-dap-an-dtvj2021-73163.png)
Câu 13. Ta có: ![[năm 2025] Đề thi Học kì 1 Toán lớp 10 có đáp án (6 đề)](../de-thi/images/de-thi-hoc-ki-1-toan-lop-10-co-dap-an-dtvj2021-73164.png)
Tích vô hướng của hai véc tơ ![[năm 2025] Đề thi Học kì 1 Toán lớp 10 có đáp án (6 đề)](../de-thi/images/de-thi-hoc-ki-1-toan-lop-10-co-dap-an-dtvj2021-73165.png)
Chọn A.
Câu 14. Gọi tọa độ điểm C(xC;yC).
Do G là trọn tâm tam giác ABC nên ta có:
![[năm 2025] Đề thi Học kì 1 Toán lớp 10 có đáp án (6 đề)](../de-thi/images/de-thi-hoc-ki-1-toan-lop-10-co-dap-an-dtvj2021-73166.png)
Vậy C(-5;4)
Chọn C
Câu 15: Xét ΔABC đều có cạnh bằng 1.
Tích vô hướng: ![[năm 2025] Đề thi Học kì 1 Toán lớp 10 có đáp án (6 đề)](../de-thi/images/de-thi-hoc-ki-1-toan-lop-10-co-dap-an-dtvj2021-73167.png)
II. Tự luận (7 điểm)
Câu |
Nội dung |
Điểm |
|
1 (2đ) |
(P) có đỉnh I(-1; 1) nên ta có: |
0,5đ 0.5đ |
(P) đi qua điểm ( 2;-3) nên ta có: 4a + 2b + c = -3 |
0,25đ |
|
|
Khi đó, ta có hệ phương trình:
Vậy (P): y = -2x2 + 4x – 3 . |
0,5đ 0,25đ |
|
|
2 (2đ) |
PT ⇔ |
0,25đ |
|
0,25đ 0,25đ |
|
|
0,25đ |
|
⇔ x = 2016 (TM) |
0,25đ |
|
Vậy phương trình đã cho có nghiệm là x = 2016. |
0,25đ |
|
|
3 (2,5đ) |
a) Tọa độ trọng tâm tam giác ABC là: |
0,25đ |
|
0,5đ |
|
Chu vi của tam giác ABC là: 4 + 2√13 + 6 = 10 + 2√13 |
0,25đ |
|
|
b)
=> Tam giác ABC vuông tại B => Tâm đường tròn ngoại tiếp là trung điểm của AC là I(1;-1) Bán kính R = |
0,25đ 0,25đ 0,25đ 0,25đ |
|
|
c)
|
0,25 0,25 |
|
|
4 (1đ) |
(1) ⇔ 3x2 - (m - 5)x - 1 = 0 |
0,25đ |
|
PT đã cho có hai nghiệm phân biệt khi (1) có hai nghiệm phân biệt thỏa mãn
|
0,25đ |
|
|
0,25đ |
|
Vậy m ≥ |
0,25đ |
Sở Giáo dục và Đào tạo .....
Đề thi Học kì 1
năm 2025
Bài thi môn: Toán lớp 10
Thời gian làm bài: 90 phút
(không kể thời gian phát đề)
(Đề số 3)
A. PHẦN TRẮC NGHIỆM: (4 điểm)
Câu 1: Phương trình
có bao nhiêu nghiệm?
A. 2. B. 0 C. 1. D. 3.
Câu 2: Cho tập hợp A = {3; 4; 7; 8}, B = {4; 5; 6; 7}. Xác định tập hợp A\B.
A. {4; 7}. B. {5; 6}. C. {3; 8}. D. {3; 4; 5; 6; 7; 8}.
Câu 3: Đồ thị hàm số y = ax + b đi qua điểm M(1; 4), N(2; 7). Giá trị a + b là:
A. 4. B. 6. C. 5. D. 3.
Câu 4: Tập nghiệm của phương trình
.
A. S = ∅. B. S = {-2}. C. S = {10}. D. S = {-2; 10}.
Câu 5: Cho ∆ABC có trọng tâm G, I là trung điểm của đoạn thẳng BC. Đẳng thức nào sau đây SAI ?
![[năm 2025] Đề thi Học kì 1 Toán lớp 10 có đáp án (6 đề)](../de-thi/images/de-thi-hoc-ki-1-toan-lop-10-co-dap-an-dtvj2021-73198.png)
Câu 6: Tìm nghiệm của hệ phương trình
.
A. (2; 2). B. (-3; -2). C. (2; 3). D. (3; 2)
Câu 7: Cho hình chữ nhật ABCD có , khi đó
bằng:
A. 4. B. 10. C. 58. D. √58.
Câu 8: Cho lục giác đều ABCDEF với O là tâm của lục giác đều. Số các vectơ bằng
có điểm đầu và điểm cuối là đỉnh của lục giác:
A. 2. B. 8. C. 6. D. 3.
Câu 9: Trong mặt phẳng Oxy, cho A(1; 3), B(2; -5). Tìm tọa độ của vectơ
.
![[năm 2025] Đề thi Học kì 1 Toán lớp 10 có đáp án (6 đề)](../de-thi/images/de-thi-hoc-ki-1-toan-lop-10-co-dap-an-dtvj2021-73204.png)
Câu 10: Cho hàm số y = -x2 + 2x + 3 có đồ thị (P). Chọn khẳng định SAI ?.
A. Đồ thị nhận đường thẳng x = -1 làm trục đối xứng.
B. Hàm số đồng biến trên (-∞; 1) và nghịch biến trên (1; +∞).
C. Parabol (P) luôn đi qua điểm A(0; 3)
D. Parabol (P) có tọa độ đỉnh I(1; 4).
Câu 11: Cho tập hợp A = (2; 5), B = [-4; 3). Xác định tập hợp A ∪ B.
A. [-4; 5). B. (3; 5). C. [-4; 2). D. (2; 3).
Câu 12: Tìm tọa độ đỉnh parabol y = -x2 + 6x - 5.
A. I(0; -5). B. I(3; 4). C. I(1; 0). D. I(1; 5).
Câu 13: Trong mặt phẳng tọa độ Oxy cho hai vectơ
Tìm tọa độ của vectơ ![[năm 2025] Đề thi Học kì 1 Toán lớp 10 có đáp án (6 đề)](../de-thi/images/de-thi-hoc-ki-1-toan-lop-10-co-dap-an-dtvj2021-73210.png)
![[năm 2025] Đề thi Học kì 1 Toán lớp 10 có đáp án (6 đề)](../de-thi/images/de-thi-hoc-ki-1-toan-lop-10-co-dap-an-dtvj2021-73213.png)
Câu 14: Cho 3 điểm phân biệt A, B, C. Đẳng thức nào sau đây là đúng ?
![[năm 2025] Đề thi Học kì 1 Toán lớp 10 có đáp án (6 đề)](../de-thi/images/de-thi-hoc-ki-1-toan-lop-10-co-dap-an-dtvj2021-73215.png)
Câu 15: Trong mặt phẳng Oxy, cho A(-2; 4), B(1; 5). Tìm tọa độ điểm E sao cho ![[năm 2025] Đề thi Học kì 1 Toán lớp 10 có đáp án (6 đề)](../de-thi/images/de-thi-hoc-ki-1-toan-lop-10-co-dap-an-dtvj2021-73219.png)
A. E(8; 6) B. E(4; 6) C. E(4; -2) D. E(8; -2)
Câu 16: Cho parabol (P): y = ax2 + bx + c có đồ thị như hình bên. Phương trình của parabol này có
![[năm 2025] Đề thi Học kì 1 Toán lớp 10 có đáp án (6 đề)](../de-thi/images/de-thi-hoc-ki-1-toan-lop-10-co-dap-an-dtvj2021-73223.png)
A. a < 0, b > 0, c > 0.
B. a < 0, b < 0, c > 0.
C. a < 0, b < 0, c < 0.
D. a > 0, b > 0, c > 0.
Câu 17: Với giá trị nào của m thì phương trình x2 - (2m + 1)x + m2 + 3 = 0 có hai nghiệm phân biệt?
![[năm 2025] Đề thi Học kì 1 Toán lớp 10 có đáp án (6 đề)](../de-thi/images/de-thi-hoc-ki-1-toan-lop-10-co-dap-an-dtvj2021-73235.png)
Câu 18: Trong mặt phẳng Oxy, cho A(-2; 4), B(1; 3), C(-5; 2). Tìm tọa độ trọng tâm G của ΔABC.
A. G(-6; 9). B. G(-3;
). C. G(-3; 2) . D. G(-2; 3) .
Câu 19: Cho tập hợp E = {x ∈ ℤ |(x - 5)(x2 - 4x + 3) = 0}. Viết tập hợp bằng cách liệt kê phần tử.
A. E = {-5; 1; 3}. B. E = {1; 3; 5}. C. E = {-3; -1; 5}. D. E = {-5; -3; -1}.
Câu 20: Tìm tập xác định của hàm số
.
A. (2; 3). B. D = ℝ\{2; 3}. C. D = {2; 3}. D. D = ℝ\{2018}
B. PHẦN TỰ LUẬN: (6 điểm)
Bài 1. (2.0 điểm) Lập bảng biến thiên và vẽ đồ thị hàm số y = x2 + 2x - 3
Bài 2. (1.0 điểm) Giải phương trình ![[năm 2025] Đề thi Học kì 1 Toán lớp 10 có đáp án (6 đề)](../de-thi/images/de-thi-hoc-ki-1-toan-lop-10-co-dap-an-dtvj2021-73368.png)
Bài 3. (2.0 điểm) Trong mặt phẳng Oxy, cho ba điểm A(2; 4), B(-3; 2), C(5; 1).
a) Tìm tọa độ điểm D sao cho ABCD là hình bình hành.
b) Tìm tọa độ điểm K thỏa mãn
.
Bài 4. (1.0 điểm) Xác định m để phương trình x(x + 4) + m + 5 = 0 có hai nghiệm cùng dấu.
----------- HẾT ----------
ĐÁP ÁN
PHẦN TRẮC NGHIỆM: (4 điểm) Mỗi câu đúng 0.2 điểm
Câu |
1 |
2 |
3 |
4 |
5 |
6 |
7 |
8 |
9 |
10 |
ĐA |
C |
C |
A |
C |
D |
D |
D |
A |
B |
A |
Câu |
11 |
12 |
13 |
14 |
15 |
16 |
17 |
18 |
19 |
20 |
ĐA |
A |
B |
C |
D |
B |
A |
D |
D |
B |
B |
Giải chi tiết
Câu 1: Điều kiện: x - 1 ≠ 0 ⇔ x ≠ 1
Xét phương trình: ![[năm 2025] Đề thi Học kì 1 Toán lớp 10 có đáp án (6 đề)](../de-thi/images/de-thi-hoc-ki-1-toan-lop-10-co-dap-an-dtvj2021-73370.png)
![[năm 2025] Đề thi Học kì 1 Toán lớp 10 có đáp án (6 đề)](../de-thi/images/de-thi-hoc-ki-1-toan-lop-10-co-dap-an-dtvj2021-73371.png)
Vậy phương trình có 1 nghiệm.
