[năm 2025] Đề thi Học kì 1 Toán 12 có đáp án (6 đề)
[năm 2025] Đề thi Học kì 1 Toán 12 có đáp án (6 đề)
Tuyển chọn [năm 2025] Đề thi Học kì 1 Toán 12 có đáp án (6 đề) chọn lọc được các Giáo viên nhiều năm kinh nghiệm biên soạn và sưu tầm từ Đề thi Toán 12 của các trường THPT. Hi vọng bộ đề thi này sẽ giúp học sinh ôn tập và đạt kết quả cao trong các bài thi Học kì 1 môn Toán 12.
Sở Giáo dục và Đào tạo .....
Đề thi Học kì 1
năm 2025
Bài thi môn: Toán 12
Thời gian làm bài: phút
(không kể thời gian phát đề)
(Đề số 1)
Câu 1: Đồ thị hàm số y = x4 - 2mx2 + m -1 cắt trục hoành tại 4 điểm phân biệt khi:
A. m>1 B. m>0 C. m=1 D. 0<m<1
Câu 2: Nếu log7x = 2log7(a2b3) - 3log7(ab2)(a,b>0) thì x bằng:
A. a B. a2b3 C. a6b12 D. ab
Câu 3: Đạo hàm của hàm số
là
A. x3 B. 3x2 C. 1 D. x2
Câu 4: Giá trị của đạo hàm của y = log2(cosx) tại
là:
![[năm 2025] Đề thi Học kì 1 Toán 12 có đáp án (6 đề)](../de-thi/images/de-thi-hoc-ki-1-toan-lop-12-co-dap-an-dtvj2021-4.png)
Câu 5: Giá trị nhỏ nhất của hàm số
là:
![[năm 2025] Đề thi Học kì 1 Toán 12 có đáp án (6 đề)](../de-thi/images/de-thi-hoc-ki-1-toan-lop-12-co-dap-an-dtvj2021-6.png)
Câu 6: Tập xác định của hàm số
là:
![[năm 2025] Đề thi Học kì 1 Toán 12 có đáp án (6 đề)](../de-thi/images/de-thi-hoc-ki-1-toan-lop-12-co-dap-an-dtvj2021-8.png)
Câu 7: Cho log25 = a. Khi đó log1004 tính theo a là:
![[năm 2025] Đề thi Học kì 1 Toán 12 có đáp án (6 đề)](../de-thi/images/de-thi-hoc-ki-1-toan-lop-12-co-dap-an-dtvj2021-9.png)
Câu 8: Hàm số y = (x2 - x - 2) -5 có tập xác định là:
![[năm 2025] Đề thi Học kì 1 Toán 12 có đáp án (6 đề)](../de-thi/images/de-thi-hoc-ki-1-toan-lop-12-co-dap-an-dtvj2021-10.png)
Câu 9: Hai khối chóp lần lượt có diện tích đáy, chiều cao và thể tích là B1, h1, V1 và B2,h2,V2. Biết B1 = 2B2 và h1 = h2. Khi đó
bằng:
![[năm 2025] Đề thi Học kì 1 Toán 12 có đáp án (6 đề)](../de-thi/images/de-thi-hoc-ki-1-toan-lop-12-co-dap-an-dtvj2021-12.png)
Câu 10: Miền giá trị của hàm số
là:
![[năm 2025] Đề thi Học kì 1 Toán 12 có đáp án (6 đề)](../de-thi/images/de-thi-hoc-ki-1-toan-lop-12-co-dap-an-dtvj2021-14.png)
Câu 11: Cho khối cầu có thể tích bằng
, khi đó bán kính mặt cầu là:
![[năm 2025] Đề thi Học kì 1 Toán 12 có đáp án (6 đề)](../de-thi/images/de-thi-hoc-ki-1-toan-lop-12-co-dap-an-dtvj2021-16.png)
Câu 12: Viết biểu thức
dưới dạng lũy thừa với số mũ hữu tỉ, ta được
![[năm 2025] Đề thi Học kì 1 Toán 12 có đáp án (6 đề)](../de-thi/images/de-thi-hoc-ki-1-toan-lop-12-co-dap-an-dtvj2021-18.png)
Câu 13: Cho hàm số y = f(x) có đồ thị như hình vẽ. Trên đoạn [1;3] hàm số có giá trị lớn nhất M, giá trị nhỏ nhất m là:
![[năm 2025] Đề thi Học kì 1 Toán 12 có đáp án (6 đề)](../de-thi/images/de-thi-hoc-ki-1-toan-lop-12-co-dap-an-dtvj2021-19.png)
A. M=2;m=1
B. M=3;m=1
C. M=0;m= -4
D. M=0;m= -2
Câu 14: Cho hình trụ có bán kính đáy 3cm, đường cao 4cm, diện tích xung quanh của hình trụ này là:
![[năm 2025] Đề thi Học kì 1 Toán 12 có đáp án (6 đề)](../de-thi/images/de-thi-hoc-ki-1-toan-lop-12-co-dap-an-dtvj2021-20.png)
Câu 15: Khối chóp S.ABCD có đáy là hình vuông cạnh 2a và chiều cao SA bằng a. Thể tích khối cầu ngoại tiếp hình chóp S.ABCD bằng:
![[năm 2025] Đề thi Học kì 1 Toán 12 có đáp án (6 đề)](../de-thi/images/de-thi-hoc-ki-1-toan-lop-12-co-dap-an-dtvj2021-21.png)
Câu 16: Khối chóp tứ giác đều có cạnh đáy bằng
và chiều cao bằng 2a thì diện tích xung quanh bằng:
A. 3a2 B. 24a2 C. 12a2 D. 6a2
Câu 17: Cho logab = 5; logac = 2. Khi đó
bằng
A. 7 B. 10 C. 14 D. 13
Câu 18: Khẳng định nào sau đây là đúng về đồ thị hàm số y = x4 + 2x2 + 3
A. Đồ thị hàm số có điểm cực đại và không có điểm cực tiểu
B. Đồ thị hàm số có điểm chung với trục hoành
C. Đồ thị hàm số nhận trục hoành làm trục đối xứng
D. Đồ thị hàm số có điểm cực tiểu và không có điểm cực đại
Câu 19: Đường thẳng y = 2 là tiệm cận ngang của đồ thị hàm số nào?
![[năm 2025] Đề thi Học kì 1 Toán 12 có đáp án (6 đề)](../de-thi/images/de-thi-hoc-ki-1-toan-lop-12-co-dap-an-dtvj2021-24.png)
Câu 20: Cho hàm số
đồ thị (C). Phương trình tiếp tuyến của (C) tại điểm có hoành độ là nghiệm của phương trình y'' = 0 song song với đường thẳng
![[năm 2025] Đề thi Học kì 1 Toán 12 có đáp án (6 đề)](../de-thi/images/de-thi-hoc-ki-1-toan-lop-12-co-dap-an-dtvj2021-26.png)
Câu 21: Mỗi đỉnh của một hình đa diện là đỉnh chung của ít nhất:
A. Hai cạnh B. Năm cạnh C. Ba cạnh D. Bốn cạnh
Câu 22: Tiếp tuyến của đồ thị hàm số
tại điểm có hoành độ bằng 2 vuông góc với đường thẳng:
![[năm 2025] Đề thi Học kì 1 Toán 12 có đáp án (6 đề)](../de-thi/images/de-thi-hoc-ki-1-toan-lop-12-co-dap-an-dtvj2021-28.png)
Câu 23: Nếu f(x) = 3x thì f(x + 1) + f(x + 2) bằng
A. 6f(x) B. 9f(x) C. 12f(x) D. 3f(x)
Câu 24: Cho log25 = a; log35 = b. Khi đó log125 tính theo a và b là:
![[năm 2025] Đề thi Học kì 1 Toán 12 có đáp án (6 đề)](../de-thi/images/de-thi-hoc-ki-1-toan-lop-12-co-dap-an-dtvj2021-29.png)
Câu 25: Cho hình nón có bán kính đáy là 3a, chiều cao là 4a, thể tích của hình nón là:
![[năm 2025] Đề thi Học kì 1 Toán 12 có đáp án (6 đề)](../de-thi/images/de-thi-hoc-ki-1-toan-lop-12-co-dap-an-dtvj2021-30.png)
Câu 26: Cho hàm số y = x3 - 2x2 + 2x có đồ thị ((C). Gọi x1,x2 là hoành độ các điểm M, N trên (C), mà tại đó tiếp tuyến của (C) vuông góc với đường thẳng y = -x + 2007. Khi đó x1 + x2 bằng: Chọn 1 câu đúng
![[năm 2025] Đề thi Học kì 1 Toán 12 có đáp án (6 đề)](../de-thi/images/de-thi-hoc-ki-1-toan-lop-12-co-dap-an-dtvj2021-31.png)
Câu 27: Tiếp tuyến tại điểm cực tiểu của đồ thị hàm số
.
A. Song song với trục hoành B. Đi qua gốc tọa độ
C. Có hệ số góc dương D. Có hệ số góc bằng -1
Câu 28: Giá trị lớn nhất của hàm số
là:
A. -3 B. 3 C. 5 D. -1
Câu 29: Cho logax = 2logab + 3logac - 1 khi đó x bằng
![[năm 2025] Đề thi Học kì 1 Toán 12 có đáp án (6 đề)](../de-thi/images/de-thi-hoc-ki-1-toan-lop-12-co-dap-an-dtvj2021-34.png)
Câu 30: Cho hàm số
. Với giá trị m để đường thẳng (d): y = -x + m cắt đồ thị hàm số tại 2 điểm phân biệt:
![[năm 2025] Đề thi Học kì 1 Toán 12 có đáp án (6 đề)](../de-thi/images/de-thi-hoc-ki-1-toan-lop-12-co-dap-an-dtvj2021-36.png)
Câu 31: Cho hàm số y = ln3x có đồ thị (C). Hệ số góc của tiếp tuyến với (C) tại x = e là:
![[năm 2025] Đề thi Học kì 1 Toán 12 có đáp án (6 đề)](../de-thi/images/de-thi-hoc-ki-1-toan-lop-12-co-dap-an-dtvj2021-37.png)
Câu 32: Khối lăng trụ đứng ABC.A'B'C' có đáy ABC là tam giác vuông cân tại A. Biết diện tích mặt bên BCC'B' bằng 16a2 và thể tích khối lăng trụ bằng
. Diện tích đáy của lăng trụ bằng
![[năm 2025] Đề thi Học kì 1 Toán 12 có đáp án (6 đề)](../de-thi/images/de-thi-hoc-ki-1-toan-lop-12-co-dap-an-dtvj2021-39.png)
Câu 33: Khối chóp có diện tích đáy 4m2 và chiều cao 1,5m có thể tích là:
A. 4m3 B. 2m3 C. 6m3 D. 4,5m3
Câu 34: Gọi M(x;y) là một điểm bất kì trên đồ thị (C) của hàm số
. Tích khoảng cách từ M đến hai đường tiệm cận của (C) luôn bằng:
A. 6 B. 7 C. 3 D. 2
Câu 35: Tìm khẳng định sai trong các khẳng định sau:
A. Có một mặt cầu đi qua các đỉnh của một hình hộp chữ nhật
B. Có một mặt cầu đi qua các đỉnh của một hình lăng trụ có đáy là một tứ giác lồi
C. Có một mặt cầu đi qua các đỉnh của một hình chóp đều
D. Có một mặt cầu đi qua các đỉnh của một hình tứ diện bất kì
Câu 36: Đồ thị hàm số nào sau đây không có tiệm cận đứng?
