Đề thi Học kì 1 Vật Lí 8 có đáp án (6 đề)
Đề thi Học kì 1 Vật Lí 8 có đáp án (6 đề)
Với Đề thi Học kì 1 Vật Lí 8 có đáp án (6 đề), chọn lọc giúp học sinh ôn tập và đạt kết quả cao trong bài thi Học kì 1 Vật lí 8.
Phòng Giáo dục và Đào tạo .....
Đề thi Học kì 1
năm 2025
Bài thi môn: Toán lớp 8
Thời gian làm bài: 45 phút
(không kể thời gian phát đề)
(Đề số 1)
PHẦN I: TRẮC NGHIỆM (3 điểm)
Chọn chữ cái đứng trước câu trả lời mà em cho là đúng nhất. Mỗi câu trả lời đúng được 0,5 điểm.
Câu 1. Trong các công thức sau đây, công thức nào dùng để tính áp suất chất lỏng?
A. p = d.V.
B. p = d.h.
C. p =
D. p = F. S
Câu 2. Có một khúc gỗ và một khối thép có cùng thể tích được nhúng chìm trong nước. Hỏi lực đẩy Ác-si-mét tác dụng lên vật nào lớn hơn?
A. Lực đẩy Ác-si-mét tác dụng lên khối thép lớn hơn khúc gỗ.
B. Lực đẩy Ác-si-mét tác dụng lên khúc gỗ lớn hơn khối thép.
C. Lực đẩy Ác-si-mét tác dụng lên khúc gỗ và khối thép bằng nhau.
D. Không thể so sánh được vì thiếu điều kiện.
Câu 3. Khi nói Trái đất quay quanh Mặt trời, ta đã chọn vật nào làm mốc?
A. Mặt trời.
B. Trái đất.
C. Ngôi sao.
D. Một vật trên mặt đất.
Câu 4. Trong các chuyển động sau chuyển động nào là chuyển động do quán tính?
A. Hòn đá lăn từ trên núi xuống.
B. Xe máy chạy trên đường.
C. Lá rơi từ trên cao xuống.
D. Xe đạp chạy sau khi thôi không đạp xe nữa.
Câu 5. Áp lực là gì?
A. Áp lực là lực ép lên mặt bị ép.
B. Áp lực là trọng lượng của vật ép lên mặt sàn.
C. Áp lực là lực ép có phương vuông góc với mặt bị ép.
D. Áp lực là trọng lượng của vật ép vuông góc lên mặt sàn.
Câu 6. Móc một quả nặng vào lực kế ở ngoài không khí, lực kế chỉ 30N. Nhúng chìm quả nặng đó vào trong nước số chỉ của lực kế thay đổi như thế nào?
A. Tăng lên
B. Giảm đi
C. Không thay đổi
D. Chỉ số 0.
PHẦN II: TỰ LUẬN (7 điểm)
Bài 1: (2 điểm) Hành khách đang ngồi trên ô tô, ô tô đột ngột tăng vận tốc. Hỏi hành khách ngã về phía nào? Tại sao?
Bài 2: (2 điểm) Một bể cao 1,5m chứa đầy nước. Cho biết trọng lượng riêng của nước là 10 000 N/m3. Tính:
a/ Áp suất của nước tác dụng lên đáy bể?
b/ Áp suất của nước tác dụng lên một điểm cách đáy bể 60cm?
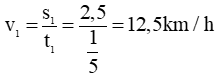
Bài 3: (3 điểm) Một học sinh chạy xe đạp đến trường đi trên đoạn đường bằng 2,5km hết 12 phút, đoạn đường dốc hết 2 phút biết vận tốc của xe đạp lúc đó bằng 18km/h.
a. Tính vận tốc trung bình của xe đạp đi trên quãng đường bằng.
b. Tính vận tốc trung bình của xe đạp trên cả hai quãng đường.
----------HẾT---------
Đáp án đề số 1
PHẦN I. TRẮC NGHIỆM
Câu 1.
Công thức dùng để tính áp suất chất lỏng là p = d.h
Trong đó:
+ d là trọng lượng riêng của chất lỏng (N/m3)
+ h là độ cao cột chất lỏng (m)
+ p là áp suất chất lỏng (N/m2 hoặc Pa)
Chọn đáp án B
Câu 2.
Lực đẩy Ác – si – mét được tính theo công thức F = d.V
Trong đó:
+ d là trọng lượng riêng của chất lỏng
+ V là thể tích chất lỏng bị vật chiếm chỗ = thể tích vật chìm trong chất lỏng
Theo đề bài ta có:
- khúc gỗ và khối thép có cùng thể tích và được nhấn chìm => V là như nhau
- Khúc gỗ và khối thép được nhấn cùng vào nước => d như nhau
=> Lực đẩy Ác-si-mét tác dụng lên khúc gỗ và khối thép bằng nhau.
Chọn đáp án C
Câu 3.
Khi nói Trái đất quay quanh Mặt trời, ta đã chọn vật Mặt Trời làm mốc.
Chọn đáp án A
Câu 4.
A – chuyển động do trọng lực tác dụng
B – chuyển động do lực từ động cơ xe máy
C – chuyển động do trọng lực tác dụng
D – chuyển động do quán tính, vì khi không đạp nữa tức là không có lực tác dụng vào xe đạp mà xe vẫn chuyển động.
Chọn đáp án D
Câu 5.
Áp lực là lực ép có phương vuông góc với mặt bị ép.
Chọn đáp án C
Câu 6.
Khi nhúng chìm quả nặng đó vào trong nước thì quả nặng chịu thêm tác dụng của lực đẩy Ác – si – mét có chiều ngược với chiều của trọng lực => số chỉ lực kế giảm đi.