Chọn C
Câu 2: Tập hợp A = {3; 4; 7; 8}, B = {4; 5; 6; 7}.
Tập hợp A\B = {3,8}
Chọn C
Câu 3: Thay x = 1 và y = 4 vào hàm số Y = ax + b, ta được: a + b = 4 (1)
Thay x = 2 và y = 7 vào hàm số y = ax + b, ta được: 2a + b = 7 (2)
Từ (1) và (2), ta có hệ phương trình:
.
Chọn A
Câu 4: Xét phương trình ![[năm 2025] Đề thi Học kì 1 Toán lớp 10 có đáp án (6 đề)](../de-thi/images/de-thi-hoc-ki-1-toan-lop-10-co-dap-an-dtvj2021-73374.png)
![[năm 2025] Đề thi Học kì 1 Toán lớp 10 có đáp án (6 đề)](../de-thi/images/de-thi-hoc-ki-1-toan-lop-10-co-dap-an-dtvj2021-73375.png)
Vậy tập nghiệm của phương trình đã cho là S = {10}.
Chọn C
Câu 5: Cho ∆ABC có trọng tâm G, I là trung điểm của đoạn thẳng BC. Đẳng thức sai là: ![[năm 2025] Đề thi Học kì 1 Toán lớp 10 có đáp án (6 đề)](../de-thi/images/de-thi-hoc-ki-1-toan-lop-10-co-dap-an-dtvj2021-73376.png)
Chọn D
Câu 6: Hệ phương trình
.
Vậy nghiệm của hệ phương trình là (2;3)
Câu 7: Ta có: ![[năm 2025] Đề thi Học kì 1 Toán lớp 10 có đáp án (6 đề)](../de-thi/images/de-thi-hoc-ki-1-toan-lop-10-co-dap-an-dtvj2021-73378.png)
Xét vuông tại A, ta có:
BD2 = AD2 + AB2 = 72 + 32 = 58 (định lý Py – ta – go)
=> BD = √58
Vậy
.
Chọn D
Câu 8: Các vectơ bằng
và có điểm đầu và điểm cuối là đỉnh của lục giác là: ![[năm 2025] Đề thi Học kì 1 Toán lớp 10 có đáp án (6 đề)](../de-thi/images/de-thi-hoc-ki-1-toan-lop-10-co-dap-an-dtvj2021-73382.png)
Vậy có hai vectơ thỏa mãn điều kiện.
Chọn A
Câu 9: Ta có A(1; 3), B(2; -5) Suy ra vectơ
.
Chọn B
Câu 10: Cho hàm số y = -x + 2x + 3 có đồ thị (P). Chọn khẳng định SAI ?.
Đồ thị nhận đường thẳng
làm trục đối xứng. Do đó A sai.
Chọn A
Câu 11: Cho tập hợp A = (2; 5), B = [-4; 3).
Suy ra tập hợp A ∪ B = [-4; 5).
Chọn A
Câu 12: Tọa độ đỉnh parabol y = -x2 + 6x - 5 là
=> y = -32 + 6.3 - 5 = 4 => I(3; 4)
Câu 13: Ta có:
Chọn C
Câu 14: Khẳng định đúng là: ![[năm 2025] Đề thi Học kì 1 Toán lớp 10 có đáp án (6 đề)](../de-thi/images/de-thi-hoc-ki-1-toan-lop-10-co-dap-an-dtvj2021-73417.png)
Chọn D
Câu 15: Trong mặt phẳng Oxy, cho A(-2; 4), B(1; 5) .Tìm tọa độ điểm E sao cho ![[năm 2025] Đề thi Học kì 1 Toán lớp 10 có đáp án (6 đề)](../de-thi/images/de-thi-hoc-ki-1-toan-lop-10-co-dap-an-dtvj2021-73423.png)
Gọi tọa độ điểm E(xE,yE), khi đó ta có:
![[năm 2025] Đề thi Học kì 1 Toán lớp 10 có đáp án (6 đề)](../de-thi/images/de-thi-hoc-ki-1-toan-lop-10-co-dap-an-dtvj2021-73426.png)
Vì ![[năm 2025] Đề thi Học kì 1 Toán lớp 10 có đáp án (6 đề)](../de-thi/images/de-thi-hoc-ki-1-toan-lop-10-co-dap-an-dtvj2021-73429.png)
Chọn B
Câu 16:
![[năm 2025] Đề thi Học kì 1 Toán lớp 10 có đáp án (6 đề)](../de-thi/images/de-thi-hoc-ki-1-toan-lop-10-co-dap-an-dtvj2021-73223.png)
Do đồ thi parabol úp ngược xuống nên a < 0.
Ta điểm đỉnh của parabol là ![[năm 2025] Đề thi Học kì 1 Toán lớp 10 có đáp án (6 đề)](../de-thi/images/de-thi-hoc-ki-1-toan-lop-10-co-dap-an-dtvj2021-73433.png)
Do a < 0 nên b > 0 .
Thay x = 0 vào (P) ta được y = c = 6 > 0.
Vậy a < 0, b > 0, c > 0.
Chọn A
Câu 17: Để phương trình x2 - (2m + 1)x + m2 + 3 = 0 có hai nghiệm phân biệt thì
Δ > 0 ⇔ (2m + 1)2 - 4(m2 + 3) > 0
⇔ 4m2 + 4m + 1 - 4m2 - 12 > 0
⇔ 4m - 11 > 0
⇔ m > ![[năm 2025] Đề thi Học kì 1 Toán lớp 10 có đáp án (6 đề)](../de-thi/images/de-thi-hoc-ki-1-toan-lop-10-co-dap-an-dtvj2021-73443.png)
Chọn D.
Câu 18: Gọi tọa độ điểm G(xG;yG).
Vì G là trọng tâm ΔABC nên ta có:
![[năm 2025] Đề thi Học kì 1 Toán lớp 10 có đáp án (6 đề)](../de-thi/images/de-thi-hoc-ki-1-toan-lop-10-co-dap-an-dtvj2021-73444.png)
Chọn D
Câu 19: Xét: (x - 5)(x2 - 4x + 3) = 0
![[năm 2025] Đề thi Học kì 1 Toán lớp 10 có đáp án (6 đề)](../de-thi/images/de-thi-hoc-ki-1-toan-lop-10-co-dap-an-dtvj2021-73445.png)
Bằng cách liệt kê, ta được: E = {5; 1; 3}
Chọn B
Câu 20: Điều kiện xác định: x2 - 5x + 6 ≠ 0 ⇔
.
Tập xác định: D = ℝ\{2; 3}
Chọn B
PHẦN TỰ LUẬN: (6 điểm)
Bài |
Nội dung |
Điểm |
|
Bài 1 (2,0 điểm) |
Lập bảng biến thiên và vẽ đồ thị hàm số y = x2 + 2x - 3 |
|
|
Đỉnh I(-1; -4); Trục đối xứng: x = -1 |
0,25 0.25 |
|
|
Bảng biến thiên: |
0,5 |
|
|
Ta có bảng sau:
Đồ thị hàm số là đường cong đi đi qua các điểm A(-3;0), B(-2;-3), C(-1;-4), D(0;-3) và E(1;0). |
0,5 |
|
|
Đồ thị: vẽ đúng
|
0.5 |
|
|
Bài 2 (1,0 điểm) |
Giải phương trình |
|
|
0,25 |
|
|
0,25 |
|
|
0,25 |
|
⇔ x = 4. Vậy phương trình có nghiệm x = 4. |
0,25 |
|
|
Bài 3 (2,0 điểm) |
Trong mp Oxy, cho ba điểm A(2; 4), B(-3; 2), C(5; 1) |
|
|
a) Tìm tọa độ điểm D sao cho ABCD là hình bình hành. Gọi D(x; y); |
|
|
ABCD là hình bình hành ⇔ |
0,25 |
|
|
Từ (*), ta có: |
0,25 0,25 |
|
|
0,25 |
|
|
b) Tìm tọa độ điểm K thỏa mãn Gọi K(x; y). Ta có: |
0,25 |
|
|
0,25 |
|
Theo đề bài, ta có: |
0,25 |
|
|
Vậy M(3; -4). |
0,25 |
|
|
Bài 4 (1,0 điểm) |
Xác định m để phương trình x(x + 4) + m + 5 = 0 có hai nghiệm cùng dấu. |
|
|
x(x + 4) + m + 5 = 0 ⇔ x2 + 4x + m + 5 = 0 (*) Tính được Δ' = -m - 1 (hoặc Δ) Phương trình (*) có hai nghiệm cùng dấu ⇔ |
0,25 0,25 |
|
|
0,25 |
|
|
⇔ -5 < m ≤ -1 Vậy -5 < m ≤ -1 thỏa yêu cầu bài toán. |
0,25 |
|
![[năm 2025] Đề thi Học kì 1 Toán lớp 10 có đáp án (6 đề)](../de-thi/images/de-thi-hoc-ki-1-toan-lop-10-co-dap-an-dtvj2021-73635.png)
Sở Giáo dục và Đào tạo .....
Đề thi Học kì 1
năm 2025
Bài thi môn: Toán lớp 10
Thời gian làm bài: 90 phút
(không kể thời gian phát đề)
(Đề số 4)
I. PHẦN TRẮC NGHIỆM ( 3 điểm)
( Cán bộ coi thi phát đề trắc nghiệm sau khi tính giờ làm bài 60 phút)
Học sinh điền đáp án đúng vào bảng sau:
Câu |
1 |
2 |
3 |
4 |
5 |
6 |
7 |
8 |
9 |
10 |
11 |
12 |
13 |
14 |
15 |
Đáp án |
Câu 1. Cho tập hợp A = {0; 1; 2; 3; 4}. Chọn khẳng định sai.
A. ∅ ⊂ A B. {1; 2; 4} ⊂ A C. {-1; 0; 1} ⊂ A D. 0 ∈ A
Câu 2. Cho mệnh đề P(x) '' ∀x ∈ R, x2 + x + 1 > 0 ''. Mệnh đề phủ định của mệnh đề P(x) là:
A. '' ∃x ∈ R, x2 + x + 1 ≤ 0 '' B. '' ∄x ∈ R, x2 + x + 1 > 0 ''
C. '' ∀x ∈ R, x2 + x + 1 ≤ 0 '' D. '' ∀x ∈ R, x2 + x + 1 < 0 ''
Câu 3. Cho tập hợp
. Khi đó tập hợp CRA là:
![[năm 2025] Đề thi Học kì 1 Toán lớp 10 có đáp án (6 đề)](../de-thi/images/de-thi-hoc-ki-1-toan-lop-10-co-dap-an-dtvj2021-73505.png)
Câu 4. Tập xác định của hàm số y =
là:
A. R B. (-∞; 1) C. R\ D. ∅
Câu 5. Số nghiệm của phương trình (x2 - 16)
là:
A. 1 nghiệm. B. 3 nghiệm. C. 0 nghiệm. D. 2 nghiệm.
Câu 6. Cho hàm số y = f(x) = 3x4 - x2 + 2. Trong các mệnh đề sau, mệnh đề nào đúng?