![[năm 2025] Đề thi Học kì 1 Toán 12 có đáp án (6 đề)](../de-thi/images/de-thi-hoc-ki-1-toan-lop-12-co-dap-an-dtvj2021-41.png)
Câu 37: Cho hàm số y = x3 - 8x. Số giao điểm của đồ thị hàm số với trục hoành là:
A. 0 B. 3 C. 2 D. 1
Câu 38: Một hình nón tròn xoay có thiết diện qua trục là một tam giác vuông cân có cạnh bằng a. Diện tích xung quanh hình nón bằng:
![[năm 2025] Đề thi Học kì 1 Toán 12 có đáp án (6 đề)](../de-thi/images/de-thi-hoc-ki-1-toan-lop-12-co-dap-an-dtvj2021-42.png)
Câu 39: Gọi M, m lần lượt là giá trị lớn nhất, giá trị nhỏ nhất của hàm số
. Khi đó tổng M + n bằng:
![[năm 2025] Đề thi Học kì 1 Toán 12 có đáp án (6 đề)](../de-thi/images/de-thi-hoc-ki-1-toan-lop-12-co-dap-an-dtvj2021-44.png)
Câu 40: Gọi M và N là giao điểm của đồ thị
và đường thẳng y = x + 2. Khi đó hoành độ trung điểm I của đoạn MN bằng:
![[năm 2025] Đề thi Học kì 1 Toán 12 có đáp án (6 đề)](../de-thi/images/de-thi-hoc-ki-1-toan-lop-12-co-dap-an-dtvj2021-46.png)
Câu 41: Trong các tam giác vuông có độ dài cạnh huyền bằng 10cm. Tam giác có diện tích lớn nhất bằng:
A. 100cm2 B. 25cm2 C. 50cm2 D. 80cm2
Câu 42: Giá trị của biểu thức
bằng:
![[năm 2025] Đề thi Học kì 1 Toán 12 có đáp án (6 đề)](../de-thi/images/de-thi-hoc-ki-1-toan-lop-12-co-dap-an-dtvj2021-48.png)
Câu 43: Để tiệm cận đứng của đồ thị hàm số
đi qua
thì giá trị thích hợp của m là:
![[năm 2025] Đề thi Học kì 1 Toán 12 có đáp án (6 đề)](../de-thi/images/de-thi-hoc-ki-1-toan-lop-12-co-dap-an-dtvj2021-51.png)
Câu 44: Một hình trụ có bán kính đáy bằng 50cm, và chiều cao h = 50cm. Diện tích xung quanh hình trụ bằng:
![[năm 2025] Đề thi Học kì 1 Toán 12 có đáp án (6 đề)](../de-thi/images/de-thi-hoc-ki-1-toan-lop-12-co-dap-an-dtvj2021-52.png)
Câu 45: Tập xác định của hàm số
là:
![[năm 2025] Đề thi Học kì 1 Toán 12 có đáp án (6 đề)](../de-thi/images/de-thi-hoc-ki-1-toan-lop-12-co-dap-an-dtvj2021-54.png)
Câu 46: Cho hình lập phương ABCD.A'B'C'D' cạnh a. Bán kính mặt cầu tiếp xúc với 12 cạnh của hình lập phương bằng:
![[năm 2025] Đề thi Học kì 1 Toán 12 có đáp án (6 đề)](../de-thi/images/de-thi-hoc-ki-1-toan-lop-12-co-dap-an-dtvj2021-55.png)
Câu 47: Cho hàm số y = -x3 - 3x -2. Tiếp tuyến tại giao điểm của đồ thị hàm số với đường thẳng y = -x - 2 là:
A. y = 3x + 2 B. y = -3x - 2 C. y = -3x D. y = -3x + 2
Câu 48: Cho hàm số
. Khẳng định nào sau đây sai?
![[năm 2025] Đề thi Học kì 1 Toán 12 có đáp án (6 đề)](../de-thi/images/de-thi-hoc-ki-1-toan-lop-12-co-dap-an-dtvj2021-57.png)
Câu 49: Đạo hàm của hàm số y = xeex là:
![[năm 2025] Đề thi Học kì 1 Toán 12 có đáp án (6 đề)](../de-thi/images/de-thi-hoc-ki-1-toan-lop-12-co-dap-an-dtvj2021-58.png)
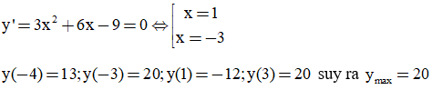
Câu 50: Trong tất cả các tiếp tuyến của đồ thị hàm số f(x) = x3 + 3x2 + 1. Tiếp tuyến có hệ số góc nhỏ nhất là:
A. y = -3x + 2 B. y = -3x C. y = 1 D. y = -3x - 3
---------------------HẾT---------------------
ĐÁP ÁN
|
1. A |
2. A |
3. B |
4. C |
5. C |
6. A |
7. C |
|
8. C |
9. A |
10. A |
11. B |
12. B |
13. C |
14. C |
|
15. A |
16. D |
17. C |
18. D |
19. A |
20. A |
21. C |
|
22. D |
23. C |
24. C |
25. B |
26. C |
27. A |
28. A |
|
29. D |
30. B |
31. A |
32. A |
33. B |
34. B |
35. B |
|
36. D |
37. B |
38. D |
39. D |
40. D |
41. B |
42. D |
|
43. D |
44. D |
45. D |
46. B |
47. B |
48. D |
49. D |
|
50. B |
|
|
|
|
|
|
LỜI GIẢI CHI TIẾT
Câu 1: Đáp án A
Xét phương trình: x4 - 2mx2 + m - 1 = 0
Phương trình đã cho có 4 nghiệm phân biệt khi (1) có 2 nghiệm phân biệt dương
![[năm 2025] Đề thi Học kì 1 Toán 12 có đáp án (6 đề)](../de-thi/images/de-thi-hoc-ki-1-toan-lop-12-co-dap-an-dtvj2021-60.png)
Câu 2: Đáp án A
![[năm 2025] Đề thi Học kì 1 Toán 12 có đáp án (6 đề)](../de-thi/images/de-thi-hoc-ki-1-toan-lop-12-co-dap-an-dtvj2021-61.png)
Câu 3: Đáp án B
![[năm 2025] Đề thi Học kì 1 Toán 12 có đáp án (6 đề)](../de-thi/images/de-thi-hoc-ki-1-toan-lop-12-co-dap-an-dtvj2021-62.png)
Câu 4: Đáp án C
![[năm 2025] Đề thi Học kì 1 Toán 12 có đáp án (6 đề)](../de-thi/images/de-thi-hoc-ki-1-toan-lop-12-co-dap-an-dtvj2021-63.png)
Câu 5: Đáp án C
![[năm 2025] Đề thi Học kì 1 Toán 12 có đáp án (6 đề)](../de-thi/images/de-thi-hoc-ki-1-toan-lop-12-co-dap-an-dtvj2021-64.png)
Vậy GTNN là -1
Câu 6: Đáp án A
Hàm số xác định khi:
![[năm 2025] Đề thi Học kì 1 Toán 12 có đáp án (6 đề)](../de-thi/images/de-thi-hoc-ki-1-toan-lop-12-co-dap-an-dtvj2021-65.png)
Câu 7: Đáp án C
![[năm 2025] Đề thi Học kì 1 Toán 12 có đáp án (6 đề)](../de-thi/images/de-thi-hoc-ki-1-toan-lop-12-co-dap-an-dtvj2021-66.png)
Câu 8: Đáp án C
Hàm số xác định khi:
![[năm 2025] Đề thi Học kì 1 Toán 12 có đáp án (6 đề)](../de-thi/images/de-thi-hoc-ki-1-toan-lop-12-co-dap-an-dtvj2021-67.png)
Câu 9: Đáp án A
Câu 10: Đáp án A
![[năm 2025] Đề thi Học kì 1 Toán 12 có đáp án (6 đề)](../de-thi/images/de-thi-hoc-ki-1-toan-lop-12-co-dap-an-dtvj2021-68.png)
Câu 11: Đáp án B
![[năm 2025] Đề thi Học kì 1 Toán 12 có đáp án (6 đề)](../de-thi/images/de-thi-hoc-ki-1-toan-lop-12-co-dap-an-dtvj2021-69.png)
Câu 12: Đáp án B
![[năm 2025] Đề thi Học kì 1 Toán 12 có đáp án (6 đề)](../de-thi/images/de-thi-hoc-ki-1-toan-lop-12-co-dap-an-dtvj2021-70.png)
Câu 13: Đáp án C
Câu 14: Đáp án C
Diện tích xung quanh khối trụ là: ![[năm 2025] Đề thi Học kì 1 Toán 12 có đáp án (6 đề)](../de-thi/images/de-thi-hoc-ki-1-toan-lop-12-co-dap-an-dtvj2021-71.png)
Câu 15: Đáp án A
![[năm 2025] Đề thi Học kì 1 Toán 12 có đáp án (6 đề)](../de-thi/images/de-thi-hoc-ki-1-toan-lop-12-co-dap-an-dtvj2021-72.png)
Gọi I là trung điểm của SC
Vì tam giác SAC vuông nên IS=IC=IA
Mặt khác:
nên tam giác SBC vuông tại B =>IB=IC=IA
Tương tự, ta cũng có: ID=IS=IC
Do đó I là tâm của mặt cầu ngoại tiếp và mặt cầu này có bán kính là: ![[năm 2025] Đề thi Học kì 1 Toán 12 có đáp án (6 đề)](../de-thi/images/de-thi-hoc-ki-1-toan-lop-12-co-dap-an-dtvj2021-74.png)
Vậy thể tích khối cầu là: ![[năm 2025] Đề thi Học kì 1 Toán 12 có đáp án (6 đề)](../de-thi/images/de-thi-hoc-ki-1-toan-lop-12-co-dap-an-dtvj2021-75.png)
Câu 16: Đáp án D
![[năm 2025] Đề thi Học kì 1 Toán 12 có đáp án (6 đề)](../de-thi/images/de-thi-hoc-ki-1-toan-lop-12-co-dap-an-dtvj2021-76.png)
Gọi O, I lần lượt là tâm của ABCD và trung điểm của CD
![[năm 2025] Đề thi Học kì 1 Toán 12 có đáp án (6 đề)](../de-thi/images/de-thi-hoc-ki-1-toan-lop-12-co-dap-an-dtvj2021-77.png)
Diện tích xung quanh là:
![[năm 2025] Đề thi Học kì 1 Toán 12 có đáp án (6 đề)](../de-thi/images/de-thi-hoc-ki-1-toan-lop-12-co-dap-an-dtvj2021-78.png)
Câu 17: Đáp án C
![[năm 2025] Đề thi Học kì 1 Toán 12 có đáp án (6 đề)](../de-thi/images/de-thi-hoc-ki-1-toan-lop-12-co-dap-an-dtvj2021-79.png)
Câu 18: Đáp án D
![[năm 2025] Đề thi Học kì 1 Toán 12 có đáp án (6 đề)](../de-thi/images/de-thi-hoc-ki-1-toan-lop-12-co-dap-an-dtvj2021-80.png)
Vậy hàm số chỉ có 1 điểm cực tiểu.