Chọn đáp án B
PHẦN II. TỰ LUẬN
Bài 1.
Hành khách đang ngồi trên ô tô, ô tô đột ngột tăng vận tốc. Hỏi hành khách ngã về phía sau. Vì khi xe đột ngột tăng vận tốc, do có quán tính nên hành khách không thể thay đổi vận tốc kịp thời được nên bị ngã về phía sau.
Bài 2.
Tóm tắt:
h1= 1,5 m
h2= 1,5 – 0,6 = 0,9 m
d = 10 000 N/m3
p1= ? (Pa)
p2= ? (Pa)
Áp suất của nước tác dụng lên đáy bể là
p1 = d . h1 = 10 000 . 1,5 = 15 000 (Pa)
Áp suất của nước tác dụng lên điểm cách đáy bể 60cm là:
p2 = 10 000 . 0,9 = 9 000 (Pa)
Bài 3.
Tóm tắt:
S1 = 2,5km
t1 = 12 phút= 1/5h
v2 = 18km/h
t2 = 2 = 1/30h
v1= ? v2= ? vtb= ?
Giải
a. Vận tốc xe đạp đi trên đoạn đường bằng là

b. Độ dài đoạn đường dốc là

Vận tốc xe đạp đi trên cả hai đoạn đường là


Phòng Giáo dục và Đào tạo .....
Đề thi Học kì 1
năm 2025
Bài thi môn: Toán lớp 8
Thời gian làm bài: 45 phút
(không kể thời gian phát đề)
(Đề số 2)
PHẦN I: TRẮC NGHIỆM (3 điểm)
Chọn chữ cái đứng trước câu trả lời mà em cho là đúng nhất. Mỗi câu trả lời đúng được 0,5 điểm.
Câu 1. Đơn vị của áp suất là:
A. kg/m3
B. N/m3.
C. N
D. N/m2 hoặc Pa
Câu 2. Độ lớn của vận tốc cho ta biết:
A. Quãng đường chuyển động dài hay ngắn của một vật.
B. Mức độ nhanh hay chậm của chuyển động.
C. Nguyên nhân vì sao vật chuyển động.
D. Sự thay đổi hình dạng của vật khi chuyển động.
Câu 3. Một khối sắt có thể tích 50 cm3. Nhúng chìm khối sắt này vào trong nước. Cho biết trọng lượng riêng của nước: dn = 10 000 N/m3. Tính lực đẩy Ác- si- mét tác dụng lên khối sắt?
A. 25 N
B. 0,5 N
C. 5 N
D. 50 N.
Câu 4. Đối với bình thông nhau, mặt thoáng của chất lỏng trong các nhánh ở cùng một độ cao khi:
A. Tiết diện của các nhánh bằng nhau.
B. Các nhánh chứa cùng một loại chất lỏng đứng yên.
C. Độ dày của các nhánh như nhau.
D. Độ dài của các nhánh bằng nhau.
Câu 5. Hình 1 biểu diễn trọng lực tác dụng lên vật có khối lượng 8 kg với tỉ xích nào sau đây là đúng?