A. y = f(x) là hàm số không chẵn và không lẻ
B. y = f(x) là hàm số chẵn trên R
C. y = f(x) là hàm số lẻ trên R
D. y = f(x) là hàm số vừa chẵn vừa lẻ trên R
Câu 7. Hàm số y = |2x + 10| là hàm số nào sau đây:
![[năm 2025] Đề thi Học kì 1 Toán lớp 10 có đáp án (6 đề)](../de-thi/images/de-thi-hoc-ki-1-toan-lop-10-co-dap-an-dtvj2021-73512.png)
Câu 8. Cho hàm số y = -3x2 - 4x + 3 có đồ thị (P). Trục đối xứng của (P) là đường thẳng có phương trình:
![[năm 2025] Đề thi Học kì 1 Toán lớp 10 có đáp án (6 đề)](../de-thi/images/de-thi-hoc-ki-1-toan-lop-10-co-dap-an-dtvj2021-73513.png)
Câu 9. Cho hàm số y = x2 - 4x + 3, khẳng định nào sau đây đúng?
A. Hàm số đồng biến trên khoảng (-∞; 2) và nghịch biến trên khoảng (2; +∞)
B. Hàm số nghịch biến trên khoảng (-∞; -1) và đồng biến trên khoảng (-1; +∞)
C. Hàm số nghịch biến trên khoảng (-∞; -2) và đồng biến trên khoảng (-8; +∞)
D. Hàm số nghịch biến trên khoảng (-∞; 2) và đồng biến trên khoảng (2; +∞)
Câu 10. Trong hệ trục
, tọa độ của vectơ
là:
A. (-1; 1) B. (0; 1). C. (1; 0) D. (1; 1)
Câu 11. Cho ABCD là hình bình hành có A(1;3), B(-2;0), C(2;-1). Toạ độ điểm D là:
A. (5;2) B. (4;-17) C. (4;-1) D. (2;2)
Câu 12. Trong mặt phẳng tọa độ Oxy, cho A(5; 2), B(10; 8). Tọa độ của vectơ
là:
A. (2; 4) B. (5; 6) C. (5; 10) D. (-5; -6)
Câu 13. Trong mp Oxy, cho
. Toạ độ vectơ
là:
A. (0; -1) B. (-1; 0) C. (1; 0) D. (0; 1)
Câu 14. Trong mp Oxy cho tam giác ABC có A(2;-3),B(4;1), trọng tâm G(-4;2). Khi đó tọa độ điểm C là:
A.
B. (-18;8) C. (-6;4) D. (-10;10)
Câu 15. Trong mặt phẳng tọa độ Oxy , cho A(1; 0), B(0; 3), C(-3; -5). Tọa độ của điểm M thuộc trục Ox sao cho
nhỏ nhất là :
A. M( 4;5) B. M( 0; 4) C. M( -4; 0) D. M( 2; 3)
II. PHẦN TỰ LUẬN (7 điểm)
Câu 1. (2 điểm)
a) Lập bảng biến thiên và vẽ đồ thị hàm số y = -x2 - 2x + 3
b) Tìm m để phương trình: x2 – 2mx + m2 - 2m + 1 = 0 có hai nghiệm x1, x2 sao cho biểu thức T = x1x2 + 4(x1 + x2) nhỏ nhất.
Câu 2. (3 điểm) Giải các phương trình sau:
a) |2x - 1| = 3x - 4
b) ![[năm 2025] Đề thi Học kì 1 Toán lớp 10 có đáp án (6 đề)](../de-thi/images/de-thi-hoc-ki-1-toan-lop-10-co-dap-an-dtvj2021-73535.png)
c) ![[năm 2025] Đề thi Học kì 1 Toán lớp 10 có đáp án (6 đề)](../de-thi/images/de-thi-hoc-ki-1-toan-lop-10-co-dap-an-dtvj2021-73536.png)
Câu3. (2 điểm)
a) Cho tứ giác ABCD. Chứng minh rằng: ![[năm 2025] Đề thi Học kì 1 Toán lớp 10 có đáp án (6 đề)](../de-thi/images/de-thi-hoc-ki-1-toan-lop-10-co-dap-an-dtvj2021-73539.png)
b) Cho ΔABC có trọng tâm G. Gọi M, N là các điểm xác định bởi
. Chứng minh rằng: M, N, G thẳng hàng.
----------- HẾT ----------
ĐÁP ÁN
PHẦN TRẮC NGHIỆM: (3 điểm) Mỗi câu đúng 0.2 điểm
Câu |
1 |
2 |
3 |
4 |
5 |
6 |
7 |
8 |
9 |
10 |
ĐA |
C |
A |
C |
A |
D |
B |
D |
D |
A |
D |
Câu |
11 |
12 |
13 |
14 |
15 |
16 |
17 |
18 |
19 |
20 |
ĐA |
A |
B |
D |
B |
C |
Giải chi tiết
Câu 1. Vì -1 ∉ A nên {-1; 0; 1} ⊄ A. Do đó C sai.
Chọn C
Câu 2. Mệnh đề P(x) ''∀x ∈ R, x2 + x + 1 > 0''.
Mệnh đề phủ định của mệnh đề P(x) là: ''∃x ∈ R, x2 + x + 1 ≤ 0.
Chọn A
Câu 3. Tập hợp
Khi đó tập hợp ![[năm 2025] Đề thi Học kì 1 Toán lớp 10 có đáp án (6 đề)](../de-thi/images/de-thi-hoc-ki-1-toan-lop-10-co-dap-an-dtvj2021-73556.png)
Chọn C
Câu 4. Điều kiện xác định: x2 - x + 3 ≠ 0
Vì x2 - x + 3 =
> 0 ∀x nên x2 - x + 3 ≠ 0 ∀x
Vậy tập xác định: D = R.
Chọn A
Câu 5. Điều kiện xác định: 3 - x ≥ 0 ⇔ x ≤ 3
Xét phương trình: ![[năm 2025] Đề thi Học kì 1 Toán lớp 10 có đáp án (6 đề)](../de-thi/images/de-thi-hoc-ki-1-toan-lop-10-co-dap-an-dtvj2021-73562.png)
![[năm 2025] Đề thi Học kì 1 Toán lớp 10 có đáp án (6 đề)](../de-thi/images/de-thi-hoc-ki-1-toan-lop-10-co-dap-an-dtvj2021-73565.png)
Vậy phương trình có 2 nghiệm.
Chọn D.
Câu 6. Cho hàm số y = f(x) = 3x4 - x2 + 2.
Xét f(-x) = 3(-x)4 - (-x)2 + 2 = 3x4 - x2 + 2 = f(x)
Do đó f(x) là hàm chẵn trên ℝ .
Chọn B
Câu 7. Hàm số y = |2x + 10| là hàm số ![[năm 2025] Đề thi Học kì 1 Toán lớp 10 có đáp án (6 đề)](../de-thi/images/de-thi-hoc-ki-1-toan-lop-10-co-dap-an-dtvj2021-73580.png)
Chọn D
Câu 8. Cho hàm số y = -3x2 - 4x + 3 có đồ thị (P). Trục đối xứng của (P) là đường thẳng có phương trình: ![[năm 2025] Đề thi Học kì 1 Toán lớp 10 có đáp án (6 đề)](../de-thi/images/de-thi-hoc-ki-1-toan-lop-10-co-dap-an-dtvj2021-73583.png)
Chọn D
Câu 9. Hàm số y = x2 - 4x + 3 có hoành độ đỉnh là
.
Vì a = 1 > 0 nên suy ra hàm số đồng biến trên khoảng (-∞; 2) và nghịch biến trên khoảng (2; +∞)
Chọn A
Câu 10. Trong hệ trục
, tọa độ của vectơ
là:
Ta có:
. Khi đó ![[năm 2025] Đề thi Học kì 1 Toán lớp 10 có đáp án (6 đề)](../de-thi/images/de-thi-hoc-ki-1-toan-lop-10-co-dap-an-dtvj2021-73601.png)
Chọn D
Câu 11. Gọi tọa độ điểm D là (xD;yD)
Ta có: ![[năm 2025] Đề thi Học kì 1 Toán lớp 10 có đáp án (6 đề)](../de-thi/images/de-thi-hoc-ki-1-toan-lop-10-co-dap-an-dtvj2021-73603.png)
Vì ABCD là hình bình hành nên ![[năm 2025] Đề thi Học kì 1 Toán lớp 10 có đáp án (6 đề)](../de-thi/images/de-thi-hoc-ki-1-toan-lop-10-co-dap-an-dtvj2021-73604.png)
Chọn A
Câu 12. Ta có tọa độ của vectơ ![[năm 2025] Đề thi Học kì 1 Toán lớp 10 có đáp án (6 đề)](../de-thi/images/de-thi-hoc-ki-1-toan-lop-10-co-dap-an-dtvj2021-73605.png)
Chọn B
Câu 13. Toạ độ vectơ
.
Chọn D
Câu 14. Gọi tọa độ điểm C(x;y)
Vì G là trọng tâm tam giác ABC nên ta có:
![[năm 2025] Đề thi Học kì 1 Toán lớp 10 có đáp án (6 đề)](../de-thi/images/de-thi-hoc-ki-1-toan-lop-10-co-dap-an-dtvj2021-73608.png)
Chọn B
Câu 15. Vì M thuộc trục Ox nên M(x; 0)
Ta có: ![[năm 2025] Đề thi Học kì 1 Toán lớp 10 có đáp án (6 đề)](../de-thi/images/de-thi-hoc-ki-1-toan-lop-10-co-dap-an-dtvj2021-73609.png)
![[năm 2025] Đề thi Học kì 1 Toán lớp 10 có đáp án (6 đề)](../de-thi/images/de-thi-hoc-ki-1-toan-lop-10-co-dap-an-dtvj2021-73610.png)
Vì (-4 - x)2 ≥ 0 ∀x => (-4 - x)2 + 1 ≥ 1 ∀x => ![[năm 2025] Đề thi Học kì 1 Toán lớp 10 có đáp án (6 đề)](../de-thi/images/de-thi-hoc-ki-1-toan-lop-10-co-dap-an-dtvj2021-73612.png)
Dấu “=” xảy ra khi – 4 – x = 0 ⇔ x = -4
Vậy tọa độ điểm M cần tìm là: M( -4; 0)
Chọn C
PHẦN TỰ LUẬN: (6 điểm)
Bài |
Đáp Án |
Điểm |
Bài 1 |
+Tập xác định D = R +Bảng biến thiên:
+ Vẽ đồ thị hàm số y = - x2 – 2x + 3 + Đỉnh I(-1;4) + Trục đối xứng x = -1 Ta có bảng sau:
Đồ thị hàm số là đường cong đi qua các điểm A(-3;0), B(-2;3), I(-1;4), C(0;3) và D(1;0) và nhận đường thẳng x = -1 làm trục đối xứng và có đỉnh là I(-1;4).
|
0,25 0,25 0,25 0,25 |
|
b) Với T = x1x2 + 4(x1 + x2) suy ra T = f(m) = m2 + 6m + 1. Lập BBT của f(m) trên ta tìm được GTNN của T bằng |
0,25đ 0,25đ 0,25đ 0,25đ |
|
Bài 2 |
a) Nếu ⇔ x = 3 (t/m Do đó x = 3 là một nghiệm của phương trình (1) Nếu x < (không t/m x < Vậy: x = 1 không là nghiệm của phương trình (1) Kết luận: Tập nghiệm S = {3} |
0,25đ 0,25đ 0,25đ 0,25đ |
|
b)
Kết luận: Nghiệm x = 2; x = 4 |
0,25đ 0,25đ 0,25đ 0,25đ |
|
|
Đặt t = Phương trình trở thành (x + 1)t = t2 + 2t – 2 ⇔ t2 – (x + 1)t + 2x – 2 = 0 (1) Ta xem (1) như là phương trình bậc hai với ẩn là t và x là tham số, lúc đó: Δ = x2 + 2x + 1 - 8x + 8 = x2 - 6x + 9 = (x - 3)2
Với t = Với t = Vậy nghiệm của phương trình là x = 1 ± √2. |
0,25đ 0,25đ 0,25đ 0,25đ |
|
Bài 3 |
|
0,5đ 0,5đ |
|
Vậy G, M, N thẳng hàng. |
0,25đ 0,25đ 0,25đ 0,25đ |
Sở Giáo dục và Đào tạo .....