Câu 19: Đáp án A
![[năm 2025] Đề thi Học kì 1 Toán 12 có đáp án (6 đề)](../de-thi/images/de-thi-hoc-ki-1-toan-lop-12-co-dap-an-dtvj2021-81.png)
Câu 20: Đáp án A
![[năm 2025] Đề thi Học kì 1 Toán 12 có đáp án (6 đề)](../de-thi/images/de-thi-hoc-ki-1-toan-lop-12-co-dap-an-dtvj2021-82.png)
Câu 21: Đáp án C
Câu 22: Đáp án D
![[năm 2025] Đề thi Học kì 1 Toán 12 có đáp án (6 đề)](../de-thi/images/de-thi-hoc-ki-1-toan-lop-12-co-dap-an-dtvj2021-83.png)
Câu 23: Đáp án C
f(x + 1) + f(x + 2) = 3.3x +9.3x =12.3x =12f(x)
Câu 24: Đáp án C
![[năm 2025] Đề thi Học kì 1 Toán 12 có đáp án (6 đề)](../de-thi/images/de-thi-hoc-ki-1-toan-lop-12-co-dap-an-dtvj2021-84.png)
Câu 25: Đáp án B
Thể tích khối nón là: ![[năm 2025] Đề thi Học kì 1 Toán 12 có đáp án (6 đề)](../de-thi/images/de-thi-hoc-ki-1-toan-lop-12-co-dap-an-dtvj2021-85.png)
Câu 26: Đáp án C
![[năm 2025] Đề thi Học kì 1 Toán 12 có đáp án (6 đề)](../de-thi/images/de-thi-hoc-ki-1-toan-lop-12-co-dap-an-dtvj2021-86.png)
Câu 27: Đáp án A
![[năm 2025] Đề thi Học kì 1 Toán 12 có đáp án (6 đề)](../de-thi/images/de-thi-hoc-ki-1-toan-lop-12-co-dap-an-dtvj2021-87.png)
Tiếp tuyến tại điểm cực tiểu là: y = -5
Do đó tiếp tuyến song song với Ox
Câu 28: Đáp án A
![[năm 2025] Đề thi Học kì 1 Toán 12 có đáp án (6 đề)](../de-thi/images/de-thi-hoc-ki-1-toan-lop-12-co-dap-an-dtvj2021-88.png)
Bảng biến thiên:
![[năm 2025] Đề thi Học kì 1 Toán 12 có đáp án (6 đề)](../de-thi/images/de-thi-hoc-ki-1-toan-lop-12-co-dap-an-dtvj2021-89.png)
Từ bảng biến thiên ta thấy GTLN của hàm số là: y(-1) = -3
Câu 29: Đáp án D
![[năm 2025] Đề thi Học kì 1 Toán 12 có đáp án (6 đề)](../de-thi/images/de-thi-hoc-ki-1-toan-lop-12-co-dap-an-dtvj2021-90.png)
Câu 30: Đáp án B
![[năm 2025] Đề thi Học kì 1 Toán 12 có đáp án (6 đề)](../de-thi/images/de-thi-hoc-ki-1-toan-lop-12-co-dap-an-dtvj2021-91.png)
Câu 31: Đáp án A
![[năm 2025] Đề thi Học kì 1 Toán 12 có đáp án (6 đề)](../de-thi/images/de-thi-hoc-ki-1-toan-lop-12-co-dap-an-dtvj2021-92.png)
Câu 32: Đáp án A
![[năm 2025] Đề thi Học kì 1 Toán 12 có đáp án (6 đề)](../de-thi/images/de-thi-hoc-ki-1-toan-lop-12-co-dap-an-dtvj2021-93.png)
Câu 33: Đáp án B
![[năm 2025] Đề thi Học kì 1 Toán 12 có đáp án (6 đề)](../de-thi/images/de-thi-hoc-ki-1-toan-lop-12-co-dap-an-dtvj2021-94.png)
Câu 34: Đáp án B
![[năm 2025] Đề thi Học kì 1 Toán 12 có đáp án (6 đề)](../de-thi/images/de-thi-hoc-ki-1-toan-lop-12-co-dap-an-dtvj2021-95.png)
Câu 35: Đáp án B
Câu 36: Đáp án D
Vì hàm số luôn xác định ![[năm 2025] Đề thi Học kì 1 Toán 12 có đáp án (6 đề)](../de-thi/images/de-thi-hoc-ki-1-toan-lop-12-co-dap-an-dtvj2021-96.png)
Câu 37: Đáp án B
![[năm 2025] Đề thi Học kì 1 Toán 12 có đáp án (6 đề)](../de-thi/images/de-thi-hoc-ki-1-toan-lop-12-co-dap-an-dtvj2021-97.png)
Vậy có 3 giao điểm.
Câu 38: Đáp án D
![[năm 2025] Đề thi Học kì 1 Toán 12 có đáp án (6 đề)](../de-thi/images/de-thi-hoc-ki-1-toan-lop-12-co-dap-an-dtvj2021-98.png)
Câu 39: Đáp án D
![[năm 2025] Đề thi Học kì 1 Toán 12 có đáp án (6 đề)](../de-thi/images/de-thi-hoc-ki-1-toan-lop-12-co-dap-an-dtvj2021-99.png)
Câu 40: Đáp án D
Xét:
![[năm 2025] Đề thi Học kì 1 Toán 12 có đáp án (6 đề)](../de-thi/images/de-thi-hoc-ki-1-toan-lop-12-co-dap-an-dtvj2021-100.png)
Câu 41: Đáp án B
Tam giác vuông có diện tích lớn nhất khi nó là tam giác vuông cân
=>diện tích đó là: ![[năm 2025] Đề thi Học kì 1 Toán 12 có đáp án (6 đề)](../de-thi/images/de-thi-hoc-ki-1-toan-lop-12-co-dap-an-dtvj2021-101.png)
Câu 42: Đáp án D
![[năm 2025] Đề thi Học kì 1 Toán 12 có đáp án (6 đề)](../de-thi/images/de-thi-hoc-ki-1-toan-lop-12-co-dap-an-dtvj2021-102.png)
Câu 43: Đáp án D
![[năm 2025] Đề thi Học kì 1 Toán 12 có đáp án (6 đề)](../de-thi/images/de-thi-hoc-ki-1-toan-lop-12-co-dap-an-dtvj2021-103.png)
Câu 44: Đáp án D
Diện tích xung quanh hình trụ:
![[năm 2025] Đề thi Học kì 1 Toán 12 có đáp án (6 đề)](../de-thi/images/de-thi-hoc-ki-1-toan-lop-12-co-dap-an-dtvj2021-104.png)
Câu 45: Đáp án D
Hàm số xác định khi:
![[năm 2025] Đề thi Học kì 1 Toán 12 có đáp án (6 đề)](../de-thi/images/de-thi-hoc-ki-1-toan-lop-12-co-dap-an-dtvj2021-105.png)
Câu 46: Đáp án B
![[năm 2025] Đề thi Học kì 1 Toán 12 có đáp án (6 đề)](../de-thi/images/de-thi-hoc-ki-1-toan-lop-12-co-dap-an-dtvj2021-106.png)
Gọi I là tâm hình lập phương, O là tâm hình vuông ABCD, E là trung điểm của AC
Ta có: ![[năm 2025] Đề thi Học kì 1 Toán 12 có đáp án (6 đề)](../de-thi/images/de-thi-hoc-ki-1-toan-lop-12-co-dap-an-dtvj2021-107.png)
Xét tam giác AEI vuông tại E:
và IE chính là bán kính mặt cầu tiếp xúc với 12 cạnh của hình lập phương.
Câu 47: Đáp án B
![[năm 2025] Đề thi Học kì 1 Toán 12 có đáp án (6 đề)](../de-thi/images/de-thi-hoc-ki-1-toan-lop-12-co-dap-an-dtvj2021-109.png)
Do đó tiếp tuyến tại giao điểm là: y = -3x - 2
Câu 48: Đáp án D
![[năm 2025] Đề thi Học kì 1 Toán 12 có đáp án (6 đề)](../de-thi/images/de-thi-hoc-ki-1-toan-lop-12-co-dap-an-dtvj2021-110.png)
Câu 49: Đáp án D
![[năm 2025] Đề thi Học kì 1 Toán 12 có đáp án (6 đề)](../de-thi/images/de-thi-hoc-ki-1-toan-lop-12-co-dap-an-dtvj2021-111.png)
Câu 50: Đáp án B
Gọi M(a; b) là tiếp điểm
f'(x) = 3x2 +6x
Hệ số góc của tiếp tuyến là: ![[năm 2025] Đề thi Học kì 1 Toán 12 có đáp án (6 đề)](../de-thi/images/de-thi-hoc-ki-1-toan-lop-12-co-dap-an-dtvj2021-112.png)
=>hệ số góc nhỏ nhất là -3 khi a = -1
Vậy tiếp tuyến là: y = -3x
![[năm 2025] Đề thi Học kì 1 Toán 12 có đáp án (6 đề)](../de-thi/images/de-thi-hoc-ki-1-toan-lop-12-co-dap-an-dtvj2021.png)
Sở Giáo dục và Đào tạo .....
Đề thi Học kì 1
năm 2025
Bài thi môn: Toán 12
Thời gian làm bài: phút
(không kể thời gian phát đề)
(Đề số 2)
Câu 1. Hỏi hàm số y = 2x4 + 1 đồng biến trên khoảng nào?
![[năm 2025] Đề thi Học kì 1 Toán 12 có đáp án (6 đề)](../de-thi/images/de-thi-hoc-ki-1-toan-lop-12-co-dap-an-dtvj2021-113.png)
Câu 2. Số điểm cực trị của hàm số là y = -x3 + 3x2 + x + 1
A. 2.
B. 3.
C. 1.
D. 0.
Câu 3. Tìm giá trị lớn nhất của hàm số y = -x3 +3x2 trên đoạn [-2;1]
![[năm 2025] Đề thi Học kì 1 Toán 12 có đáp án (6 đề)](../de-thi/images/de-thi-hoc-ki-1-toan-lop-12-co-dap-an-dtvj2021-114.png)
Câu 4. Đồ thị hàm số
có các đường tiệm cận là:
A. y = -2 và x = -2.
B. y = 2 và x = -2 .
C. y = -2 và x = 2 .
D. y = 2 và x = 2 .
Câu 5. Cho đồ thị như hình vẽ bên. Đây là đồ thị của hàm số nào?
![[năm 2025] Đề thi Học kì 1 Toán 12 có đáp án (6 đề)](../de-thi/images/de-thi-hoc-ki-1-toan-lop-12-co-dap-an-dtvj2021-116.png)
A. y = x3 + 3x2.
B. y = -x3 + 3x2.
C. y = -x3 - 3x2.
D. y = x3 + 3x2 + 1
Câu 6. Cho biểu thức
với x là số dương khác 1. Khẳng định nào sau đây sai?
![[năm 2025] Đề thi Học kì 1 Toán 12 có đáp án (6 đề)](../de-thi/images/de-thi-hoc-ki-1-toan-lop-12-co-dap-an-dtvj2021-118.png)
Câu 7. Tính giá trị của biểu thức ![[năm 2025] Đề thi Học kì 1 Toán 12 có đáp án (6 đề)](../de-thi/images/de-thi-hoc-ki-1-toan-lop-12-co-dap-an-dtvj2021-119.png)
![[năm 2025] Đề thi Học kì 1 Toán 12 có đáp án (6 đề)](../de-thi/images/de-thi-hoc-ki-1-toan-lop-12-co-dap-an-dtvj2021-120.png)
Câu 8. Khi tăng độ dài tất cả các cạnh của một khối hộp chữ nhật lên gấp đôi thì thể tích khối hộp tương ứng sẽ:
A. tăng 2 lần.
B. tăng 4 lần.
C. tăng 6 lần.
D. tăng 8 lần.
Câu 9. Cho hình chóp S.ABC có đáy ABC là tam giác vuông tại A, AB = 3a, AC = 4a, SB vuông góc (ABC),
. Tính thể tích khối chóp S.ABC theo a.
![[năm 2025] Đề thi Học kì 1 Toán 12 có đáp án (6 đề)](../de-thi/images/de-thi-hoc-ki-1-toan-lop-12-co-dap-an-dtvj2021-122.png)
Câu 10. Cho hình nón (N) có thiết diện qua trục là một tam giác vuông có cạnh huyền bằng a(cm). Tính thể tích V của khối nón đó.
![[năm 2025] Đề thi Học kì 1 Toán 12 có đáp án (6 đề)](../de-thi/images/de-thi-hoc-ki-1-toan-lop-12-co-dap-an-dtvj2021-123.png)
Câu 11. Tìm tất cả các giá trị của tham số thực m sao cho hàm số
có 2 điểm cực trị.
