Đề thi Học kì 1 Toán 9 có đáp án (6 đề)
Tuyển chọn Đề thi Học kì 1 Toán 9 có đáp án (6 đề) chọn lọc được các Giáo viên nhiều năm kinh nghiệm biên soạn và sưu tầm từ đề thi Toán 9 của các trường THCS. Hi vọng bộ đề thi này sẽ giúp học sinh ôn tập và đạt kết quả cao trong các bài thi Học kì 1 môn Toán 9.
Đề thi Học kì 1 Toán 9 có đáp án (6 đề)
Chỉ từ 150k mua trọn bộ Đề thi Toán 9 Học kì 1 theo cấu trúc mới bản word có lời giải chi tiết:
- B1: gửi phí vào tk:
1133836868- CT TNHH DAU TU VA DV GD VIETJACK - Ngân hàng MB (QR) - B2: Nhắn tin tới Zalo VietJack Official - nhấn vào đây để thông báo và nhận đề thi
Phòng Giáo dục và Đào tạo .....
Đề thi Học kì 1 theo Thông tư 22
năm 2025
Bài thi môn: Toán 9
Thời gian làm bài: phút
(không kể thời gian phát đề)
(Đề số 1)
Bài 1 (1 điểm): Thực hiện phép tính
a) 
b) 
Bài 2 (1 điểm): Tìm x
a) 
b) 
Bài 3 (2 điểm): Cho đường thẳng (d): y = 2x + m + 1.
a) Tìm m để (d) đi qua điểm C(1; 5)
b) Tìm m để đường thẳng d: y = 2x + m + 1 cắt hai trục Ox, Oy tại hai điểm A và B sao cho OA = OB.
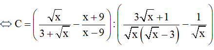
Bài 4 (2 điểm): Cho biểu thức:
với x > 0; x ≠ 9.
a) Rút gọn C
b) Tìm x sao cho C < -1.
Bài 5 (3,5 điểm): Cho đường tròn (O;R) và điểm M ở ngoài đường tròn sao cho OM =R . Kẻ các tiếp tuyến MA, MB với đường tròn (O) (A, B là các tiếp điểm), đường thẳng AB cắt OM tại K.
a) Chứng minh K là trung điểm của AB.
b) Tính MA, AB, OK theo R.
c) Kẻ đường kính AN của đường tròn (O). Kẻ BH vuông góc với AN tại H. Chứng minh MB.BN = BH.MO.
d) Đường thẳng MO cắt đường tròn (O) tại C và D (C nằm giữa O và M). Gọi E là điểm đối xứng của C qua K. Chứng minh E là trực tâm của tam giác ABD.
Bài 6 (0,5 điểm): Giải phương trình sau:

ĐÁP ÁN
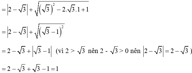
Bài 1:
a) 

b) 


Bài 2:
a) Điều kiện: 

b) Điều kiện





Vậy x = -2 và x = 6
Bài 3:
a) Để (d): y = 2x + m + 1 đi qua C (1; 5) ta thay x = 1; y = 5 vào hàm số ta có:
5 = 2.1 + m + 1
<=> 5 = m + 3
<=> m = 5 - 3
<=> m = 2
Vậy m = 2 thì (d) đi qua điểm C(1; 5).
b) Cho x = 0 => y = m + 1 => B(0; m +1 ) thuộc Oy
Cho y = 0 =>
thuộc Ox
OB = |m +1 |
OA = 
Ta có:
OA = OB

TH1:
= m+1
⇔ -m -1 = 2m +2
⇔ 3m = -3
⇔ m = -1
TH2:
= -m -1
⇔ -m -1 = 2m -2
⇔ m = -1
Vậy m = -1 thì OA = OB
Bài 4:
a) 






b) 


Ta có:
≥ 0 với mọi x thỏa mãn điều kiện


Kết hợp với điều kiện đề bài ta có: 
Vậy x > 16 thì C < -1
Bài 5:

a) Ta có:
MA = MB (tính chất 2 tiếp tuyến cắt nhau) nên M nằm trên đường trung trực của AB
OA = OB (cùng bằng bán kính đường tròn (O) nên O nằm trên đường trung trực của AB
Do đó, OM là đường trung trực của AB
OM ∩ AB = K ⇒ K là trung điểm của AB
b) Tam giác MAO vuông tại A, AK là đường cao có:
MO² =AO² +MA²