Đề thi Học kì 1
năm 2025
Bài thi môn: Toán lớp 10
Thời gian làm bài: 90 phút
(không kể thời gian phát đề)
(Đề số 5)
Bài 1: (1,0 điểm) Cho hai tập hợp A = {0; 1; 2; 4; 7; 9; 11} và B = {-2; -1; 0; 2; 4; 9}. Tìm các tập hợp A ∪ B; A ∩ B; A \ B; B \ A?
Bài 2: (2,0 điểm) Giải các phương trình và hệ phương trình sau:
![[năm 2025] Đề thi Học kì 1 Toán lớp 10 có đáp án (6 đề)](../de-thi/images/de-thi-hoc-ki-1-toan-lop-10-co-dap-an-dtvj2021-73638.png)
Bài 3: (1,5 điểm) Cho parabol (P) : y = x2 - 4x + 3.
a) Vẽ đồ thị của parabol (P) ?
b) Tìm giao điểm của parabol (P) với trục hoành bằng phương pháp tính?
Bài 4: (1,0 điểm) Giải và biện luận phương trình sau theo tham số m:
x2 + 2(m + 1)x + m2 + 5 = 0
Bài 5: (1,0 điểm) Một tam giác vuông có độ dài cạnh dài nhất lớn hơn độ dài cạnh thứ hai là 2m, độ dài cạnh thứ hai lớn hơn độ dài cạnh ngắn nhất là 23m. Tính diện tích của tam giác vuông đó?
Bài 6: (1,5 điểm) Trong mặt phẳng tọa độ Oxy cho
.
a) Tính các tích vô hướng:
?
b) Tính giá trị biểu thức:
?
c) Hãy phân tích vectơ
theo hai vectơ
?
Bài 7: (2,0 điểm) Trong mặt phẳng tọa độ Oxy cho ΔABC với A(2; 4), B(-2; 1), C(4; -2).
a) Tính chu vi ΔABC? (kết quả làm tròn đến số thập phân thứ nhất)
b) Tìm tọa độ trọng tâm G và trực tâm H của ΔABC?
ĐÁP ÁN VÀ BIỂU ĐIỂM
Bài |
Đáp Án |
Điểm |
||||||||||||
Bài 1 |
a) A ∪ B = {0; 1; 2; 4; 7; 9; 11; -2; -1} b) A ∩ B = {0; 2; 4; 9} c) A\B = {1; 7; 11} d) B\A = {-2; -11} |
0,25 0,25 0,25 0,25 |
||||||||||||
Bài 2 |
a) |2x + 3| = |3x + 2|
Vậy S = {-1; 1} |
0,25 0,25 |
||||||||||||
|
b) Điều kiện xác định:
⇔ x = Vậy S = { |
0,25 0,25 |
|||||||||||||
|
Vậy hệ phương trình có nghiệm là: (1; 2) |
0,25 0,25 |
|||||||||||||
|
Vậy hệ phương trình có nghiệm là: (1; 2; -1) |
0,25 0,25 |
|||||||||||||
Bài 3 |
a) y = x2 - 4x + 3 Tọa độ đỉnh I(2; -1) Trục đối xứng x = 2 Bảng giá trị:
Đồ thị hàm số y = x2 - 4x + 3 đi qua các điểm (0; 3), (1; 0), (2; -1), (3; 0), (4; 3)
Đồ thị :
|
0,25 0,25 0,5 |
||||||||||||
|
b) Phương trình hoành độ giao điểm: x2 - 4x + 3 = 0
Vậy tọa độ giao điểm của (P) và trục hoành là: A(1; 0), B(3; 0). |
0,25 0,25 |
|||||||||||||
Bài 4 |
x2 + 2(m + 1)x + m2 + 5 = 0 Ta có: Δ' = (m + 1)2 - (m2 + 5) = 2m - 4 - Trường hợp 1: Δ' > 0 ⇔ 2m - 4 > 0 ⇔ m > 2: Phương trình có hai nghiệm phân biệt: x1,2 = -(m + 1) ± - Trường hợp 2: Δ' = 0 ⇔ 2m - 4 = 0 ⇔ m = 2: Phương trình có nghiệm kép: x = -3. - Trường hợp 3: Δ' < 0 ⇔ 2m - 4 < 0 ⇔ m < 2: Phương trình vô nghiệm Kết luận: - m > 2: Phương trình có hai nghiệm phân biệt: x1,2 = -(m + 1) ± - m = 2: Phương trình có nghiệm kép: x = -3. - m < 2: Phương trình vô nghiệm |
0,25 0,25 0,25 0,25 |
||||||||||||
Bài 5 |
Gọi x(m) là độ dài cạnh dài nhất của tam giác vuông. (x > 25). Độ dài cạnh thứ hai của tam giác vuông là: x - 2(m). Độ dài cạnh ngắn nhất của tam giác vuông là: x - 25(m). Áp dụng định lý Pytago ta có: x2 = (x - 2)2 + (x - 25)2 ⇔ x2 - 54x + 629 = 0
Diện tích tam giác vuông là: S = |
0,25 0,25 0,25 0,25 |
||||||||||||
Bài 6 |
|
0,25 0,25 |
||||||||||||
|
b) ta có:
Vậy S = 250 |
0,25 0,25 |
|||||||||||||
|
c) Gọi h và k là hai số thực sao cho:
Vậy |
0,5 |
|||||||||||||
Bài 7 |
a) Ta có:
Độ dài cạnh AB:
Độ dài cạnh AC:
Độ dài cạnh BC:
Chu vi tam giác ABC là: P = 18. |
0,25 0,5 0,25 |
||||||||||||
|
b) Gọi G(xG; yG) là trọng tâm của tam giác ABC:
Vậy Gọi H(xH; yH) là trực tâm của ΔABC.
Vì H là trực tâm của ΔABC nên:
Vậy H(1; 2) |
0,25 0,25 0,25 0,25 |
![[năm 2025] Đề thi Học kì 1 Toán lớp 10 có đáp án (6 đề)](../de-thi/images/de-thi-hoc-ki-1-toan-lop-10-co-dap-an-dtvj2021-73680.png)
Sở Giáo dục và Đào tạo .....
Đề thi Học kì 1
năm 2025
Bài thi môn: Toán lớp 10
Thời gian làm bài: 90 phút
(không kể thời gian phát đề)
(Đề số 6)
I. Trắc nghiệm (5 điểm)
Câu 1. Cho tập hợp F = {n ∈ ℤ/ (n2 - 1)(2n2 - 5n + 2) = 0}. Khi đó tập hợp F là:
A. F = {1; 2; 5} B. F = {-1;
; 1; 2} C. F = {-1; 1; 2} D. F = {2; 5}
Câu 2. Cho phương trình
(1). Một học sinh giải phương trình (1) như sau:
Bước 1: Đặt điều kiện: ![[năm 2025] Đề thi Học kì 1 Toán lớp 10 có đáp án (6 đề)](../de-thi/images/de-thi-hoc-ki-1-toan-lop-10-co-dap-an-dtvj2021-73684.png)
Bước 2: Bình phương hai vế ta được phương trình -x2 + 10x - 21 = 0 (2)
Bước 3: Giải phương trình (2) ta có hai nghiệm là x = 3 và x = 7.
Bước 4: Kết luận: Vì x = 3 và x = 7 đều thỏa mãn điều kiện ở bước 1 nên phương trình (1) có hai nghiệm là x = 3 và x = 7.
Hỏi: Bạn học sinh giải phương trình (1) như trên đúng hay sai? Nếu sai thì sai ở bước thứ mấy?
A. Bạn học sinh đã giải đúng B. Bạn học sinh đã giải sai ở bước 2
C. Bạn học sinh đã giải sai ở bước 3 D. Bạn học sinh đã giải sai ở bước 4
Câu 3. Cho tập hợp C = [-5; -2]. Chọn mệnh đề đúng trong các mệnh đề sau:
A. C = {x ∈ ℝ| -5 < x ≤ -2} B. C = {x ∈ ℝ| -5 ≤ x < -2}
C. C = {x ∈ ℝ| -5 < x < -2} D. C = {x ∈ ℝ| -5 ≤ x ≤ -2}
Câu 4. Đồ thị hàm số y = x2 - 2x - 3 có trục đối xứng là:
A. x = 2 B. x = -2 C. x = 1 D. x = -1
Câu 5. Cho tam giác ABC có trọng tâm G, M là trung điểm của BC. Trong các đẳng thức dưới đây, đẳng thức nào sai?
![[năm 2025] Đề thi Học kì 1 Toán lớp 10 có đáp án (6 đề)](../de-thi/images/de-thi-hoc-ki-1-toan-lop-10-co-dap-an-dtvj2021-73686.png)
Câu 6. Tìm tập nghiệm S của phương trình ![[năm 2025] Đề thi Học kì 1 Toán lớp 10 có đáp án (6 đề)](../de-thi/images/de-thi-hoc-ki-1-toan-lop-10-co-dap-an-dtvj2021-73687.png)
A. S = {1} B. S = {4/3}
C. S = {1;4/3} D. S = ∅
Câu 7. Cho phương trình (m + 2)x = m2 - 4. Trong các mệnh đề sau, mệnh đề nào đúng?
A. Với m = -2 thì phương trình vô nghiệm
B. Với m = -2 thì phương trình có nghiệm duy nhất
C. Với m ≠ -2 thì phương trình vô nghiệm
D. Với m ≠ -2 thì phương trình có nghiệm duy nhất
Câu 8. Trong hệ trục tọa độ Oxy, cho M(2;1), N(-1;-2), P(0;2). Tìm tọa độ điểm I sao cho ![[năm 2025] Đề thi Học kì 1 Toán lớp 10 có đáp án (6 đề)](../de-thi/images/de-thi-hoc-ki-1-toan-lop-10-co-dap-an-dtvj2021-73689.png)
![[năm 2025] Đề thi Học kì 1 Toán lớp 10 có đáp án (6 đề)](../de-thi/images/de-thi-hoc-ki-1-toan-lop-10-co-dap-an-dtvj2021-73690.png)
Câu 9. Trong các công thức sau, công thức nào xác định tích vô hướng của hai vectơ
cùng khác
?