![[năm 2025] Đề thi Học kì 1 Toán 12 có đáp án (6 đề)](../de-thi/images/de-thi-hoc-ki-1-toan-lop-12-co-dap-an-dtvj2021-125.png)
Câu 12. Hàm số nào nghịch biến trên ![[năm 2025] Đề thi Học kì 1 Toán 12 có đáp án (6 đề)](../de-thi/images/de-thi-hoc-ki-1-toan-lop-12-co-dap-an-dtvj2021-126.png)
![[năm 2025] Đề thi Học kì 1 Toán 12 có đáp án (6 đề)](../de-thi/images/de-thi-hoc-ki-1-toan-lop-12-co-dap-an-dtvj2021-127.png)
Câu 13. Cho hàm số y = -2x3 + 3x2 + 5. Hàm số có giá trị cực tiểu bằng:
A. 5
B. 6
C. 0
D. 1.
Câu 14. Cho hàm số y = x4 + 4x3 - m. Khẳng định nào sau đây là khẳng định sai:
A. Số cực trị của hàm số không phụ thuộc vào tham số.
B. Số cực trị của hàm số phụ thuộc vào tham số .
C. Hàm số có đúng một cực trị.
D. Hàm số có đúng một cực tiểu.
Câu 15. Trong tất cả các hình chữ nhật có chu vi 40cm. Hình chữ nhật có diện tích lớn nhất có diện tích S là
A. S = 100cm2
B. S = 400cm2
C. S = 49cm2
D. S = 40cm2
Câu 16. Một chất điểm chuyển động theo quy luật s = -t3 + 3t2. Khi đó vận tốc v(m/s) của chuyển động đạt giá trị lớn nhất tại thời điểm t (giây) bằng:
![[năm 2025] Đề thi Học kì 1 Toán 12 có đáp án (6 đề)](../de-thi/images/de-thi-hoc-ki-1-toan-lop-12-co-dap-an-dtvj2021-128.png)
Câu 17. Cho hàm số y = f(x) thỏa mãn điều kiện
. Chọn mệnh đề sai trong các mệnh đề sau?
A. Đồ thị hàm số y = f(x) có 2 tiệm cận ngang và 1 tiệm cận đứng.
B. Đồ thị hàm số y = f(x) có 1 tiệm cận ngang và 1 tiệm cận đứng.
C. Đồ thị hàm số y = f(x) có tiệm cận ngang y = a.
D. Đồ thị hàm số y = f(x) có tiệm cận đứng x = x0.
Câu 18. Đồ thị hàm số nào sau đây không có đường tiệm cận:
Câu 19. Biết rằng đường thẳng y = -2x + 2 cắt đồ thị hàm số y = x3 + x + 2 tại điểm duy nhất; kí hiệu x0, y0 là tọa độ của điểm đó. Tìm y0
A. y0 = 2
B. y0 = 4
C. y0 = 0
D. y0 = -1
Câu 20. Tìm tất cả các giá trị thực của tham số m sao cho đồ thị của hàm số
có hai tiệm cận ngang.
A. m < 0
B. m=0
C. m>0
D. Không có giá trị thực nào của m thỏa mãn yêu cầu đề bài.
Câu 21. Giải phương trình log4(x - 1) = 3
A. x=63
B. x=65
C. x=82
D. x=80
Câu 22. Cho các số thực dương a, b với a ≠ 1. Khẳng định nào sau đây là khẳng định đúng?
![[năm 2025] Đề thi Học kì 1 Toán 12 có đáp án (6 đề)](../de-thi/images/de-thi-hoc-ki-1-toan-lop-12-co-dap-an-dtvj2021-132.png)
Câu 23. Tìm nghiệm của bất phương trình
.
![[năm 2025] Đề thi Học kì 1 Toán 12 có đáp án (6 đề)](../de-thi/images/de-thi-hoc-ki-1-toan-lop-12-co-dap-an-dtvj2021-134.png)
Câu 24. Cho các hàm số sau:
![[năm 2025] Đề thi Học kì 1 Toán 12 có đáp án (6 đề)](../de-thi/images/de-thi-hoc-ki-1-toan-lop-12-co-dap-an-dtvj2021-135.png)
Hỏi có bao nhiêu hàm số có tập xác định là
?
A. 1.
B. 2.
C. 3.
D. 4.
Câu 25. Cho hình lăng trụ tứ giác đều ABCD.A'B'C'D', có cạnh đáy bằng a. Góc giữa A'C và đáy (ABCD) bằng 450. Tính thể tích của khối lăng trụ ABC.A'B'C' theo a.
![[năm 2025] Đề thi Học kì 1 Toán 12 có đáp án (6 đề)](../de-thi/images/de-thi-hoc-ki-1-toan-lop-12-co-dap-an-dtvj2021-137.png)
Câu 26. Cho hình nón (N) có đỉnh O và tâm của đáy là H. (α) là mặt phẳng qua O . Nên kí hiệu d(H;(α)) là khoảng cách từ H đến mặt phẳng (α). Biết chiều cao và bán kính đáy của hình nón lần lượt là h,r . Khẳng định nào sau đây là sai?
![[năm 2025] Đề thi Học kì 1 Toán 12 có đáp án (6 đề)](../de-thi/images/de-thi-hoc-ki-1-toan-lop-12-co-dap-an-dtvj2021-138.png)
Câu 27. Cho khối nón (N) đỉnh O có bán kính đáy là r. Biết thể tích khối nón (N) là V0. Tính diện tích S của thiết diện qua trục của khối nón.
![[năm 2025] Đề thi Học kì 1 Toán 12 có đáp án (6 đề)](../de-thi/images/de-thi-hoc-ki-1-toan-lop-12-co-dap-an-dtvj2021-139.png)
Câu 28. Cho khối chóp tam giác S.ABC có (SBA) và (SBC) cùng vuông góc với (ABC), đáy ABC là tam giác đều cạnh a, SC bằng
. Đường cao của khối chóp S.ABC bằng
![[năm 2025] Đề thi Học kì 1 Toán 12 có đáp án (6 đề)](../de-thi/images/de-thi-hoc-ki-1-toan-lop-12-co-dap-an-dtvj2021-141.png)
Câu 29. Cho hình lăng trụ đứng tam giác ABC.A'B'C' có đáy là tam giác vuông cân tại A cạnh bằng
, góc giữa A'C và (ABC) bằng 450. Khi đó đường cao của lăng trụ bằng:
![[năm 2025] Đề thi Học kì 1 Toán 12 có đáp án (6 đề)](../de-thi/images/de-thi-hoc-ki-1-toan-lop-12-co-dap-an-dtvj2021-143.png)
Câu 30. Cho hình chóp S.ABCD có ABCD là hình chữ nhật, AB = 2a , BC = a, SA = a,
, (SAB) vuông góc với (ABCD). Khi đó thể tích của khối chóp SABCD bằng
![[năm 2025] Đề thi Học kì 1 Toán 12 có đáp án (6 đề)](../de-thi/images/de-thi-hoc-ki-1-toan-lop-12-co-dap-an-dtvj2021-145.png)
Câu 31. Tìm giá trị nhỏ nhất của hàm số y = sin3x - 3sinx trên đoạn ![[năm 2025] Đề thi Học kì 1 Toán 12 có đáp án (6 đề)](../de-thi/images/de-thi-hoc-ki-1-toan-lop-12-co-dap-an-dtvj2021-146.png)
![[năm 2025] Đề thi Học kì 1 Toán 12 có đáp án (6 đề)](../de-thi/images/de-thi-hoc-ki-1-toan-lop-12-co-dap-an-dtvj2021-147.png)
Câu 32. Cho hàm số y = mx4 + (m2 -9)x3 + 10. Tìm m để hàm số có 3 điểm cực trị.
![[năm 2025] Đề thi Học kì 1 Toán 12 có đáp án (6 đề)](../de-thi/images/de-thi-hoc-ki-1-toan-lop-12-co-dap-an-dtvj2021-148.png)
Câu 33. Cho log25=a; log35=b. Tính log61080 theo a và b ta được:
![[năm 2025] Đề thi Học kì 1 Toán 12 có đáp án (6 đề)](../de-thi/images/de-thi-hoc-ki-1-toan-lop-12-co-dap-an-dtvj2021-149.png)
Câu 34. Người thợ cần làm một bể cá hai ngăn, không có nắp ở phía trên với thể tích 1,296 m3. Người thợ này cắt các tấm kính ghép lại một bể cá dạng hình hộp chữ nhật với 3 kích thước a, b, c như hình vẽ. Hỏi người thợ phải thiết kế các kích thước a, b, c bằng bao nhiêu để đỡ tốn kính nhất, giả sử độ dầy của kính không đáng kể.
![[năm 2025] Đề thi Học kì 1 Toán 12 có đáp án (6 đề)](../de-thi/images/de-thi-hoc-ki-1-toan-lop-12-co-dap-an-dtvj2021-150.png)
A. a=3,6m; b=0,6m; c=0,6m
B. a=2,4m; b=0,9m; c=0,6m
C. a=1,8m; b=1,2m; c=0,6m
D. a=1,2m; b=1,2m; c=0,9m
Câu 35. Cho hình chóp S.ABCD có hình chiếu vuông góc của S trên mặt đáy ABCD là điểm I thuộc AD sao cho
, ABCD là hình vuông có cạnh bằng a. Khi đó thể tích của khối chóp S.ABCD bằng:
![[năm 2025] Đề thi Học kì 1 Toán 12 có đáp án (6 đề)](../de-thi/images/de-thi-hoc-ki-1-toan-lop-12-co-dap-an-dtvj2021-152.png)
Câu 36. Tìm tất cả các giá trị của m để đường thẳng y=m cắt đồ thị hàm số
tại 6 điểm phân biệt.
A. 0<m<2
B. 0<m<1
C. 1<m<2
D. Không tồn tại
Câu 37. Có tất cả bao nhiêu giá trị của tham số m sao cho hàm số
đồng biến trên khoảng (a;b) và nghịch biến trên các khoảng
.
A. 0.
B. 1.
C. 2.
D. Vô số m.
Câu 38. Cho
với là các số nguyên sao cho các biểu thức có nghĩa. Tính biểu thức log c theo log a.
![[năm 2025] Đề thi Học kì 1 Toán 12 có đáp án (6 đề)](../de-thi/images/de-thi-hoc-ki-1-toan-lop-12-co-dap-an-dtvj2021-157.png)
Câu 39. Cho hình chóp đều S.ABCD có đáy ABCD là hình vuông. Độ dài
. Góc giữa mặt bên và mặt đáy bằng 600. Tính thể tích khối nón có đỉnh S và đáy là đường tròn nội tiếp hình vuông ABCD.
![[năm 2025] Đề thi Học kì 1 Toán 12 có đáp án (6 đề)](../de-thi/images/de-thi-hoc-ki-1-toan-lop-12-co-dap-an-dtvj2021-159.png)
Câu 40. Cho hình lập phương ABCD.A'B'C'D' cạnh a. Gọi M, P lần lượt là trung điểm của AA' và B'C'. N là điểm thuộc cạnh A'D' thỏa mãn 3A'N = ND'. Tính diện tích S0 của thiết diện của (MNP) với hình lập phương.
![[năm 2025] Đề thi Học kì 1 Toán 12 có đáp án (6 đề)](../de-thi/images/de-thi-hoc-ki-1-toan-lop-12-co-dap-an-dtvj2021-160.png)
ĐÁP ÁN CHI TIẾT
Câu 1. Chọn A
Ta có ![[năm 2025] Đề thi Học kì 1 Toán 12 có đáp án (6 đề)](../de-thi/images/de-thi-hoc-ki-1-toan-lop-12-co-dap-an-dtvj2021-161.png)
Câu 2. Lời giải
Chọn A
Hàm số bậc ba đã cho có y' = -3x2 + 6x + 1 là tam thức bậc 2 có 2 nghiệm phân biệt nên hàm số đã cho có 2 cực trị.