AK.OM = AM.AO

Mà AB = 2AK nên AB = 
c) Ta có:
∠ABN = 90° (B thuộc đường tròn đường kính AN)
=> BN // MO (do BN và MO cùng vuông góc với AB)
Do đó:
∠AOM = ∠ANB (hai góc đồng vị)
Mà ∠AOM = ∠BOM (OM là phân giác ∠AOB)
Nên ⇒ ∠ANB = ∠BOM
Xét tam giác BHN và tam giác MBO có:
∠BHN = ∠MBO = 90°
∠ANB = ∠BOM
Do đó: ΔBHN ∼ ΔMBO (g.g)
=>
Hay MB.BN = BH.MO
d) Ta có:
K là trung điểm của CE (E đối xứng với C qua AB)
K là trung điểm của AB
AB ⊥ CE (MO ⊥ AB)
⇒ Tứ giác AEBC là hình thoi
⇒ BE // AC
Mà AC ⊥ AD (A thuộc đường tròn đường kính CD)
Nên BE ⊥ AD và DK ⊥ AB
Vậy E là trực tâm của tam giác ADB
Bài 6:

Ta có:

Lại có:

Dấu bằng xảy ra để vế trái bằng vế phải là

⇒( x+1)² = 0
⇔ x + 1 = 0
⇔ x = -1
Vậy nghiệm của phương trình là S = { -1}

Phòng Giáo dục và Đào tạo .....
Đề thi Học kì 1 theo Thông tư 22
năm 2025
Bài thi môn: Toán 9
Thời gian làm bài: phút
(không kể thời gian phát đề)
(Đề số 2)
Câu 1 (2,0 điểm):
1) Thực hiện phép tính
a)
b) 
2) Giải phương trình
Câu 2 (2,0 điểm):
Với x> 0; x ≠ 9 cho các biểu thức 
1) Tính giá trị của biểu thức P khi x = 4
2) Chứng minh 
3) Tìm giá trị nhỏ nhất của biểu thức A=P.Q
Câu 3 (2,0 điểm):
1) Cho hàm số bậc nhất y= (m+3)x + 3m-1 có đồ thị(d) (m là tham số; m ≠ -3)
a) Vẽ (d) khi m=0
b) Tìm m để đường thẳng (d) cắt trục tung tại điểm có tung độ bằng 5.
c) Xác định m để đường thẳng (d) trùng với đườn thẳng y = 2x – 4.
2) Hãy tính chiều cao tháp Eiffel mà không cần lên đỉnh tháp biết góc tạo bởi tia nắng mặt trời và mặt đất là và bóng của cái tháp trên mặt đất là 172m.
(làm tròn đến chữ số thập phân thứ nhất).