![[năm 2025] Đề thi Học kì 1 Toán lớp 10 có đáp án (6 đề)](../de-thi/images/de-thi-hoc-ki-1-toan-lop-10-co-dap-an-dtvj2021-73693.png)
Câu 10. Cho x là số thực lớn hơn 1. Tìm giá trị nhỏ nhất của biểu thức P =
?
A. Giá trị nhỏ nhất của P bằng 4 B. Giá trị nhỏ nhất của P bằng 3
C. Giá trị nhỏ nhất của P bằng 6 D. Giá trị nhỏ nhất của P bằng 10
Câu 11. Cho tam giác ABC. Gọi M là điểm thuộc cạnh BC sao cho 3MB = 5MC. Hãy biểu diễn vectơ
qua hai vectơ
.
![[năm 2025] Đề thi Học kì 1 Toán lớp 10 có đáp án (6 đề)](../de-thi/images/de-thi-hoc-ki-1-toan-lop-10-co-dap-an-dtvj2021-73697.png)
Câu 12. Với giá trị nào của tham số m thì đồ thị hàm số y = x2 + 3mx + 2m2 - 1 đi qua M(-1;-1)?
A. m = -1 hoặc m = -
B. m =
hoặc m = 1
C. m = -1 hoặc m =
D. m = -
hoặc m = 1
Câu 13. Trong hệ trục tọa độ Oxy, cho tam giác ABC có A(-2;1), B(0;2) và C(-1;4). Tính số đo của góc ∠BAC
A. ∠BAC = 300 B. ∠BAC = 450 C. ∠BAC = 1350 D. ∠BAC = 1500
Câu 14. Với giá trị nào của tham số m thì phương trình x4 - 2x2 + m - 2 = 0 có 4 nghiệm phân biệt?
A. m > 3 B. 2 < m < 3 C. 2 ≠ m < 3 D. -3 < m < 2
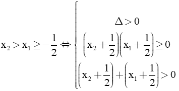
Câu 15. Gọi x1, x2 (x1 < x2) là hai nghiệm của phương trình
. Tính giá trị của biểu thức P = ![[năm 2025] Đề thi Học kì 1 Toán lớp 10 có đáp án (6 đề)](../de-thi/images/de-thi-hoc-ki-1-toan-lop-10-co-dap-an-dtvj2021-73704.png)
A. P = 9 B. P = -9 C. P = 6 D. P = -6
Câu 16. Trong hệ trục tọa độ Oxy, cho
. Tính ![[năm 2025] Đề thi Học kì 1 Toán lớp 10 có đáp án (6 đề)](../de-thi/images/de-thi-hoc-ki-1-toan-lop-10-co-dap-an-dtvj2021-73706.png)
![[năm 2025] Đề thi Học kì 1 Toán lớp 10 có đáp án (6 đề)](../de-thi/images/de-thi-hoc-ki-1-toan-lop-10-co-dap-an-dtvj2021-73707.png)
Câu 17. Một sàn nhà hình chữ nhật có chu vi bằng 26(m) và diện tích bằng 36(m2). Tìm kích thước của sàn nhà đã cho?
A. Kích thước của sàn nhà đã cho là 10 và 16
B. Kích thước của sàn nhà đã cho là 3 và 12
C. Kích thước của sàn nhà đã cho là 4 và 9
D. Kích thước của sàn nhà đã cho là 6 và 7.
Câu 18. Cho hình vuông ABCD có cạnh bằng a. Tính độ dài vectơ ![[năm 2025] Đề thi Học kì 1 Toán lớp 10 có đáp án (6 đề)](../de-thi/images/de-thi-hoc-ki-1-toan-lop-10-co-dap-an-dtvj2021-73708.png)
![[năm 2025] Đề thi Học kì 1 Toán lớp 10 có đáp án (6 đề)](../de-thi/images/de-thi-hoc-ki-1-toan-lop-10-co-dap-an-dtvj2021-73709.png)
Câu 19. Giải phương trình ![[năm 2025] Đề thi Học kì 1 Toán lớp 10 có đáp án (6 đề)](../de-thi/images/de-thi-hoc-ki-1-toan-lop-10-co-dap-an-dtvj2021-73722.png)
A. Phương trình vô nghiệm
B. Phương trình có nghiệm duy nhất x = -1
C. Phương trình có nghiệm duy nhất x = - 3
D. Phương trình có tập nghiệm là S = {-1; -3}
Câu 20. Trong hệ trục tọa độ Oxy, cho các vectơ
. Tìm tọa độ của vectơ ![[năm 2025] Đề thi Học kì 1 Toán lớp 10 có đáp án (6 đề)](../de-thi/images/de-thi-hoc-ki-1-toan-lop-10-co-dap-an-dtvj2021-73728.png)
![[năm 2025] Đề thi Học kì 1 Toán lớp 10 có đáp án (6 đề)](../de-thi/images/de-thi-hoc-ki-1-toan-lop-10-co-dap-an-dtvj2021-73732.png)
Câu 21. Cho đồ thị hàm số f(x) như hình vẽ. Hỏi hàm số f(x) là hàm số nào trong các hàm số sau:
![[năm 2025] Đề thi Học kì 1 Toán lớp 10 có đáp án (6 đề)](../de-thi/images/de-thi-hoc-ki-1-toan-lop-10-co-dap-an-dtvj2021-73733.png)
A. f(x) = x2 + 2x - 1 B. f(x) = x2 - 2x - 1
C. f(x) = -x2 - 2x - 1 D. f(x) = -x2 + 2x - 1
Câu 22. Trong hệ trục tọa độ Oxy, cho tam giác ABC có A(1;-5), B(2;1) và C(13;-8). Tính diện tích S của tam giác ABC.
A. S = 37 (đvdt) B. S = 9.2792 (đvdt)
C. S = √37 (đvdt) D. S =
(đvdt)
Câu 23. Trong hệ trục tọa độ Oxy, cho các vectơ
. Tìm cặp số (x;y) sao cho ![[năm 2025] Đề thi Học kì 1 Toán lớp 10 có đáp án (6 đề)](../de-thi/images/de-thi-hoc-ki-1-toan-lop-10-co-dap-an-dtvj2021-73832.png)
![[năm 2025] Đề thi Học kì 1 Toán lớp 10 có đáp án (6 đề)](../de-thi/images/de-thi-hoc-ki-1-toan-lop-10-co-dap-an-dtvj2021-73833.png)
Câu 24: Giao điểm của parabol (P): y = –3x2 + x + 3 và đường thẳng (d): y = 3x – 2 có tọa độ là:
![[năm 2025] Đề thi Học kì 1 Toán lớp 10 có đáp án (6 đề)](../de-thi/images/de-thi-hoc-ki-1-toan-lop-10-co-dap-an-dtvj2021-73835.png)
Câu 25: Hàm số nào sau đây là hàm số lẻ ?
A. y = x3 B. y = x4 + 1 C. y = x4 D. y = x3 + 1
II. Tự luận (5 điểm)
Bài 1. (1,5 điểm) Giải các phương trình sau
a) ![[năm 2025] Đề thi Học kì 1 Toán lớp 10 có đáp án (6 đề)](../de-thi/images/de-thi-hoc-ki-1-toan-lop-10-co-dap-an-dtvj2021-73837.png)
b) |2x2 - x| - 2x = 5
Bài 2. (1 điểm) Xác định parabol (P): y = x2 + bx + c biết (P) đi qua điểm A(2; 3) và có trục đối xứng x = 1
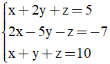
Bài 3. (2,5 điểm) Trong mặt phẳng Oxy cho ba điểm A(-2; 1), B(-1; 4), C(4; -1)
a) Tính ![[năm 2025] Đề thi Học kì 1 Toán lớp 10 có đáp án (6 đề)](../de-thi/images/de-thi-hoc-ki-1-toan-lop-10-co-dap-an-dtvj2021-73838.png)
b) Tính chu vi tam giác ABC.
c) Tính diện tích tam giác ABC.
d) Tìm tọa độ điểm M sao cho ![[năm 2025] Đề thi Học kì 1 Toán lớp 10 có đáp án (6 đề)](../de-thi/images/de-thi-hoc-ki-1-toan-lop-10-co-dap-an-dtvj2021-73839.png)
ĐÁP ÁN VÀ BIỂU ĐIỂM
Phần I. Trắc nghiệm (4 điểm) Mỗi câu đúng được 0,2 điểm
Câu |
1 |
2 |
3 |
4 |
5 |
6 |
7 |
8 |
9 |
10 |
11 |
12 |
13 |
ĐA |
C |
A |
C |
A |
D |
B |
D |
D |
A |
D |
A |
B |
D |
Câu |
14 |
15 |
16 |
17 |
18 |
19 |
20 |
21 |
22 |
23 |
24 |
25 |
|
ĐA |
B |
C |
C |
C |
C |
D |
B |
B |
A |
C |
C |
D |
Giải chi tiết
Câu 1. Xét: (n2 - 1)(2n2 - 5n + 2)
![[năm 2025] Đề thi Học kì 1 Toán lớp 10 có đáp án (6 đề)](../de-thi/images/de-thi-hoc-ki-1-toan-lop-10-co-dap-an-dtvj2021-73840.png)
Vì n ∈ ℤ nên loại n = ![[năm 2025] Đề thi Học kì 1 Toán lớp 10 có đáp án (6 đề)](../de-thi/images/de-thi-hoc-ki-1-toan-lop-10-co-dap-an-dtvj2021-73841.png)
Do đó F = {-1; 1 ;2} .
Chọn C
Câu 2. Bạn học sinh giải sai. Bạn sai từ bước 1 tìm điều kiện.
Vì điều kiện xác định là: ![[năm 2025] Đề thi Học kì 1 Toán lớp 10 có đáp án (6 đề)](../de-thi/images/de-thi-hoc-ki-1-toan-lop-10-co-dap-an-dtvj2021-73842.png)
Chọn C
Câu 3. Cho tập hợp C = [-5; -1). Tập C được viết dưới dạng chỉ ra tính chất đặc trưng là: C = {x ∈ ℝ| -5 ≤ x < -2}
Chọn B
Câu 4. Trục đối xứng của đồ thị hàm số y = x2 - 2x - 3 là: x = 1
Chọn C
Câu 5. Đẳng thức
là sai.
Chọn C
Câu 6. Xét phương trình ![[năm 2025] Đề thi Học kì 1 Toán lớp 10 có đáp án (6 đề)](../de-thi/images/de-thi-hoc-ki-1-toan-lop-10-co-dap-an-dtvj2021-73867.png)
Điều kiện: ![[năm 2025] Đề thi Học kì 1 Toán lớp 10 có đáp án (6 đề)](../de-thi/images/de-thi-hoc-ki-1-toan-lop-10-co-dap-an-dtvj2021-73868.png)
Thay x = 1 vào phương trình ta được: ![[năm 2025] Đề thi Học kì 1 Toán lớp 10 có đáp án (6 đề)](../de-thi/images/de-thi-hoc-ki-1-toan-lop-10-co-dap-an-dtvj2021-73869.png)
⇔ 3 = 3 (luôn đúng)
Vậy x = 1 là nghiệm của phương trình.