Câu 3. Lời giải
Chọn C
![[năm 2025] Đề thi Học kì 1 Toán 12 có đáp án (6 đề)](../de-thi/images/de-thi-hoc-ki-1-toan-lop-12-co-dap-an-dtvj2021-162.png)
Câu 4. Lời giải
Chọn B
Nhắc lại đồ thị hàm số
có đường tiệm cận ngang là
và đường tiệm cận đứng là
.
Câu 5. Lời giải
Chọn A
Khi x tiến tới
thì y tiến tới
, do đó hệ số của x3 phải dương =>Loại B, C
Hàm số đi qua điểm (0;0) nên hàm số ở ý D không thỏa mãn
Câu 6. Lời giải
Chọn B.
![[năm 2025] Đề thi Học kì 1 Toán 12 có đáp án (6 đề)](../de-thi/images/de-thi-hoc-ki-1-toan-lop-12-co-dap-an-dtvj2021-167.png)
Câu 7. Lời giải
Chọn A.
![[năm 2025] Đề thi Học kì 1 Toán 12 có đáp án (6 đề)](../de-thi/images/de-thi-hoc-ki-1-toan-lop-12-co-dap-an-dtvj2021-168.png)
Câu 8. Lời giải
Chọn D.
Giả sử chiều dài, chiều rộng, chiều cao của khối hộp chữ nhật là a,b,c.
Thể tích của khối hộp là V=abc.
Khi tăng tất cả các cạnh của khối hộp lên gấp đôi thì thể tích khối hộp thu được là V' = 2a.2b.2c = 8abc = 8V
Câu 9. Lời giải
Chọn A.
Câu 10. Lời giải
Chọn C
![[năm 2025] Đề thi Học kì 1 Toán 12 có đáp án (6 đề)](../de-thi/images/de-thi-hoc-ki-1-toan-lop-12-co-dap-an-dtvj2021-170.png)
Thiết diện qua trục của hình nón sẽ là một tam giác cân, từ giả thiết suy ra tam giác vuông cân. Đường cao từ đỉnh có góc vuông của thiết diện chính là đường cao của hình nón và độ dài cạnh huyền chính là đường kính đáy của hình nón. Do đó ta có:
![[năm 2025] Đề thi Học kì 1 Toán 12 có đáp án (6 đề)](../de-thi/images/de-thi-hoc-ki-1-toan-lop-12-co-dap-an-dtvj2021-171.png)
Câu 11. Lời giải
Chọn A.
![[năm 2025] Đề thi Học kì 1 Toán 12 có đáp án (6 đề)](../de-thi/images/de-thi-hoc-ki-1-toan-lop-12-co-dap-an-dtvj2021-172.png)
Câu 12. Lời giải
Chọn C
Để hàm số nghịch biến trên R thì hàm số đó phải xác định trên R.
Các hàm số
và y= cotx không xác định trên toàn tập R
Hàm số bậc 4 không thể nghịch biến trên R
Hàm số y= -x3 + 2 xác định trên R và có
nên nghịch biến trên R.
Câu 13. Lời giải
Chọn A
![[năm 2025] Đề thi Học kì 1 Toán 12 có đáp án (6 đề)](../de-thi/images/de-thi-hoc-ki-1-toan-lop-12-co-dap-an-dtvj2021-175.png)
Giá trị cực tiểu y(0) = 5
Câu 14. Lời giải
Chọn B
Hàm số có đạo hàm y' = 4x3 + 12x2 = 4x2(x + 3) nên số cực trị của hàm số không phụ thuộc vào tham số m ⇒ Câu B sai
y' = 0 có 2 nghiệm x = 0 và x = -3 nhưng y' chỉ đổi dấu khi đi qua giá trị x = -3 (từ âm sang dương) nên hàm số có đúng 1 cực trị và là cực tiểu.
Câu 15. Lời giải
Chọn A.
![[năm 2025] Đề thi Học kì 1 Toán 12 có đáp án (6 đề)](../de-thi/images/de-thi-hoc-ki-1-toan-lop-12-co-dap-an-dtvj2021-176.png)
Câu 16. Lời giải
Chọn C.
![[năm 2025] Đề thi Học kì 1 Toán 12 có đáp án (6 đề)](../de-thi/images/de-thi-hoc-ki-1-toan-lop-12-co-dap-an-dtvj2021-177.png)
Vậy vận tốc của chuyển động đạt giá trị lớn nhất tại thời điểm t=1
Câu 17. Lời giải
Chọn B.
![[năm 2025] Đề thi Học kì 1 Toán 12 có đáp án (6 đề)](../de-thi/images/de-thi-hoc-ki-1-toan-lop-12-co-dap-an-dtvj2021-178.png)
Câu 18. Lời giải
Chọn B
Câu 19. Lời giải
Chọn A
![[năm 2025] Đề thi Học kì 1 Toán 12 có đáp án (6 đề)](../de-thi/images/de-thi-hoc-ki-1-toan-lop-12-co-dap-an-dtvj2021-179.png)
Câu 20. Lời giải
Chọn C
Anh nghĩ câu này khá hay và lạ. Để tìm tiệm cận ngang ta phải tính các giá trị của
. Quan sát các đáp án ta dễ dàng thấy được chỉ có giá trị m>0 thì mới thỏa mãn yêu cầu đề bài ra.
Nếu m=0 thì y= x+1 không có tiệm cận, m<0 thì xét dưới mẫu số ta thấy x có điều kiện ràng buộc nên không thể xét x tới vô cùng được
Nếu m>0 thì ta có
sẽ có 2 tiệm cận ngang là ![[năm 2025] Đề thi Học kì 1 Toán 12 có đáp án (6 đề)](../de-thi/images/de-thi-hoc-ki-1-toan-lop-12-co-dap-an-dtvj2021-182.png)
Câu 21. Lời giải
Chọn B
![[năm 2025] Đề thi Học kì 1 Toán 12 có đáp án (6 đề)](../de-thi/images/de-thi-hoc-ki-1-toan-lop-12-co-dap-an-dtvj2021-183.png)
Câu 22. Lời giải
Chọn A
Các em áp dụng công thức này nhé:
![[năm 2025] Đề thi Học kì 1 Toán 12 có đáp án (6 đề)](../de-thi/images/de-thi-hoc-ki-1-toan-lop-12-co-dap-an-dtvj2021-184.png)
Câu 23. Lời giải
Chọn B.
Khi giải bất phương trình logarit chú ý đặt điều kiện và cơ số lớn hơn hay nhỏ hơn 1.
Điều kiện:
.
Kết hợp điều kiện suy ra nghiệm của bất phương trình là
.
Cách khác: Có thể sử dụng MTCT để giải nhanh bài toán này. Nhập MODE + 7 (TABLE)
Nhập
.
Câu 24. Lời giải
Chọn C.
Các hàm số (1), (3), (5) có tập xác định là
; các hàm số (2) (4) có tập xác định là
; hàm số (6) có tập xác định là
.
Câu 25. Lời giải
Chọn D
![[năm 2025] Đề thi Học kì 1 Toán 12 có đáp án (6 đề)](../de-thi/images/de-thi-hoc-ki-1-toan-lop-12-co-dap-an-dtvj2021-191.png)
Lăng trụ tứ giác đều ABCD.A'B'C'D' là lăng trụ đứng và có đáy là hình vuông.
![[năm 2025] Đề thi Học kì 1 Toán 12 có đáp án (6 đề)](../de-thi/images/de-thi-hoc-ki-1-toan-lop-12-co-dap-an-dtvj2021-192.png)
Câu 26. Lời giải
Chọn A.
![[năm 2025] Đề thi Học kì 1 Toán 12 có đáp án (6 đề)](../de-thi/images/de-thi-hoc-ki-1-toan-lop-12-co-dap-an-dtvj2021-193.png)
Xét tam giác vuông tại có đường cao ta có
.
Do đó ta có các vị trí tương đối giữa mặt phẳng qua đỉnh và hình nón là:
![[năm 2025] Đề thi Học kì 1 Toán 12 có đáp án (6 đề)](../de-thi/images/de-thi-hoc-ki-1-toan-lop-12-co-dap-an-dtvj2021-195.png)
Câu 27. Lời giải
Chọn B.
![[năm 2025] Đề thi Học kì 1 Toán 12 có đáp án (6 đề)](../de-thi/images/de-thi-hoc-ki-1-toan-lop-12-co-dap-an-dtvj2021-196.png)
Câu 28. Lời giải
Chọn C
![[năm 2025] Đề thi Học kì 1 Toán 12 có đáp án (6 đề)](../de-thi/images/de-thi-hoc-ki-1-toan-lop-12-co-dap-an-dtvj2021-197.png)
Câu 29. Lời giải
Chọn B
![[năm 2025] Đề thi Học kì 1 Toán 12 có đáp án (6 đề)](../de-thi/images/de-thi-hoc-ki-1-toan-lop-12-co-dap-an-dtvj2021-198.png)
Câu 30. Chọn A
![[năm 2025] Đề thi Học kì 1 Toán 12 có đáp án (6 đề)](../de-thi/images/de-thi-hoc-ki-1-toan-lop-12-co-dap-an-dtvj2021-199.png)
Câu 31. Chọn C
![[năm 2025] Đề thi Học kì 1 Toán 12 có đáp án (6 đề)](../de-thi/images/de-thi-hoc-ki-1-toan-lop-12-co-dap-an-dtvj2021-200.png)
Câu 32. Chọn B
![[năm 2025] Đề thi Học kì 1 Toán 12 có đáp án (6 đề)](../de-thi/images/de-thi-hoc-ki-1-toan-lop-12-co-dap-an-dtvj2021-201.png)
Để hàm số đã cho có ba điểm cực trị khi và chỉ khi phương trình (*) có hai nghiệm phân biệt
![[năm 2025] Đề thi Học kì 1 Toán 12 có đáp án (6 đề)](../de-thi/images/de-thi-hoc-ki-1-toan-lop-12-co-dap-an-dtvj2021-202.png)
Câu 33. Chọn C
![[năm 2025] Đề thi Học kì 1 Toán 12 có đáp án (6 đề)](../de-thi/images/de-thi-hoc-ki-1-toan-lop-12-co-dap-an-dtvj2021-203.png)
Câu 34. Chọn C.
Thể tích bể cá là: V = abc = 1,296
Diện tích tổng các miếng kính là S = ab + 2ac +3 bc (kể cả miếng ở giữa)
Ta có:
![[năm 2025] Đề thi Học kì 1 Toán 12 có đáp án (6 đề)](../de-thi/images/de-thi-hoc-ki-1-toan-lop-12-co-dap-an-dtvj2021-204.png)
Câu 35. Chọn C.
![[năm 2025] Đề thi Học kì 1 Toán 12 có đáp án (6 đề)](../de-thi/images/de-thi-hoc-ki-1-toan-lop-12-co-dap-an-dtvj2021-205.png)
Câu 36. Chọn A.
![[năm 2025] Đề thi Học kì 1 Toán 12 có đáp án (6 đề)](../de-thi/images/de-thi-hoc-ki-1-toan-lop-12-co-dap-an-dtvj2021-206.png)
Dựa vào đồ thị để phương trình có 6 nghiệm phân biệt khi 0<m<2
Câu 37. Chọn B.
![[năm 2025] Đề thi Học kì 1 Toán 12 có đáp án (6 đề)](../de-thi/images/de-thi-hoc-ki-1-toan-lop-12-co-dap-an-dtvj2021-207.png)
Vẽ bảng xét dấu đạo hàm y' ta cần biết dấu của hệ số a = 3m. Ta có nhận xét sau:
Khi đó, hàm số đồng biến trên các khoảng
. Không thỏa đề nên loại trường hợp a=3m>0.