Câu 4 (3,5 điểm): Cho nửa đường tròn (O) đường kính AB (). Trên nửa mặt phẳng bờ AB chứa nửa đường tròn kẻ hai tia tiếp tuyến Ax, By của nửa đường tròn. Lấy điểm C bất kì thuộc nửa đường tròn ( C khác A và B), qua C kẻ tiếp tuyến của nửa đường tròn cắt Ax, By thứ tự tại M và N.
a) Chứng minh bốn điểm cùng thuộc một đường tròn.
b) Nối điểm O với điểm M, điểm O với điểm N. Chứng minh AM.BN = R2
c) Đoạn ON cắt nửa đường tròn (O) tại I. Chứng minh I là tâm đường tròn nội tiếp tam giác CNB
d) Cho Ab= 6cm. Xác định vị trí của M và N để hình thang AMNB có chu vi bằng 18 cm
Câu 5. (0,5 điểm):
.
Tìm giá trị lớn nhất của biểu thức 
Phòng Giáo dục và Đào tạo .....
Đề thi Học kì 1 theo Thông tư 22
năm 2025
Bài thi môn: Toán 9
Thời gian làm bài: phút
(không kể thời gian phát đề)
(Đề số 3)
Câu 1 (3điểm):
a) Tính giá trị của biểu thức A và B:
A = 
B=
b) Rút gọn biểu thức :
c) Chứng minh rằng giá trị của biểu thức sau không phụ thuộc vào giá trị của
với a> 0; a ≠ 1
Câu 2 (2,0 điểm): Cho hàm số y = ax - 2 có đồ thị là đường thẳng
a) Biết đồ thị hàm số qua điểm A(1;0). Tìm hệ số a, hàm số đã cho là đồng biến hay nghịch biến trên R? Vì sao?
b) Vẽ đồ thị hàm số vừa tìm được.
c) Với giá trị nào của m để đường thẳng : y = (m - 1)x + 3 song song d1?
Câu 3 (2,0điểm): Cho tam giác ABC, đường cao AH, biết AB = 30cm, AC = 40cm, BC = 50cm.
a) Chứng minh tam giác ABC vuông tại A
b) Tính đường cao AH?
c) Tính diện tích tam giác AHC?
Câu 4 (2,5 điểm): Cho đường tròn (O; 6cm), điểm A nằm bên ngoài đường tròn,
OA = 12cm. Kẻ các tiếp tuyến AB và AC với đường tròn (B, C là các tiếp điểm).
a) Chứng minh BC vuông góc với OA.
b) Kẻ đường kính BD, chứng minh OA // CD.
c) Gọi K là giao điểm của AO với BC. Tính tích: OK.OA và số đo góc ∠BAO.
Câu 5 (0,5điểm): Tìm giá trị nhỏ nhất của biểu thức 
Phòng Giáo dục và Đào tạo .....
Đề thi Học kì 1 theo Thông tư 22
năm 2025
Bài thi môn: Toán 9
Thời gian làm bài: phút
(không kể thời gian phát đề)
(Đề số 4)
I. Trắc nghiệm
Câu 1: Căn bậc hai của 9 là:
A) 81
B) ±81
C) 3
D) ±3
Câu 2: Phương trình
có nghiệm là:
A) 9
B) ±9
C) ±4
D) 11
Câu 3: Điều kiện xác định của
là:
A) x ≥ 0
B) x ≥ 2
C) x ≥ -2
D) x ≤ 2
Câu 4: Kết quả của phép khai phương
(với a < 0) là:
A) -9a
B) 9a
C) -9|a|
D) 81a
Câu 5: Tìm x biết
= -5:
A) x = -25
B) x = -125
C) x = -512
D) x = 15
Câu 6: Rút gọn biểu thức
ta được kết quả cuối cùng là:
A) 
B) 
C) 
D)
Câu 7: Trong hệ tọa độ Oxy, đường thẳng y = 2 - x song song với đường thẳng:
A) y = -x
B) y = -x + 3
C) y = -1 – x
D) Cả ba đường thẳng trên
Câu 8: Trong các hàm số bậc nhất sau, hàm số nào là hàm số nghịch biến:
A) y = 1 – 3x
B) y = 5x – 1
C) 
D) 
Câu 9: Nếu điểm B(1 ;-2) thuộc đường thẳng y = x – b thì b bằng:
A) -3
B) -1
C) 3
D) 1
Câu10: Cho hai đường thẳng: (d) : y = 2x + m – 2 và (d’) : y = kx + 4 – m; (d) và (d’) trùng nhau nếu :
A) k = 2 và m = 3
B) k = -1 và m = 3
C) k = -2 và m = 3
D) k = 2 và m = -3
Câu 11: Góc tạo bởi đường thẳng y = x + 1 và trục Ox có số đo là:
A) 450
B) 300
C) 600
D) 1350.
Câu 12: Hệ số góc của đường thẳng: y = -4x + 9 là:
A) 4
B) -4x
C) -4
D) 9
Câu13: Cho tam giác vuông cân ABC đỉnh A có BC = 6cm, khi đó AB bằng
A)
B)
C) 36 cm
D)
Câu 14: Cho 1 tam giác vuông có hai góc nhọn là và . Biểu thức nào sau đây không đúng:
A) sin α= cosβ
B) cotα= tanβ
C) sin2 α + cos2β = 1
D) tanα = cotβ
Câu 15: Cho tam giác ABC vuông ở A có AC = 3 cm , BC = 5cm. Giá trị của cotB là:
A) 
B) 
C) 
D) 
Câu 16: Cho tam giác ABC vuông tại A có AB = 9 cm, AC = 12 cm, BC = 15 cm. Tính độ dài AH là :
A) 8,4 cm
B) 7,2 cm
C) 6,8 cm
D) 4.2 cm
Câu 17: Tâm của đường tròn ngoại tiếp tam giác là giao điểm của các đường :
A) Trung tuyến
B) Phân giác
C) Đường cao
D) Trung trực
Câu 18: Hai đường tròn (O) và (O’) tiếp xúc ngoài. Số tiếp tuyến chung của chúng là:
A) 1
B) 2
C) 3
D) 4
Câu 19: Cho (O; 6cm) và đường thẳng a có khoảng cách đến O là d, điều kiện để đường thẳng a là cát tuyến của đường tròn (O) là:
A) d < 6cm
B) d = 6cm
C) d > 6cm
D) d 6cm
Câu 20: Dây AB của đường tròn (O; 5cm) có độ dài là 6cm. Khoảng cách từ O đến AB bằng:
A) 6cm
B) 7 cm
C) 4 cm
D) 5 cm
II. Tự luận(5 điểm)
Câu 1 (1 điểm): Tính:
a) 
b) 
Câu 2 (1 điểm): Cho biểu thức: 
a) Rút gọn biểu thức Q
b) Tìm x để Q =
.
Câu 3 (1 điểm): Cho hàm số y = (m + 1)x – 3 (m ≠ -1)
Xác định m để :
a) Hàm số đã cho đồng biến, nghịch biến trên R.
b) Đồ thị hàm số song song với đường thẳng y = 2x. Vẽ đồ thị với m vừa tìm được.
Câu 4 (2 điểm): Cho đường tròn (O; R), đường kính AB. Vẽ điểm C thuộc đường tròn (O; R) sao cho AC = R. Kẻ OH vuông góc với AC tại H. Qua C vẽ một tiếp tuyến của đường tròn (O; R), tiếp tuyến này cắt đường thẳng OH tại D.
a) Chứng minh AD là tiếp tuyến của đường tròn (O; R).
b) Tính BC theo R và các tỉ số lượng giác của góc ABC.
c) Gọi M là điểm thuộc tia đối của tia CA. Chứng minh: MC.MA = MO2 – AO2
Phòng Giáo dục và Đào tạo .....
Đề thi Học kì 1 theo Thông tư 22
năm 2025
Bài thi môn: Toán 9
Thời gian làm bài: phút
(không kể thời gian phát đề)
(Đề số 5)
Bài 1 (2 điểm):
Cho A =
và B =
(với x ≥ 0: x ≠ 5).
a) Tính giá trị của biểu thức B khi x = 49.
b) Rút gọn A
c) Tìm giá trị của x để B:A = |x – 4|.
Bài 2 (2 điểm):
Cho hàm số bậc nhất y = (2m – 1)x – 2m + 5 (với m là tham số) có đồ thị là đường thẳng d và hàm số y = 2x + 1 có đồ thị là đường thẳng (d’).
a) Tìm giá trị của m để đường thẳng (d) đi qua điểm A(2; -3)
b) Tìm giá trị của m để đường thẳng (d) song song với đường thẳng (d’). Với giá trị m vừa tìm được, vẽ đường thẳng (d) và tính góc tạo bởi đường thẳng (d) và trục Ox (làm tròn đến phút).
Bài 3 (2 điểm): Giải phương trình:
a) 
b) 
Bài 4 (3 điểm): Cho tam giác ABC nhọn. Đường tròn tâm O, đường kính BC cắt AB ở M cắt AC ở N. Gọi H là giao điểm của BN và CM. AH cắt BC tại K.
a) Chứng minh AK vuông góc với BC
b) Gọi E là trung điểm của AH. Chứng minh EM là tiếp tuyến của đường tròn (O).
c) Cho biết sin
. Hãy so sánh AH và BC.
Bài 5 (1 điểm):
a) Hải đăng Kê Gà thuộc xã Tân Thành, huyện Hàm Thuận Nam, Bình thuận là ngọn hải đăng được trung tâm sách kỷ lục Việt Nam xác nhận là ngọn hải đăng cao nhất và nhiều tuổi nhất. Hải đăng Kê Gà được xây dựng năm 1897 – 1899 và toàn bộ bằng đá. Tháp đèn có hình bát giác, cao 66m so với mực nước biển. Ngọn đèn đặt trong tháp có thể phát sáng xa tới 40km. Một người trên biển muốn quan sát ngọn hải đăng có độ cao 66m, người đó đứng trên mũi thuyền và dùng giác kế đo được góc giữa thuyền và tia nắng chiều từ đỉnh ngọn hải đăng đến thuyền là . Tính khoảng cách của thuyền đến ngọn hải đăng (làm tròn đến m).