Chọn A
Câu 7. Biện luận phương trình: (m + 2)x = m2 - 4
+) m + 2 = 0 ⇔ m = -2. Khi đó ta có: 0x = 22 - 4
⇔ 0x = 0 (luôn đúng)
Do đó phương trình có vô số nghiệm.
+) m + 2 ≠ 0 ⇔ m ≠ -2. Phương trình có nghiệm duy nhất:
.
Chọn D
Câu 8. Gọi tọa độ điểm I(xI,yI)
![[năm 2025] Đề thi Học kì 1 Toán lớp 10 có đáp án (6 đề)](../de-thi/images/de-thi-hoc-ki-1-toan-lop-10-co-dap-an-dtvj2021-73872.png)
Câu 9. Công thức nào xác định tích vô hướng của hai vectơ
cùng khác
là:
![[năm 2025] Đề thi Học kì 1 Toán lớp 10 có đáp án (6 đề)](../de-thi/images/de-thi-hoc-ki-1-toan-lop-10-co-dap-an-dtvj2021-73879.png)
Chọn B.
Câu 10. Vì x > 1 nên x – 1 > 0.
Ta có: P = ![[năm 2025] Đề thi Học kì 1 Toán lớp 10 có đáp án (6 đề)](../de-thi/images/de-thi-hoc-ki-1-toan-lop-10-co-dap-an-dtvj2021-73880.png)
Áp dụng định lý Vi – et cho hai số dương x – 1 và
, ta được:
![[năm 2025] Đề thi Học kì 1 Toán lớp 10 có đáp án (6 đề)](../de-thi/images/de-thi-hoc-ki-1-toan-lop-10-co-dap-an-dtvj2021-73883.png)
=> P ≥ 2 + 1 = 3
Dấu “=” xảy ra khi ![[năm 2025] Đề thi Học kì 1 Toán lớp 10 có đáp án (6 đề)](../de-thi/images/de-thi-hoc-ki-1-toan-lop-10-co-dap-an-dtvj2021-73884.png)
Vậy minP = 3 khi x = 2.
Chọn B.
Câu 11. Ta có: ![[năm 2025] Đề thi Học kì 1 Toán lớp 10 có đáp án (6 đề)](../de-thi/images/de-thi-hoc-ki-1-toan-lop-10-co-dap-an-dtvj2021-73886.png)
Chọn B
Câu 12. Thay x = - 1 và y = -1 vào hàm số đã cho, ta được:
-1 = (-1)2 + 3m(-1) + 2m2 - 1
⇔ -1 = 1 - 3m + 2m2 - 1
⇔ 2m2 - 3m + 1 = 0
⇔ ![[năm 2025] Đề thi Học kì 1 Toán lớp 10 có đáp án (6 đề)](../de-thi/images/de-thi-hoc-ki-1-toan-lop-10-co-dap-an-dtvj2021-73889.png)
Chọn B
Câu 13. Trong hệ trục tọa độ Oxy, cho tam giác ABC có A(-2;1), B(0;2) và C(-1;4). Tính số đo của góc ∠BAC
Ta có: ![[năm 2025] Đề thi Học kì 1 Toán lớp 10 có đáp án (6 đề)](../de-thi/images/de-thi-hoc-ki-1-toan-lop-10-co-dap-an-dtvj2021-73890.png)
![[năm 2025] Đề thi Học kì 1 Toán lớp 10 có đáp án (6 đề)](../de-thi/images/de-thi-hoc-ki-1-toan-lop-10-co-dap-an-dtvj2021-73891.png)
=> ∠BAC = 450
Chọn B.
Câu 14. Đặt t = x2 (t ≥ 0), phương trình trở thành: t2 – 2t + m – 2 = 0 (1)
Để phương trình đã cho có 4 nghiệm phân biệt thì phương trình (1) có hai nghiệm dương phân biệt:
![[năm 2025] Đề thi Học kì 1 Toán lớp 10 có đáp án (6 đề)](../de-thi/images/de-thi-hoc-ki-1-toan-lop-10-co-dap-an-dtvj2021-73892.png)
Chọn B
Câu 15. Xét phương trình: ![[năm 2025] Đề thi Học kì 1 Toán lớp 10 có đáp án (6 đề)](../de-thi/images/de-thi-hoc-ki-1-toan-lop-10-co-dap-an-dtvj2021-73893.png)
Điều kiện xác định: x ∈ ℝ
⇔ x2 + x + 1 = 21x2
![[năm 2025] Đề thi Học kì 1 Toán lớp 10 có đáp án (6 đề)](../de-thi/images/de-thi-hoc-ki-1-toan-lop-10-co-dap-an-dtvj2021-73894.png)
Vì x1 < x2 nên ![[năm 2025] Đề thi Học kì 1 Toán lớp 10 có đáp án (6 đề)](../de-thi/images/de-thi-hoc-ki-1-toan-lop-10-co-dap-an-dtvj2021-73895.png)
![[năm 2025] Đề thi Học kì 1 Toán lớp 10 có đáp án (6 đề)](../de-thi/images/de-thi-hoc-ki-1-toan-lop-10-co-dap-an-dtvj2021-73896.png)
Chọn B
Câu 16. Ta có: ![[năm 2025] Đề thi Học kì 1 Toán lớp 10 có đáp án (6 đề)](../de-thi/images/de-thi-hoc-ki-1-toan-lop-10-co-dap-an-dtvj2021-73897.png)
Chọn C
Câu 17. Gọi độ dài hai kích thước của sàn nhà lần lượt là a(m) và b(m).
Nửa chu vi của sàn nhà là a + b = 26:2 = 13 (m).
Diện tích của sàn nhà là: a.b = 36.
Hai kích thước của sàn nhà là nghiệm của phương trình:
X2 – 13X + 36 = 0
![[năm 2025] Đề thi Học kì 1 Toán lớp 10 có đáp án (6 đề)](../de-thi/images/de-thi-hoc-ki-1-toan-lop-10-co-dap-an-dtvj2021-73898.png)
Chọn C
Câu 18. Ta có: ![[năm 2025] Đề thi Học kì 1 Toán lớp 10 có đáp án (6 đề)](../de-thi/images/de-thi-hoc-ki-1-toan-lop-10-co-dap-an-dtvj2021-73899.png)
![[năm 2025] Đề thi Học kì 1 Toán lớp 10 có đáp án (6 đề)](../de-thi/images/de-thi-hoc-ki-1-toan-lop-10-co-dap-an-dtvj2021-73900.png)
Mà AC = √2a
![[năm 2025] Đề thi Học kì 1 Toán lớp 10 có đáp án (6 đề)](../de-thi/images/de-thi-hoc-ki-1-toan-lop-10-co-dap-an-dtvj2021-73901.png)
Chọn C
Câu 19. Điều kiện xác định: |x + 2| ≠ 0 ⇔ x ≠ -2
Xét phương trình: ![[năm 2025] Đề thi Học kì 1 Toán lớp 10 có đáp án (6 đề)](../de-thi/images/de-thi-hoc-ki-1-toan-lop-10-co-dap-an-dtvj2021-73902.png)
⇔ (x + 2)2 = 1
![[năm 2025] Đề thi Học kì 1 Toán lớp 10 có đáp án (6 đề)](../de-thi/images/de-thi-hoc-ki-1-toan-lop-10-co-dap-an-dtvj2021-73903.png)
Vậy phương trình có tập nghiệm là S = {-1; -3}
Chọn D
Câu 20. Tọa độ của vectơ ![[năm 2025] Đề thi Học kì 1 Toán lớp 10 có đáp án (6 đề)](../de-thi/images/de-thi-hoc-ki-1-toan-lop-10-co-dap-an-dtvj2021-73904.png)
Chọn B
Câu 21. Cho đồ thị hàm số f(x) như hình vẽ. Hỏi hàm số f(x) là hàm số nào trong các hàm số sau:
![[năm 2025] Đề thi Học kì 1 Toán lớp 10 có đáp án (6 đề)](../de-thi/images/de-thi-hoc-ki-1-toan-lop-10-co-dap-an-dtvj2021-73905.png)
Đồ thị hàm số đã cho có dạng Parabol y = ax2 + bx + c.
Trục đối xứng: ![[năm 2025] Đề thi Học kì 1 Toán lớp 10 có đáp án (6 đề)](../de-thi/images/de-thi-hoc-ki-1-toan-lop-10-co-dap-an-dtvj2021-73906.png)
Với x = 0 thì y = -1 => c = -1
Khi đó đồ thị hàm số đã cho có dạng: y = ax2 – 2ax – 1
Đồ thị đã cho có tọa độ đỉnh I(1;-2)
Thay x = 1 và y = - 2 vào đồ thị hàm số, ta được:
a – 2a – 1 = - 2 ⇔ -a = -1 ⇔ a = 1 => b = -2
Chọn B
Câu 22. Diện tích tam giác ABC là
.
Chọn A
Câu 23. Ta có hệ phương trình: ![[năm 2025] Đề thi Học kì 1 Toán lớp 10 có đáp án (6 đề)](../de-thi/images/de-thi-hoc-ki-1-toan-lop-10-co-dap-an-dtvj2021-73908.png)
Chọn C
Câu 24: Xét phương trình hoành độ giao điểm là :
–3x2 + x + 3 = 3x – 2
⇔ - 3x2 – 2x + 5 = 0
![[năm 2025] Đề thi Học kì 1 Toán lớp 10 có đáp án (6 đề)](../de-thi/images/de-thi-hoc-ki-1-toan-lop-10-co-dap-an-dtvj2021-73909.png)
Chọn C
Câu 25: Hàm số nào sau đây là hàm số lẻ: y = x3
Chọn A
Phần II. Tự luận
Câu |
Nội dung |
Điểm |
1 |
a) |
1.0 |
|
0.25 |
|
|
0.25 |
|
|
0.25 |
|
⇔ x = |
0.25 |
|
b) |2x2 - x| - 2x = 5 |
1.0 |
|
⇔ |2x2 - x| = 2x + 5 |
0.25 |
|
|
0.25 |
|
|
0.25 |
|
|
0.25 |
|
2 |
(P): y = x2 + bx + c qua A(2; 3) và có trục đối xứng x = 1 |
1.0 |
Vì (P) có trục đối xứng x = 1 nên ta có: |
0.25 |
|
Vì (P) qua A(2; 3) nên ta có: 3 = 22 + 2b + c ⇔ 2b + c = -1 (2) |
0.25 |
|
Giải hệ gồm 2 phương trình (1) và (2) ta được |
0.25 |
|
Vậy (P): y = x2 - 2x + 3 |
0.25 |
|
3 |
A(-2; 1), B(-1; 4), C(4; -1) |
2.0 |
a) Tính |
0.5 |
|
|
0.25 |
|
|
0.25 |
|
b) Tính chu vi tam giác ABC. |
0.5 |
|
AB = √10; AC = 2√10 |
0.25 |
|
|
BC = 5√2 Chu vi: AB + AC + BC = 3√10 + 5√2 |
0.25 |
|
c) Tính diện tích tam giác ABC. |
0.5 |
|
Do |
0.25 |
|
|
0.25 |
|
d) Tìm tọa độ điểm M sao cho |
0.5 |
|
|
Gọi M(x, y), ta có
|
0.25 |
|
|
Mà
|
0.25 |
Tủ sách VIETJACK luyện thi vào 10 cho 2k11 (2026):
Đã có app VietJack trên điện thoại, giải bài tập SGK, SBT Soạn văn, Văn mẫu, Thi online, Bài giảng....miễn phí. Tải ngay ứng dụng trên Android và iOS.