![[năm 2025] Đề thi Học kì 1 Toán 12 có đáp án (6 đề)](../de-thi/images/de-thi-hoc-ki-1-toan-lop-12-co-dap-an-dtvj2021-210.png)
Dựa vào bảng xét dấu ta nhận thấy hàm số chỉ luôn đồng biến trên khoảng (x1;x2).
Yêu cầu bài toán
.
Câu 38. Chọn B.
![[năm 2025] Đề thi Học kì 1 Toán 12 có đáp án (6 đề)](../de-thi/images/de-thi-hoc-ki-1-toan-lop-12-co-dap-an-dtvj2021-212.png)
Câu 39. Chọn A.
![[năm 2025] Đề thi Học kì 1 Toán 12 có đáp án (6 đề)](../de-thi/images/de-thi-hoc-ki-1-toan-lop-12-co-dap-an-dtvj2021-213.png)
Gọi M là trung điểm BC. Ta chứng minh được góc giữa mặt bên (SBC) và đáy (ABCD) bằng góc
.
![[năm 2025] Đề thi Học kì 1 Toán 12 có đáp án (6 đề)](../de-thi/images/de-thi-hoc-ki-1-toan-lop-12-co-dap-an-dtvj2021-215.png)
Câu 40. Chọn D.
![[năm 2025] Đề thi Học kì 1 Toán 12 có đáp án (6 đề)](../de-thi/images/de-thi-hoc-ki-1-toan-lop-12-co-dap-an-dtvj2021-216.png)
Gọi E là trung điểm của A'D'. Khi đó MN//AE//BP. Do đó thiết diện cần tìm là hình thang MNPQ. Dựa vào các tam giác vuông thì
![[năm 2025] Đề thi Học kì 1 Toán 12 có đáp án (6 đề)](../de-thi/images/de-thi-hoc-ki-1-toan-lop-12-co-dap-an-dtvj2021-217.png)
![[năm 2025] Đề thi Học kì 1 Toán 12 có đáp án (6 đề)](../de-thi/images/de-thi-hoc-ki-1-toan-lop-12-co-dap-an-dtvj2021-1.png)
Sở Giáo dục và Đào tạo .....
Đề thi Học kì 1
năm 2025
Bài thi môn: Toán 12
Thời gian làm bài: phút
(không kể thời gian phát đề)
(Đề số 3)
Câu 1. Cho hàm số
. Xác định m để tiệm cận đứng của đồ thị hàm số đi qua điểm M(3;1)
A. m = -2
B. m = 1
C. m = 3
D. m = -3
Câu 2. Tích tất cả các nghiệm của phương trình 5x-1 + 53-x =26 là
A. 4
B. 3
C. 2
D. 8
Câu 3. Kết luận nào sau đây về tính đơn điệu của hàm số
là đúng?
A. Hàm số nghịch biến trên khoảng ![[năm 2025] Đề thi Học kì 1 Toán 12 có đáp án (6 đề)](../de-thi/images/de-thi-hoc-ki-1-toan-lop-12-co-dap-an-dtvj2021-220.png)
B. Hàm số đồng biến trên khoảng ![[năm 2025] Đề thi Học kì 1 Toán 12 có đáp án (6 đề)](../de-thi/images/de-thi-hoc-ki-1-toan-lop-12-co-dap-an-dtvj2021-220.png)
C. Hàm số luôn đồng biến trên ![[năm 2025] Đề thi Học kì 1 Toán 12 có đáp án (6 đề)](../de-thi/images/de-thi-hoc-ki-1-toan-lop-12-co-dap-an-dtvj2021-221.png)
D. Hàm số luôn nghịch biến trên
Câu 4. Các khoảng nghịch biến của hàm số y = -x3 + 3x2 - 1 là
![[năm 2025] Đề thi Học kì 1 Toán 12 có đáp án (6 đề)](../de-thi/images/de-thi-hoc-ki-1-toan-lop-12-co-dap-an-dtvj2021-222.png)
Câu 5. Giá trị của m để đường thẳng log2m và đồ thị
có đúng 3 điểm chung là
![[năm 2025] Đề thi Học kì 1 Toán 12 có đáp án (6 đề)](../de-thi/images/de-thi-hoc-ki-1-toan-lop-12-co-dap-an-dtvj2021-224.png)
Câu 6. Cho mặt cầu (S1) có bán kính R1, mặt cầu (S2) có bán kính R2 và R2=2R1. Tỉ số thể tích của khối cầu (S1) và khối cầu (S2) bằng
![[năm 2025] Đề thi Học kì 1 Toán 12 có đáp án (6 đề)](../de-thi/images/de-thi-hoc-ki-1-toan-lop-12-co-dap-an-dtvj2021-225.png)
Câu 7. Tập xác định của hàm số y = log3(x3 - 2x2 -x +2) là
Câu 8. Cho x, y là hai số thực dương và m, n là hai số thực tùy ý. Đẳng thức nào sau đây là sai
![[năm 2025] Đề thi Học kì 1 Toán 12 có đáp án (6 đề)](../de-thi/images/de-thi-hoc-ki-1-toan-lop-12-co-dap-an-dtvj2021-227.png)
Câu 9. Phương trình tiếp tuyến của (C): y = x3 + 3x2 - 8x +1 song song với y = x + 1 là
A. y = x + 4; y = x - 28
B. y = x - 4; y = x + 28
C. y = x - 4; y = x - 28
D. y = x + 4; y = x + 28
Câu 10. Giá trị lớn nhất và giá trị nhỏ nhất của hàm số y - x2e1-x trên đoạn
lần lượt là
![[năm 2025] Đề thi Học kì 1 Toán 12 có đáp án (6 đề)](../de-thi/images/de-thi-hoc-ki-1-toan-lop-12-co-dap-an-dtvj2021-229.png)
Câu 11. Nhân dịp Trường THPT Nguyễn Du tổ chức đi học tập ngoại khóa ở Đà Lạt. Đoàn Trường có tổ chức một cuộc thi làm nón để vui chơi Noel. Hưởng ứng cuộc thi đó, tập thể lớp 12A1 làm những chiếc nón theo các bước như sau: Cắt một mảnh giấy hình tròn tâm O bán kính 20cm. Sau đó cắt bỏ đi phần hình quạt OAB như hình vẽ sao cho góc ở tâm AOB = 750. Tiếp theo dán phần hình quạt còn lại theo hai bán kính OA và OB với nhau thì sẽ được một hình nón có đỉnh là O và đường sinh là OA. Hỏi thể tích của khối nón được tạo thành bằng bao nhiêu?
![[năm 2025] Đề thi Học kì 1 Toán 12 có đáp án (6 đề)](../de-thi/images/de-thi-hoc-ki-1-toan-lop-12-co-dap-an-dtvj2021-230.png)
Câu 12. Với mọi a>0; b>0 số thỏa mãn a2 + 9b2 = 10ab thì đẳng thức nào sau đây là đúng
![[năm 2025] Đề thi Học kì 1 Toán 12 có đáp án (6 đề)](../de-thi/images/de-thi-hoc-ki-1-toan-lop-12-co-dap-an-dtvj2021-231.png)
Câu 13. Tại hội thảo khoa học Giải pháp dinh dưỡng giúp trẻ đạt cân nặng và chiều cao theo độ tuổi, các chuyên gia dinh dưỡng đã chỉ ra bí quyết giúp phụ huynh hỗ trợ sự tăng trưởng của trẻ là mức tiêu thụ của sữa trong mỗi khẩu phần ăn hàng ngày (theo vietnamnet.vn). Trước tình hình trên công ty sữa Việt Nam dự định sẽ cho ra một sản phẩm mới có bao bì là hình trụ có thể tích 1 lít. Hỏi phải thiết kế bao bì này có bán kính R là bao nhiêu để tiết kiệm nguyên vật liệu nhất?
![[năm 2025] Đề thi Học kì 1 Toán 12 có đáp án (6 đề)](../de-thi/images/de-thi-hoc-ki-1-toan-lop-12-co-dap-an-dtvj2021-232.png)
Câu 14. Cho hình chóp S.ABC có SA vuông góc mặt đáy, tam giác ABC vuông tại A, SA = 2cm, AB = 4cm, AC = 3cm. Thể tích khối chóp S.ABC bằng
A. 4cm3
B. 8cm3
C. 24cm3
D. 6cm3
Câu 15. Cho hình chóp S.ABC có đáy tam giác đều cạnh a, SA vuông góc đáy. Góc giữa SB và đáy bằng 60°. Khoảng cách giữa AC và SB là
![[năm 2025] Đề thi Học kì 1 Toán 12 có đáp án (6 đề)](../de-thi/images/de-thi-hoc-ki-1-toan-lop-12-co-dap-an-dtvj2021-233.png)
Câu 16. Tính log301350 theo a và b với log303 = a và log305 = b
A. 2a-b-1
B. 2a+b+1
C. 2a-b+1
D. a+2b+1
Câu 17. Cho hình chóp S.ABCD có ABCD là hình vuông cạnh 2a, tam giác SAB đều và nằm trong mặt phẳng vuông góc với (ABCD). Tính bán kính của mặt cầu ngoại tiếp hình chóp S.ABCD.
![[năm 2025] Đề thi Học kì 1 Toán 12 có đáp án (6 đề)](../de-thi/images/de-thi-hoc-ki-1-toan-lop-12-co-dap-an-dtvj2021-234.png)
Câu 18. Giá trị lớn nhất của hàm số y = x3 + 3x2 - 9x -7 trên đoạn [-4;3] là
A. 21
B. 19
C. 18
D. 20
Câu 19. Hàm số
đồng biến trên tập xác định của nó khi
![[năm 2025] Đề thi Học kì 1 Toán 12 có đáp án (6 đề)](../de-thi/images/de-thi-hoc-ki-1-toan-lop-12-co-dap-an-dtvj2021-236.png)
Câu 20. Nghiệm của phương trình log5x = log5(x+6) -log5(x+2) là
A. x=2
B. x=0;x=1
C. x=1
D. x=-3;x=2
Câu 21. Cho tứ diện ABCD. Gọi B', C' lần lượt là trung điểm AB, AC. Khi đó tỉ số thể tích của hai khối tứ diện AB'C'D và ABCD bằng
![[năm 2025] Đề thi Học kì 1 Toán 12 có đáp án (6 đề)](../de-thi/images/de-thi-hoc-ki-1-toan-lop-12-co-dap-an-dtvj2021-237.png)
Câu 22. Có một học sinh lập luận tìm các điểm cực trị của hàm số
như sau:
![[năm 2025] Đề thi Học kì 1 Toán 12 có đáp án (6 đề)](../de-thi/images/de-thi-hoc-ki-1-toan-lop-12-co-dap-an-dtvj2021-239.png)
Bước 3: Từ các kết quả trên kết luận: Vậy hàm số đạt cực tiểu tại điểm x=2 và không đạt cực trị tại x=0
Qua các bước giải như trên, hãy cho biết học sinh đó giải đúng hay sai, nếu sai thì sai ở bước nào?
A. Sai ở bước 3
B. Sai ở bước 2
C. Giải đúng
D. Sai ở bước 1
Câu 23. Đồ thị (C): y = x3 - 3mx2 + 2m(m-4)x +9m2 - m cắt trục hoành tại 3 điểm phân biệt cách đều nhau khi
A. m = 0; m = 2
B. m = 1
C. m = 0; m = 1
D. m = 2
Câu 24. Số cạnh của một hình bát diện đều là
A. 16
B. 8
C. 10
D. 12
Câu 25. Cho lăng trụ đứng ABC.A'B'C' có đáy ABC là tam giác cân, AB = AC =a, góc BAC = 120°. Mặt phẳng (AB'C') tạo với đáy một góc 60°. Khi đó thể tích khối lăng trụ ABC.A'B'C' là
![[năm 2025] Đề thi Học kì 1 Toán 12 có đáp án (6 đề)](../de-thi/images/de-thi-hoc-ki-1-toan-lop-12-co-dap-an-dtvj2021-240.png)
Câu 26. Cho hàm số y = x3 - 3x +2 (C) và đường thẳng d: y=m. Với giá trị nào của m thì đường thẳng d cắt đồ thị (C) tại 2 điểm phân biệt?