b) Cho các số thực dương x; y thỏa mãn xy > 2020x + 2021y.
Phòng Giáo dục và Đào tạo .....
Đề thi Học kì 1 theo Thông tư 22
năm 2025
Bài thi môn: Toán 9
Thời gian làm bài: phút
(không kể thời gian phát đề)
(Đề số 6)
Bài 1 (2 điểm): 
a) Rút gọn M
b) So sánh M với 1
Bài 2 (2 điểm): Cho đường thẳng d: y = (1 – 2m)x + m - ![]()
a) Tìm m để hàm số đi qua điểm A (1; 2)
b) Tìm điểm cố định mà hàm số luôn đi qua.
Bài 3 (2 điểm): Giải các phương trình sau:

Bài 4 (3, 5 điểm): Cho tam giác ABC. Đường tròn có đường kính BC cắt cạnh AB, AC lần lượt tại E, D. BD và CE cắt nhau tại H. Chứng minh:
a) AH vuông góc với BC tại F thuộc BC
b) FA.FH = FB.FC
c) Bốn điểm A, E, H, D cùng nằm trên một đường tròn, xác định tâm I của đường tròn.
d) IE là tiếp tuyến của đường tròn (I).
Bài 5 (0,5 điểm): Cho ba số dương x, y, z thay đổi nhưng luôn thỏa mãn điều kiện x + y + z = 1. Tìm giá trị lớn nhất của biểu thức:

................................
................................
................................
Trên đây tóm tắt một số nội dung miễn phí trong bộ Đề thi Toán 9 năm 2026 mới nhất, để mua tài liệu trả phí đầy đủ, Thầy/Cô vui lòng xem thử:
Tủ sách VIETJACK luyện thi vào 10 cho 2k11 (2026):
Đã có app VietJack trên điện thoại, giải bài tập SGK, SBT Soạn văn, Văn mẫu, Thi online, Bài giảng....miễn phí. Tải ngay ứng dụng trên Android và iOS.
Theo dõi chúng tôi miễn phí trên mạng xã hội facebook và youtube:Bộ đề thi năm 2025 các lớp các môn học được Giáo viên nhiều năm kinh nghiệm tổng hợp và biên soạn theo Thông tư mới nhất của Bộ Giáo dục và Đào tạo, được chọn lọc từ đề thi của các trường trên cả nước.
Nếu thấy hay, hãy động viên và chia sẻ nhé! Các bình luận không phù hợp với nội quy bình luận trang web sẽ bị cấm bình luận vĩnh viễn.
- Đề thi lớp 1 (các môn học)
- Đề thi lớp 2 (các môn học)
- Đề thi lớp 3 (các môn học)
- Đề thi lớp 4 (các môn học)
- Đề thi lớp 5 (các môn học)
- Đề thi lớp 6 (các môn học)
- Đề thi lớp 7 (các môn học)
- Đề thi lớp 8 (các môn học)
- Đề thi lớp 9 (các môn học)
- Đề thi lớp 10 (các môn học)
- Đề thi lớp 11 (các môn học)
- Đề thi lớp 12 (các môn học)
- Giáo án lớp 1 (các môn học)
- Giáo án lớp 2 (các môn học)
- Giáo án lớp 3 (các môn học)
- Giáo án lớp 4 (các môn học)
- Giáo án lớp 5 (các môn học)
- Giáo án lớp 6 (các môn học)
- Giáo án lớp 7 (các môn học)
- Giáo án lớp 8 (các môn học)
- Giáo án lớp 9 (các môn học)
- Giáo án lớp 10 (các môn học)
- Giáo án lớp 11 (các môn học)
- Giáo án lớp 12 (các môn học)


Giải bài tập SGK & SBT
Tài liệu giáo viên
Sách
Khóa học
Thi online
Hỏi đáp