Theo dõi chúng tôi miễn phí trên mạng xã hội facebook và youtube:Bộ đề thi năm 2025 các lớp các môn học được Giáo viên nhiều năm kinh nghiệm tổng hợp và biên soạn theo Thông tư mới nhất của Bộ Giáo dục và Đào tạo, được chọn lọc từ đề thi của các trường trên cả nước.
Nếu thấy hay, hãy động viên và chia sẻ nhé! Các bình luận không phù hợp với nội quy bình luận trang web sẽ bị cấm bình luận vĩnh viễn.
- Đề thi lớp 1 (các môn học)
- Đề thi lớp 2 (các môn học)
- Đề thi lớp 3 (các môn học)
- Đề thi lớp 4 (các môn học)
- Đề thi lớp 5 (các môn học)
- Đề thi lớp 6 (các môn học)
- Đề thi lớp 7 (các môn học)
- Đề thi lớp 8 (các môn học)
- Đề thi lớp 9 (các môn học)
- Đề thi lớp 10 (các môn học)
- Đề thi lớp 11 (các môn học)
- Đề thi lớp 12 (các môn học)
- Giáo án lớp 1 (các môn học)
- Giáo án lớp 2 (các môn học)
- Giáo án lớp 3 (các môn học)
- Giáo án lớp 4 (các môn học)
- Giáo án lớp 5 (các môn học)
- Giáo án lớp 6 (các môn học)
- Giáo án lớp 7 (các môn học)
- Giáo án lớp 8 (các môn học)
- Giáo án lớp 9 (các môn học)
- Giáo án lớp 10 (các môn học)
- Giáo án lớp 11 (các môn học)
- Giáo án lớp 12 (các môn học)
![[năm 2025] Đề thi Học kì 1 Toán lớp 10 có đáp án (6 đề)](../de-thi/images/de-thi-hoc-ki-1-toan-lop-10-co-dap-an-dtvj2021-72797.png)
![[năm 2025] Đề thi Học kì 1 Toán lớp 10 có đáp án (6 đề)](../de-thi/images/de-thi-hoc-ki-1-toan-lop-10-co-dap-an-dtvj2021-72805.png)
![[năm 2025] Đề thi Học kì 1 Toán lớp 10 có đáp án (6 đề)](../de-thi/images/de-thi-hoc-ki-1-toan-lop-10-co-dap-an-dtvj2021-72811.png)
![[năm 2025] Đề thi Học kì 1 Toán lớp 10 có đáp án (6 đề)](../de-thi/images/de-thi-hoc-ki-1-toan-lop-10-co-dap-an-dtvj2021-72819.png)
![[năm 2025] Đề thi Học kì 1 Toán lớp 10 có đáp án (6 đề)](../de-thi/images/de-thi-hoc-ki-1-toan-lop-10-co-dap-an-dtvj2021-72821.png)
![[năm 2025] Đề thi Học kì 1 Toán lớp 10 có đáp án (6 đề)](../de-thi/images/de-thi-hoc-ki-1-toan-lop-10-co-dap-an-dtvj2021-72824.png)
![[năm 2025] Đề thi Học kì 1 Toán lớp 10 có đáp án (6 đề)](../de-thi/images/de-thi-hoc-ki-1-toan-lop-10-co-dap-an-dtvj2021-72825.png)
.![[năm 2025] Đề thi Học kì 1 Toán lớp 10 có đáp án (6 đề)](../de-thi/images/de-thi-hoc-ki-1-toan-lop-10-co-dap-an-dtvj2021-72861.png)
![[năm 2025] Đề thi Học kì 1 Toán lớp 10 có đáp án (6 đề)](../de-thi/images/de-thi-hoc-ki-1-toan-lop-10-co-dap-an-dtvj2021-72863.png)
![[năm 2025] Đề thi Học kì 1 Toán lớp 10 có đáp án (6 đề)](../de-thi/images/de-thi-hoc-ki-1-toan-lop-10-co-dap-an-dtvj2021-72868.png)
![[năm 2025] Đề thi Học kì 1 Toán lớp 10 có đáp án (6 đề)](../de-thi/images/de-thi-hoc-ki-1-toan-lop-10-co-dap-an-dtvj2021-72871.png)
(2)![[năm 2025] Đề thi Học kì 1 Toán lớp 10 có đáp án (6 đề)](../de-thi/images/de-thi-hoc-ki-1-toan-lop-10-co-dap-an-dtvj2021-72876.png)
![[năm 2025] Đề thi Học kì 1 Toán lớp 10 có đáp án (6 đề)](../de-thi/images/de-thi-hoc-ki-1-toan-lop-10-co-dap-an-dtvj2021-72883.png)
+ x - 3![[năm 2025] Đề thi Học kì 1 Toán lớp 10 có đáp án (6 đề)](../de-thi/images/de-thi-hoc-ki-1-toan-lop-10-co-dap-an-dtvj2021-72898.png)
(TMĐK)
![[năm 2025] Đề thi Học kì 1 Toán lớp 10 có đáp án (6 đề)](../de-thi/images/de-thi-hoc-ki-1-toan-lop-10-co-dap-an-dtvj2021-73169.png)
![[năm 2025] Đề thi Học kì 1 Toán lớp 10 có đáp án (6 đề)](../de-thi/images/de-thi-hoc-ki-1-toan-lop-10-co-dap-an-dtvj2021-73170.png)
![[năm 2025] Đề thi Học kì 1 Toán lớp 10 có đáp án (6 đề)](../de-thi/images/de-thi-hoc-ki-1-toan-lop-10-co-dap-an-dtvj2021-73171.png)
![[năm 2025] Đề thi Học kì 1 Toán lớp 10 có đáp án (6 đề)](../de-thi/images/de-thi-hoc-ki-1-toan-lop-10-co-dap-an-dtvj2021-73172.png)
![[năm 2025] Đề thi Học kì 1 Toán lớp 10 có đáp án (6 đề)](../de-thi/images/de-thi-hoc-ki-1-toan-lop-10-co-dap-an-dtvj2021-73173.png)
![[năm 2025] Đề thi Học kì 1 Toán lớp 10 có đáp án (6 đề)](../de-thi/images/de-thi-hoc-ki-1-toan-lop-10-co-dap-an-dtvj2021-73175.png)
![[năm 2025] Đề thi Học kì 1 Toán lớp 10 có đáp án (6 đề)](../de-thi/images/de-thi-hoc-ki-1-toan-lop-10-co-dap-an-dtvj2021-73176.png)
=> AB ⊥ BC ( Hoặc dùng Pitago đảo)![[năm 2025] Đề thi Học kì 1 Toán lớp 10 có đáp án (6 đề)](../de-thi/images/de-thi-hoc-ki-1-toan-lop-10-co-dap-an-dtvj2021-73178.png)
(G là trọng tâm tam giác ABC)
có GTNN khi MG nhỏ nhất => M là hình chiếu vuông góc của G trên trục Oy => M(0;0)![[năm 2025] Đề thi Học kì 1 Toán lớp 10 có đáp án (6 đề)](../de-thi/images/de-thi-hoc-ki-1-toan-lop-10-co-dap-an-dtvj2021-73181.png)
![[năm 2025] Đề thi Học kì 1 Toán lớp 10 có đáp án (6 đề)](../de-thi/images/de-thi-hoc-ki-1-toan-lop-10-co-dap-an-dtvj2021-73182.png)
![[năm 2025] Đề thi Học kì 1 Toán lớp 10 có đáp án (6 đề)](../de-thi/images/de-thi-hoc-ki-1-toan-lop-10-co-dap-an-dtvj2021-73183.png)
.![[năm 2025] Đề thi Học kì 1 Toán lớp 10 có đáp án (6 đề)](../de-thi/images/de-thi-hoc-ki-1-toan-lop-10-co-dap-an-dtvj2021-73447.png)
![[năm 2025] Đề thi Học kì 1 Toán lớp 10 có đáp án (6 đề)](../de-thi/images/de-thi-hoc-ki-1-toan-lop-10-co-dap-an-dtvj2021-73448.png)
![[năm 2025] Đề thi Học kì 1 Toán lớp 10 có đáp án (6 đề)](../de-thi/images/de-thi-hoc-ki-1-toan-lop-10-co-dap-an-dtvj2021-73449.png)
![[năm 2025] Đề thi Học kì 1 Toán lớp 10 có đáp án (6 đề)](../de-thi/images/de-thi-hoc-ki-1-toan-lop-10-co-dap-an-dtvj2021-73450.png)
![[năm 2025] Đề thi Học kì 1 Toán lớp 10 có đáp án (6 đề)](../de-thi/images/de-thi-hoc-ki-1-toan-lop-10-co-dap-an-dtvj2021-73451.png)
![[năm 2025] Đề thi Học kì 1 Toán lớp 10 có đáp án (6 đề)](../de-thi/images/de-thi-hoc-ki-1-toan-lop-10-co-dap-an-dtvj2021-73453.png)
![[năm 2025] Đề thi Học kì 1 Toán lớp 10 có đáp án (6 đề)](../de-thi/images/de-thi-hoc-ki-1-toan-lop-10-co-dap-an-dtvj2021-73455.png)
(*)![[năm 2025] Đề thi Học kì 1 Toán lớp 10 có đáp án (6 đề)](../de-thi/images/de-thi-hoc-ki-1-toan-lop-10-co-dap-an-dtvj2021-73468.png)
. Vậy D(10; 3).
.
![[năm 2025] Đề thi Học kì 1 Toán lớp 10 có đáp án (6 đề)](../de-thi/images/de-thi-hoc-ki-1-toan-lop-10-co-dap-an-dtvj2021-73479.png)
![[năm 2025] Đề thi Học kì 1 Toán lớp 10 có đáp án (6 đề)](../de-thi/images/de-thi-hoc-ki-1-toan-lop-10-co-dap-an-dtvj2021-73484.png)
![[năm 2025] Đề thi Học kì 1 Toán lớp 10 có đáp án (6 đề)](../de-thi/images/de-thi-hoc-ki-1-toan-lop-10-co-dap-an-dtvj2021-73486.png)
![[năm 2025] Đề thi Học kì 1 Toán lớp 10 có đáp án (6 đề)](../de-thi/images/de-thi-hoc-ki-1-toan-lop-10-co-dap-an-dtvj2021-73489.png)
![[năm 2025] Đề thi Học kì 1 Toán lớp 10 có đáp án (6 đề)](../de-thi/images/de-thi-hoc-ki-1-toan-lop-10-co-dap-an-dtvj2021-73613.png)
![[năm 2025] Đề thi Học kì 1 Toán lớp 10 có đáp án (6 đề)](../de-thi/images/de-thi-hoc-ki-1-toan-lop-10-co-dap-an-dtvj2021-73614.png)
![[năm 2025] Đề thi Học kì 1 Toán lớp 10 có đáp án (6 đề)](../de-thi/images/de-thi-hoc-ki-1-toan-lop-10-co-dap-an-dtvj2021-73615.png)
theo định lý Viét, ta có:
.