![[năm 2025] Đề thi Học kì 1 Toán 12 có đáp án (6 đề)](../de-thi/images/de-thi-hoc-ki-1-toan-lop-12-co-dap-an-dtvj2021-241.png)
Câu 27. Với giá trị nào của m thì hàm số y = -x3 -2x2 +mx đạt cực tiểu tại x = -1?
![[năm 2025] Đề thi Học kì 1 Toán 12 có đáp án (6 đề)](../de-thi/images/de-thi-hoc-ki-1-toan-lop-12-co-dap-an-dtvj2021-242.png)
Câu 28. Thể tích của khối chóp tứ giác đều có tất cả các cạnh đều bằng a là
![[năm 2025] Đề thi Học kì 1 Toán 12 có đáp án (6 đề)](../de-thi/images/de-thi-hoc-ki-1-toan-lop-12-co-dap-an-dtvj2021-243.png)
Câu 29. Tập nghiệm của bất phương trình
là
![[năm 2025] Đề thi Học kì 1 Toán 12 có đáp án (6 đề)](../de-thi/images/de-thi-hoc-ki-1-toan-lop-12-co-dap-an-dtvj2021-245.png)
Câu 30. Rút gọn biểu thức
được kết quả là
![[năm 2025] Đề thi Học kì 1 Toán 12 có đáp án (6 đề)](../de-thi/images/de-thi-hoc-ki-1-toan-lop-12-co-dap-an-dtvj2021-247.png)
Câu 31. Hãy chọn từ (hay cụm từ) sau điền vào chỗ trống để có mệnh đề đúng: “Số cạnh của một hình đa diện luôn ………. số đỉnh của hình đa diện ấy”
A. lớn hơn
B. bằng
C. nhỏ hơn
D. nhỏ hơn hoặc bằng
Câu 32. Cho hàm số
. Hãy cho biết đồ thị hàm số (1) có mấy đường tiệm cận?
A. 3
B. 2
C. 4
D. 1
Câu 33. Nghiệm của bất phương trình
là
![[năm 2025] Đề thi Học kì 1 Toán 12 có đáp án (6 đề)](../de-thi/images/de-thi-hoc-ki-1-toan-lop-12-co-dap-an-dtvj2021-250.png)
Câu 34. Với những giá trị nào của m thì hàm số
có cực đại và cực tiểu?
![[năm 2025] Đề thi Học kì 1 Toán 12 có đáp án (6 đề)](../de-thi/images/de-thi-hoc-ki-1-toan-lop-12-co-dap-an-dtvj2021-252.png)
Câu 35. Giá trị m để hàm số y = x3 +3x2 +mx+m giảm trên đoạn có độ dài bằng 1 là
![[năm 2025] Đề thi Học kì 1 Toán 12 có đáp án (6 đề)](../de-thi/images/de-thi-hoc-ki-1-toan-lop-12-co-dap-an-dtvj2021-253.png)
Câu 36. Đồ thị sau đây là của hàm số nào?
![[năm 2025] Đề thi Học kì 1 Toán 12 có đáp án (6 đề)](../de-thi/images/de-thi-hoc-ki-1-toan-lop-12-co-dap-an-dtvj2021-254.png)
Câu 37. Tìm m để phương trình 4x - 2m.2x +m +2 có hai nghiệm phân biệt
![[năm 2025] Đề thi Học kì 1 Toán 12 có đáp án (6 đề)](../de-thi/images/de-thi-hoc-ki-1-toan-lop-12-co-dap-an-dtvj2021-255.png)
Câu 38. Thể tích của khối lăng trụ đứng tam giác đều có tất cả các cạnh đều bằng a là
![[năm 2025] Đề thi Học kì 1 Toán 12 có đáp án (6 đề)](../de-thi/images/de-thi-hoc-ki-1-toan-lop-12-co-dap-an-dtvj2021-256.png)
Câu 39. Giá trị của biểu thức
là
A. 12
B. 9
C. 10
D. 8
Câu 40. Một đường thẳng cắt mặt cầu tâm I tại hai điêm A, B sao cho tam giác ABI vuông và
. Thể tích khối cầu đó là
![[năm 2025] Đề thi Học kì 1 Toán 12 có đáp án (6 đề)](../de-thi/images/de-thi-hoc-ki-1-toan-lop-12-co-dap-an-dtvj2021-259.png)
Câu 41. Giá trị của biểu thức ![[năm 2025] Đề thi Học kì 1 Toán 12 có đáp án (6 đề)](../de-thi/images/de-thi-hoc-ki-1-toan-lop-12-co-dap-an-dtvj2021-260.png)
A. 4
B. −3
C. −4
D. 5
Câu 42. Cho hàm số
. Hãy cho biết đồ thị (C) đi qua điểm nào sau đây?
![[năm 2025] Đề thi Học kì 1 Toán 12 có đáp án (6 đề)](../de-thi/images/de-thi-hoc-ki-1-toan-lop-12-co-dap-an-dtvj2021-262.png)
Câu 43. Cho đường cong y = x3 -2x2 + x+1 và đường thẳng d:y=1-2x. Hãy cho biết đường cong (C) cắt đường thẳng d tại mấy điểm?
A. 0
B. 2
C. 1
D. 3
Câu 44. Cho mặt cầu có bán kính là a, ngoại tiếp hình nón. Thiết diện qua trục của hình nón là tam giác đều. Thể tích của hình nón là
![[năm 2025] Đề thi Học kì 1 Toán 12 có đáp án (6 đề)](../de-thi/images/de-thi-hoc-ki-1-toan-lop-12-co-dap-an-dtvj2021-263.png)
Câu 45. Tìm m để đồ thị
cắt trục Ox tại ba điểm phân biệt
![[năm 2025] Đề thi Học kì 1 Toán 12 có đáp án (6 đề)](../de-thi/images/de-thi-hoc-ki-1-toan-lop-12-co-dap-an-dtvj2021-265.png)
Câu 46. Giá trị lớn nhất và giá trị nhỏ nhất của hàm số y=x2lnx trên đoạn
lần lượt là
![[năm 2025] Đề thi Học kì 1 Toán 12 có đáp án (6 đề)](../de-thi/images/de-thi-hoc-ki-1-toan-lop-12-co-dap-an-dtvj2021-267.png)
Câu 47. Cho hình trụ (T) có hai đáy là hai hình tròn (O) và (O'). Xét hình nón có đáy là hình tròn (O) và đỉnh là O'. Biết thiết diện qua trục của hình nón là một tam giác đều. Tính tỉ số giữa diện tích xung quanh hình nón và diện tích xung quanh hình trụ trên.
![[năm 2025] Đề thi Học kì 1 Toán 12 có đáp án (6 đề)](../de-thi/images/de-thi-hoc-ki-1-toan-lop-12-co-dap-an-dtvj2021-268.png)
Câu 48. Cho hình chữ nhật ABCD cạnh AB = 4, AD = 2. Gọi M, N lần lượt là trung điểm của các cạnh AB, CD. Cho hình chữ nhật ABCD quay quanh cạnh MN ta được hình trụ có thể tích V bằng
![[năm 2025] Đề thi Học kì 1 Toán 12 có đáp án (6 đề)](../de-thi/images/de-thi-hoc-ki-1-toan-lop-12-co-dap-an-dtvj2021-269.png)
Câu 49. Hình chóp S.ABC đáy ABC là tam giác vuông cân, BA = BC = a, SA vuông góc đáy, góc giữa (SBC) và (ABC) bằng 60°. Thể tích khối chóp S.ABC là
![[năm 2025] Đề thi Học kì 1 Toán 12 có đáp án (6 đề)](../de-thi/images/de-thi-hoc-ki-1-toan-lop-12-co-dap-an-dtvj2021-270.png)
Câu 50. Điều nào sau đây là đúng?
![[năm 2025] Đề thi Học kì 1 Toán 12 có đáp án (6 đề)](../de-thi/images/de-thi-hoc-ki-1-toan-lop-12-co-dap-an-dtvj2021-271.png)
HƯỚNG DẪN ĐÁP ÁN
ĐÁP ÁN
|
1-D |
2-B |
3-B |
4-B |
5-C |
6-B |
7-C |
8-A |
9-B |
10-A |
|
11-A |
12-A |
13-C |
14-A |
15-D |
16-B |
17-D |
18-D |
19-C |
20-A |
|
21-C |
22-A |
23-B |
24-D |
25-D |
26-A |
27-D |
28-D |
29-B |
30-C |
|
31-A |
32-B |
33-C |
34-D |
35-B |
36-B |
37-D |
38-A |
39-B |
40-B |
|
41-C |
42-A |
43-C |
44-C |
45-A |
46-A |
47-D |
48-A |
49-C |
50-D |
LỜI GIẢI CHI TIẾT
Câu 1. Đáp án D
Tiệm cận đứng x=-m đi qua M( 3;1) suy ra –m=3 suy ra m=-3
Câu 2. Đáp án B
![[năm 2025] Đề thi Học kì 1 Toán 12 có đáp án (6 đề)](../de-thi/images/de-thi-hoc-ki-1-toan-lop-12-co-dap-an-dtvj2021-272.png)
Câu 3. Đáp án B
![[năm 2025] Đề thi Học kì 1 Toán 12 có đáp án (6 đề)](../de-thi/images/de-thi-hoc-ki-1-toan-lop-12-co-dap-an-dtvj2021-273.png)
Câu 4. Đáp án B
![[năm 2025] Đề thi Học kì 1 Toán 12 có đáp án (6 đề)](../de-thi/images/de-thi-hoc-ki-1-toan-lop-12-co-dap-an-dtvj2021-274.png)
Câu 5. Đáp án C
![[năm 2025] Đề thi Học kì 1 Toán 12 có đáp án (6 đề)](../de-thi/images/de-thi-hoc-ki-1-toan-lop-12-co-dap-an-dtvj2021-275.png)
Câu 6. Đáp án B
![[năm 2025] Đề thi Học kì 1 Toán 12 có đáp án (6 đề)](../de-thi/images/de-thi-hoc-ki-1-toan-lop-12-co-dap-an-dtvj2021-276.png)
Câu 7. Đáp án C
![[năm 2025] Đề thi Học kì 1 Toán 12 có đáp án (6 đề)](../de-thi/images/de-thi-hoc-ki-1-toan-lop-12-co-dap-an-dtvj2021-277.png)
Câu 8. Đáp án A
Câu 9. Đáp án B
![[năm 2025] Đề thi Học kì 1 Toán 12 có đáp án (6 đề)](../de-thi/images/de-thi-hoc-ki-1-toan-lop-12-co-dap-an-dtvj2021-278.png)
Câu 10. Đáp án A
![[năm 2025] Đề thi Học kì 1 Toán 12 có đáp án (6 đề)](../de-thi/images/de-thi-hoc-ki-1-toan-lop-12-co-dap-an-dtvj2021-279.png)
Câu 11. Đáp án A
![[năm 2025] Đề thi Học kì 1 Toán 12 có đáp án (6 đề)](../de-thi/images/de-thi-hoc-ki-1-toan-lop-12-co-dap-an-dtvj2021-280.png)
Câu 12. Đáp án A
![[năm 2025] Đề thi Học kì 1 Toán 12 có đáp án (6 đề)](../de-thi/images/de-thi-hoc-ki-1-toan-lop-12-co-dap-an-dtvj2021-281.png)
Câu 13. Đáp án C
![[năm 2025] Đề thi Học kì 1 Toán 12 có đáp án (6 đề)](../de-thi/images/de-thi-hoc-ki-1-toan-lop-12-co-dap-an-dtvj2021-282.png)
Câu 14. Đáp án A
![[năm 2025] Đề thi Học kì 1 Toán 12 có đáp án (6 đề)](../de-thi/images/de-thi-hoc-ki-1-toan-lop-12-co-dap-an-dtvj2021-283.png)
Câu 15. Đáp án D
![[năm 2025] Đề thi Học kì 1 Toán 12 có đáp án (6 đề)](../de-thi/images/de-thi-hoc-ki-1-toan-lop-12-co-dap-an-dtvj2021-284.png)
Câu 16. Đáp án B
![[năm 2025] Đề thi Học kì 1 Toán 12 có đáp án (6 đề)](../de-thi/images/de-thi-hoc-ki-1-toan-lop-12-co-dap-an-dtvj2021-285.png)
Câu 17. Đáp án D
![[năm 2025] Đề thi Học kì 1 Toán 12 có đáp án (6 đề)](../de-thi/images/de-thi-hoc-ki-1-toan-lop-12-co-dap-an-dtvj2021-286.png)
Gọi H là trung điểm của AB suy ra SH vuông góc với đáy
K là trung điểm của DC , O là trung điểm của HK
Dựng mp (MNPQ) qua O ss với mp (SAB)
OL là giao điểm của (MNPQ) và SHK
Suy ra OL vuông góc với đáy
Gọi I là tâm mặt cầu ngoại tiếp hình
Suy ra I là giao điểm giữa trung trực của SA với OL
Suy ra IA là bán kính ngoại tiếp
Suy ra ![[năm 2025] Đề thi Học kì 1 Toán 12 có đáp án (6 đề)](../de-thi/images/de-thi-hoc-ki-1-toan-lop-12-co-dap-an-dtvj2021-287.png)
Thử đáp án suy ra chọn D
Câu 18. Đáp án D
![[năm 2025] Đề thi Học kì 1 Toán 12 có đáp án (6 đề)](../de-thi/images/de-thi-hoc-ki-1-toan-lop-12-co-dap-an-dtvj2021-288.png)
Câu 19. Đáp án C
![[năm 2025] Đề thi Học kì 1 Toán 12 có đáp án (6 đề)](../de-thi/images/de-thi-hoc-ki-1-toan-lop-12-co-dap-an-dtvj2021-289.png)
Câu 20. Đáp án A
![[năm 2025] Đề thi Học kì 1 Toán 12 có đáp án (6 đề)](../de-thi/images/de-thi-hoc-ki-1-toan-lop-12-co-dap-an-dtvj2021-290.png)
Câu 21. Đáp án C
![[năm 2025] Đề thi Học kì 1 Toán 12 có đáp án (6 đề)](../de-thi/images/de-thi-hoc-ki-1-toan-lop-12-co-dap-an-dtvj2021-291.png)
Câu 22. Đáp án A
Bước 3 sai vì với những hàm số có
thì mới sử dụng được phương pháp xét dấu của y”
Để tìm cực trị
Câu 23. Đáp án B
y cắt trục hoành tại 3 điểm khi đt có 2 cực trị nằm về 2 phía của Ox
![[năm 2025] Đề thi Học kì 1 Toán 12 có đáp án (6 đề)](../de-thi/images/de-thi-hoc-ki-1-toan-lop-12-co-dap-an-dtvj2021-293.png)
Câu 24. Đáp án D
Câu 25. Đáp án D
![[năm 2025] Đề thi Học kì 1 Toán 12 có đáp án (6 đề)](../de-thi/images/de-thi-hoc-ki-1-toan-lop-12-co-dap-an-dtvj2021-294.png)
Câu 26. Đáp án A
![[năm 2025] Đề thi Học kì 1 Toán 12 có đáp án (6 đề)](../de-thi/images/de-thi-hoc-ki-1-toan-lop-12-co-dap-an-dtvj2021-295.png)
Để d cắt C tại 2 điểm phân biệt thì m=0 hoặc m=4
Câu 27. Đáp án D
y' = -3x2 - 4x + m đồ thị hs đạt cực tiểu tại x= -1 khi x=-1 là nghiệm nhỏ của pt y’=0
Khi đó ![[năm 2025] Đề thi Học kì 1 Toán 12 có đáp án (6 đề)](../de-thi/images/de-thi-hoc-ki-1-toan-lop-12-co-dap-an-dtvj2021-296.png)
Pt y' = -3x2 - 4x -1 có 2 nghiệm phân biệt x= -1 hoặc x= -1/3 suy ra thỏa mãn
Câu 28. Đáp án D
![[năm 2025] Đề thi Học kì 1 Toán 12 có đáp án (6 đề)](../de-thi/images/de-thi-hoc-ki-1-toan-lop-12-co-dap-an-dtvj2021-297.png)
Câu 29. Đáp án B
![[năm 2025] Đề thi Học kì 1 Toán 12 có đáp án (6 đề)](../de-thi/images/de-thi-hoc-ki-1-toan-lop-12-co-dap-an-dtvj2021-298.png)
Câu 30. Đáp án C
![[năm 2025] Đề thi Học kì 1 Toán 12 có đáp án (6 đề)](../de-thi/images/de-thi-hoc-ki-1-toan-lop-12-co-dap-an-dtvj2021-299.png)
Câu 31. Đáp án A
Câu 32. Đáp án B
2 đường tiệm cận x=1; y= -1
Câu 33. Đáp án C
![[năm 2025] Đề thi Học kì 1 Toán 12 có đáp án (6 đề)](../de-thi/images/de-thi-hoc-ki-1-toan-lop-12-co-dap-an-dtvj2021-300.png)
Câu 34. Đáp án D
![[năm 2025] Đề thi Học kì 1 Toán 12 có đáp án (6 đề)](../de-thi/images/de-thi-hoc-ki-1-toan-lop-12-co-dap-an-dtvj2021-301.png)
Câu 35. Đáp án B
![[năm 2025] Đề thi Học kì 1 Toán 12 có đáp án (6 đề)](../de-thi/images/de-thi-hoc-ki-1-toan-lop-12-co-dap-an-dtvj2021-302.png)
Để hs giảm trên đoạn có có độ dài bằng 1 thì
![[năm 2025] Đề thi Học kì 1 Toán 12 có đáp án (6 đề)](../de-thi/images/de-thi-hoc-ki-1-toan-lop-12-co-dap-an-dtvj2021-303.png)
Câu 36. Đáp án B
Hs có 1 cực tiểu suy ra loại A;C vì có 3 cực trị suy ra chọn B
Câu 37. Đáp án D
Để pt có 2 nghiệm pb thì pt phải có 2 nghiệm 2x pb dương
![[năm 2025] Đề thi Học kì 1 Toán 12 có đáp án (6 đề)](../de-thi/images/de-thi-hoc-ki-1-toan-lop-12-co-dap-an-dtvj2021-304.png)
Câu 38. Đáp án A
![[năm 2025] Đề thi Học kì 1 Toán 12 có đáp án (6 đề)](../de-thi/images/de-thi-hoc-ki-1-toan-lop-12-co-dap-an-dtvj2021-305.png)
Câu 39. Đáp án B
Câu 40. Đáp án B
![[năm 2025] Đề thi Học kì 1 Toán 12 có đáp án (6 đề)](../de-thi/images/de-thi-hoc-ki-1-toan-lop-12-co-dap-an-dtvj2021-306.png)
Câu 41. Đáp án C
Câu 42. Đáp án A
Câu 43. Đáp án C
Số giao điểm bằng số nghiệm của pt
suy ra có 1 nghiệm suy ra có 1 giao điểm
Câu 44. Đáp án C
![[năm 2025] Đề thi Học kì 1 Toán 12 có đáp án (6 đề)](../de-thi/images/de-thi-hoc-ki-1-toan-lop-12-co-dap-an-dtvj2021-308.png)
Câu 45. Đáp án A
![[năm 2025] Đề thi Học kì 1 Toán 12 có đáp án (6 đề)](../de-thi/images/de-thi-hoc-ki-1-toan-lop-12-co-dap-an-dtvj2021-309.png)
để dths cắt Ox tại 3 điểm pb thì dths phải có 2 cực trị nằm về 2 phía của Ox
Suy ra
![[năm 2025] Đề thi Học kì 1 Toán 12 có đáp án (6 đề)](../de-thi/images/de-thi-hoc-ki-1-toan-lop-12-co-dap-an-dtvj2021-310.png)
Câu 46. Đáp án A
![[năm 2025] Đề thi Học kì 1 Toán 12 có đáp án (6 đề)](../de-thi/images/de-thi-hoc-ki-1-toan-lop-12-co-dap-an-dtvj2021-311.png)
Câu 47. Đáp án D
![[năm 2025] Đề thi Học kì 1 Toán 12 có đáp án (6 đề)](../de-thi/images/de-thi-hoc-ki-1-toan-lop-12-co-dap-an-dtvj2021-312.png)
Câu 48. Đáp án A
H=MN=2. Bán kính đáy R=DN=2
![[năm 2025] Đề thi Học kì 1 Toán 12 có đáp án (6 đề)](../de-thi/images/de-thi-hoc-ki-1-toan-lop-12-co-dap-an-dtvj2021-313.png)
Câu 49. Đáp án C
![[năm 2025] Đề thi Học kì 1 Toán 12 có đáp án (6 đề)](../de-thi/images/de-thi-hoc-ki-1-toan-lop-12-co-dap-an-dtvj2021-314.png)
Câu 50. Đáp án D
....................................
....................................
....................................
Tủ sách VIETJACK luyện thi vào 10 cho 2k11 (2026):
Đã có app VietJack trên điện thoại, giải bài tập SGK, SBT Soạn văn, Văn mẫu, Thi online, Bài giảng....miễn phí. Tải ngay ứng dụng trên Android và iOS.
Theo dõi chúng tôi miễn phí trên mạng xã hội facebook và youtube:Bộ đề thi năm 2025 các lớp các môn học được Giáo viên nhiều năm kinh nghiệm tổng hợp và biên soạn theo Thông tư mới nhất của Bộ Giáo dục và Đào tạo, được chọn lọc từ đề thi của các trường trên cả nước.
Nếu thấy hay, hãy động viên và chia sẻ nhé! Các bình luận không phù hợp với nội quy bình luận trang web sẽ bị cấm bình luận vĩnh viễn.
- Đề thi lớp 1 (các môn học)
- Đề thi lớp 2 (các môn học)
- Đề thi lớp 3 (các môn học)
- Đề thi lớp 4 (các môn học)
- Đề thi lớp 5 (các môn học)
- Đề thi lớp 6 (các môn học)
- Đề thi lớp 7 (các môn học)
- Đề thi lớp 8 (các môn học)
- Đề thi lớp 9 (các môn học)
- Đề thi lớp 10 (các môn học)
- Đề thi lớp 11 (các môn học)
- Đề thi lớp 12 (các môn học)
- Giáo án lớp 1 (các môn học)
- Giáo án lớp 2 (các môn học)
- Giáo án lớp 3 (các môn học)
- Giáo án lớp 4 (các môn học)
- Giáo án lớp 5 (các môn học)
- Giáo án lớp 6 (các môn học)
- Giáo án lớp 7 (các môn học)
- Giáo án lớp 8 (các môn học)
- Giáo án lớp 9 (các môn học)
- Giáo án lớp 10 (các môn học)
- Giáo án lớp 11 (các môn học)
- Giáo án lớp 12 (các môn học)


Giải bài tập SGK & SBT
Tài liệu giáo viên
Sách
Khóa học
Thi online
Hỏi đáp