:
khi m =
.
: Phương trình (1) trở thành 2x – 1 = 3x – 4
).
: Phương trình (1) trở thành -2x + 1 = 3x – 4
).![[năm 2025] Đề thi Học kì 1 Toán lớp 10 có đáp án (6 đề)](../de-thi/images/de-thi-hoc-ki-1-toan-lop-10-co-dap-an-dtvj2021-73625.png)
![[năm 2025] Đề thi Học kì 1 Toán lớp 10 có đáp án (6 đề)](../de-thi/images/de-thi-hoc-ki-1-toan-lop-10-co-dap-an-dtvj2021-73626.png)
=> t2 = x2 - 2x + 3 => x2 = t2 + 2x - 3![[năm 2025] Đề thi Học kì 1 Toán lớp 10 có đáp án (6 đề)](../de-thi/images/de-thi-hoc-ki-1-toan-lop-10-co-dap-an-dtvj2021-73629.png)
= x - 1 ⇔ x2 - 2x + 3 = x2 - 2x + 1 (VN).
= 2 ⇔ x2 - 2x + 3 = 4 ⇔ x2 - 2x - 1 = 0 ⇔ x = 1 ± √2.![[năm 2025] Đề thi Học kì 1 Toán lớp 10 có đáp án (6 đề)](../de-thi/images/de-thi-hoc-ki-1-toan-lop-10-co-dap-an-dtvj2021-73632.png)
![[năm 2025] Đề thi Học kì 1 Toán lớp 10 có đáp án (6 đề)](../de-thi/images/de-thi-hoc-ki-1-toan-lop-10-co-dap-an-dtvj2021-73634.png)
![[năm 2025] Đề thi Học kì 1 Toán lớp 10 có đáp án (6 đề)](../de-thi/images/de-thi-hoc-ki-1-toan-lop-10-co-dap-an-dtvj2021-73647.png)
![[năm 2025] Đề thi Học kì 1 Toán lớp 10 có đáp án (6 đề)](../de-thi/images/de-thi-hoc-ki-1-toan-lop-10-co-dap-an-dtvj2021-73648.png)
![[năm 2025] Đề thi Học kì 1 Toán lớp 10 có đáp án (6 đề)](../de-thi/images/de-thi-hoc-ki-1-toan-lop-10-co-dap-an-dtvj2021-73649.png)
![[năm 2025] Đề thi Học kì 1 Toán lớp 10 có đáp án (6 đề)](../de-thi/images/de-thi-hoc-ki-1-toan-lop-10-co-dap-an-dtvj2021-73650.png)
(nhận)
}![[năm 2025] Đề thi Học kì 1 Toán lớp 10 có đáp án (6 đề)](../de-thi/images/de-thi-hoc-ki-1-toan-lop-10-co-dap-an-dtvj2021-73653.png)
![[năm 2025] Đề thi Học kì 1 Toán lớp 10 có đáp án (6 đề)](../de-thi/images/de-thi-hoc-ki-1-toan-lop-10-co-dap-an-dtvj2021-73654.png)
![[năm 2025] Đề thi Học kì 1 Toán lớp 10 có đáp án (6 đề)](../de-thi/images/de-thi-hoc-ki-1-toan-lop-10-co-dap-an-dtvj2021-73656.png)
![[năm 2025] Đề thi Học kì 1 Toán lớp 10 có đáp án (6 đề)](../de-thi/images/de-thi-hoc-ki-1-toan-lop-10-co-dap-an-dtvj2021-73657.png)
![[năm 2025] Đề thi Học kì 1 Toán lớp 10 có đáp án (6 đề)](../de-thi/images/de-thi-hoc-ki-1-toan-lop-10-co-dap-an-dtvj2021-73658.png)
.
(nhận)
(x -2)(x - 25) =
(37 - 2)(37 - 25) = 210 (m2)![[năm 2025] Đề thi Học kì 1 Toán lớp 10 có đáp án (6 đề)](../de-thi/images/de-thi-hoc-ki-1-toan-lop-10-co-dap-an-dtvj2021-73665.png)
![[năm 2025] Đề thi Học kì 1 Toán lớp 10 có đáp án (6 đề)](../de-thi/images/de-thi-hoc-ki-1-toan-lop-10-co-dap-an-dtvj2021-73666.png)
![[năm 2025] Đề thi Học kì 1 Toán lớp 10 có đáp án (6 đề)](../de-thi/images/de-thi-hoc-ki-1-toan-lop-10-co-dap-an-dtvj2021-73667.png)
![[năm 2025] Đề thi Học kì 1 Toán lớp 10 có đáp án (6 đề)](../de-thi/images/de-thi-hoc-ki-1-toan-lop-10-co-dap-an-dtvj2021-73668.png)
![[năm 2025] Đề thi Học kì 1 Toán lớp 10 có đáp án (6 đề)](../de-thi/images/de-thi-hoc-ki-1-toan-lop-10-co-dap-an-dtvj2021-73669.png)
![[năm 2025] Đề thi Học kì 1 Toán lớp 10 có đáp án (6 đề)](../de-thi/images/de-thi-hoc-ki-1-toan-lop-10-co-dap-an-dtvj2021-73670.png)
![[năm 2025] Đề thi Học kì 1 Toán lớp 10 có đáp án (6 đề)](../de-thi/images/de-thi-hoc-ki-1-toan-lop-10-co-dap-an-dtvj2021-73671.png)
![[năm 2025] Đề thi Học kì 1 Toán lớp 10 có đáp án (6 đề)](../de-thi/images/de-thi-hoc-ki-1-toan-lop-10-co-dap-an-dtvj2021-73672.png)
![[năm 2025] Đề thi Học kì 1 Toán lớp 10 có đáp án (6 đề)](../de-thi/images/de-thi-hoc-ki-1-toan-lop-10-co-dap-an-dtvj2021-73673.png)
![[năm 2025] Đề thi Học kì 1 Toán lớp 10 có đáp án (6 đề)](../de-thi/images/de-thi-hoc-ki-1-toan-lop-10-co-dap-an-dtvj2021-73674.png)
![[năm 2025] Đề thi Học kì 1 Toán lớp 10 có đáp án (6 đề)](../de-thi/images/de-thi-hoc-ki-1-toan-lop-10-co-dap-an-dtvj2021-73675.png)
![[năm 2025] Đề thi Học kì 1 Toán lớp 10 có đáp án (6 đề)](../de-thi/images/de-thi-hoc-ki-1-toan-lop-10-co-dap-an-dtvj2021-73676.png)
![[năm 2025] Đề thi Học kì 1 Toán lớp 10 có đáp án (6 đề)](../de-thi/images/de-thi-hoc-ki-1-toan-lop-10-co-dap-an-dtvj2021-73677.png)
![[năm 2025] Đề thi Học kì 1 Toán lớp 10 có đáp án (6 đề)](../de-thi/images/de-thi-hoc-ki-1-toan-lop-10-co-dap-an-dtvj2021-73678.png)
![[năm 2025] Đề thi Học kì 1 Toán lớp 10 có đáp án (6 đề)](../de-thi/images/de-thi-hoc-ki-1-toan-lop-10-co-dap-an-dtvj2021-73679.png)
![[năm 2025] Đề thi Học kì 1 Toán lớp 10 có đáp án (6 đề)](../de-thi/images/de-thi-hoc-ki-1-toan-lop-10-co-dap-an-dtvj2021-73910.png)
![[năm 2025] Đề thi Học kì 1 Toán lớp 10 có đáp án (6 đề)](../de-thi/images/de-thi-hoc-ki-1-toan-lop-10-co-dap-an-dtvj2021-73911.png)
![[năm 2025] Đề thi Học kì 1 Toán lớp 10 có đáp án (6 đề)](../de-thi/images/de-thi-hoc-ki-1-toan-lop-10-co-dap-an-dtvj2021-73912.png)
![[năm 2025] Đề thi Học kì 1 Toán lớp 10 có đáp án (6 đề)](../de-thi/images/de-thi-hoc-ki-1-toan-lop-10-co-dap-an-dtvj2021-73913.png)
Vậy S = {
}![[năm 2025] Đề thi Học kì 1 Toán lớp 10 có đáp án (6 đề)](../de-thi/images/de-thi-hoc-ki-1-toan-lop-10-co-dap-an-dtvj2021-73916.png)
![[năm 2025] Đề thi Học kì 1 Toán lớp 10 có đáp án (6 đề)](../de-thi/images/de-thi-hoc-ki-1-toan-lop-10-co-dap-an-dtvj2021-73917.png)
Vậy ![[năm 2025] Đề thi Học kì 1 Toán lớp 10 có đáp án (6 đề)](../de-thi/images/de-thi-hoc-ki-1-toan-lop-10-co-dap-an-dtvj2021-73919.png)
![[năm 2025] Đề thi Học kì 1 Toán lớp 10 có đáp án (6 đề)](../de-thi/images/de-thi-hoc-ki-1-toan-lop-10-co-dap-an-dtvj2021-73920.png)
![[năm 2025] Đề thi Học kì 1 Toán lớp 10 có đáp án (6 đề)](../de-thi/images/de-thi-hoc-ki-1-toan-lop-10-co-dap-an-dtvj2021-73921.png)
![[năm 2025] Đề thi Học kì 1 Toán lớp 10 có đáp án (6 đề)](../de-thi/images/de-thi-hoc-ki-1-toan-lop-10-co-dap-an-dtvj2021-73922.png)
![[năm 2025] Đề thi Học kì 1 Toán lớp 10 có đáp án (6 đề)](../de-thi/images/de-thi-hoc-ki-1-toan-lop-10-co-dap-an-dtvj2021-73923.png)
![[năm 2025] Đề thi Học kì 1 Toán lớp 10 có đáp án (6 đề)](../de-thi/images/de-thi-hoc-ki-1-toan-lop-10-co-dap-an-dtvj2021-73924.png)
nên tam giác ABC vuông tại A![[năm 2025] Đề thi Học kì 1 Toán lớp 10 có đáp án (6 đề)](../de-thi/images/de-thi-hoc-ki-1-toan-lop-10-co-dap-an-dtvj2021-73926.png)
![[năm 2025] Đề thi Học kì 1 Toán lớp 10 có đáp án (6 đề)](../de-thi/images/de-thi-hoc-ki-1-toan-lop-10-co-dap-an-dtvj2021-73927.png)
![[năm 2025] Đề thi Học kì 1 Toán lớp 10 có đáp án (6 đề)](../de-thi/images/de-thi-hoc-ki-1-toan-lop-10-co-dap-an-dtvj2021-73928.png)
![[năm 2025] Đề thi Học kì 1 Toán lớp 10 có đáp án (6 đề)](../de-thi/images/de-thi-hoc-ki-1-toan-lop-10-co-dap-an-dtvj2021-73929.png)
![[năm 2025] Đề thi Học kì 1 Toán lớp 10 có đáp án (6 đề)](../de-thi/images/de-thi-hoc-ki-1-toan-lop-10-co-dap-an-dtvj2021-73930.png)


Giải bài tập SGK & SBT
Tài liệu giáo viên
Sách
Khóa học
Thi online
Hỏi đáp