A. Tỉ xích 1cm ứng với 20N.
B. Tỉ xích 1cm ứng với 2N.
C. Tỉ xích 1cm ứng với 4N.
D. Tỉ xích 1cm ứng với 40N.
Câu 6. Một người đi xe đạp trong 45 phút, với vận tốc 12km/h. Quãng đường người đó đi được là:
A. 9km.
B. 4km.
C. 6km/h.
D. 3km.
PHẦN II: TỰ LUẬN (7 điểm)
Bài 1: (2 điểm) So sánh áp suất gây ra tại các điểm A ,B ,C ,D ,E

Bài 2: (2 điểm) Tại sao khi trời mưa, đường đất mềm lầy lội, người ta thường dùng một tấm ván đặt trên đường để người và xe đi lại?
Bài 3: (3 điểm) Một người thợ lặn ở độ sâu 32m so với mặt nước biển. Biết trọng lượng riêng của nước biển là 10 300N/m3.
a, Tính áp suất nước biển tác dụng lên thợ lặn.
b, Khi áp suất nước biển tác dụng lên thợ lặn là 206 000N/m2, hãy tính độ sâu của thợ lặn? Người thợ lặn đã bơi lên hay lặn xuống? Vì sao?
----------HẾT---------
Đáp án đề số 2
Câu 1.
Đơn vị của áp suất là N/m2 hoặc Pa
Chọn đáp án D
Câu 2. Độ lớn của vận tốc cho ta biết mức độ nhanh hay chậm của chuyển động.
Chọn đáp án B
Câu 3.
Đổi V = 50 cm3 = 0,00005 m3
Lực đẩy Ác – si – mét tác dụng lên khối sắt là
FA = d . V = 10 000 . 0,00005 = 0,5 N
Chọn đáp án B
Câu 4. Đối với bình thông nhau, mặt thoáng của chất lỏng trong các nhánh ở cùng một độ cao khi các nhánh chứa cùng một loại chất lỏng đứng yên.
Chọn đáp án B
Câu 5.
Trọng lượng của vật là P = 10 . m = 10 . 8 = 80 N
Hình 1 biểu diện lực với 4cm ứng với 80N
=> tỉ xích 1cm ứng với 20N
Chọn đáp án A
Câu 6.
Đổi t = 45p = 0,75h
Quãng đường người đó đi được là
S = v . t = 12. 0,75 = 9 km
Chọn đáp án A
PHẦN II. TỰ LUẬN
Bài 1:
Áp suất gây ra tại các điểm A, B, C, D trong cùng một chất lỏng lần lượt được tính theo công thức:
PA = d.hA
PB = d.hB
PC = d.hC
PD = d.hD
=> áp suất lớn hơn khi độ sâu của điểm đó tới mặt chất lỏng lớn hơn.
Ta thấy, hE > hD > hC = hB > hA
Vậy pE > pD > pC = pB > hA
Bài 2.
Ta có:
, để đi lại được dễ dàng trên đường đất mềm lầy lội ta cần làm giảm áp suất bằng cách giảm áp lực hoặc tăng diện tích bị ép. Do vậy, đặt tấm ván để tăng diện tích bề mặt tiếp xúc, làm giảm áp suất do người hoặc xe tác dụng lên mặt đường nên không bị lún.
Bài 3.
Tóm tắt: h0 = 32m; dnước biển = 10 300N/m3
Hỏi:
a, p0 = ? (Pa);
b, p = 206 000 (Pa) thì thợ lặn bơi lên hay lặn xuống? p = ? (Pa)
- Áp suất của nước biển tác dụng lên thợ lặn là:
p0 = d.h0 = 10 300.32 = 329 600 (Pa)
- Độ sâu của người thợ lặn là:
h = p : d = 206 000 : 10 300 = 20 (m)
Người thợ lặn đã bơi lên vì 20 < 32 (m)
ĐS: a, p0 = 329 600 (Pa); b, h = 20 (m), người thợ lặn đã bơi lên.
Phòng Giáo dục và Đào tạo .....
Đề thi Học kì 1
năm 2025
Bài thi môn: Toán lớp 8
Thời gian làm bài: 45 phút
(không kể thời gian phát đề)
(Đề số 3)
PHẦN I: TRẮC NGHIỆM (4 điểm)
Chọn chữ cái đứng trước câu trả lời mà em cho là đúng nhất. Mỗi câu trả lời đúng được 0,5 điểm.
Câu 1. Cặp lực nào sau đây là hai lực cân bằng:
A. Hai lực cùng cường độ, cùng phương.
B. Hai lực cùng phương, ngược chiều.
C. Hai lực cùng phương, cùng cường độ, cùng chiều.
D. Hai lực cùng đặt lên một vật, cùng cường độ, cùng phương, ngược chiều.
Câu 2.Một ôtô đỗ trong bến xe, trong các vật mốc sau đây, đối với vật mốc nào thì ôtô xem là chuyển động?
A. Bến xe
B. Một ôtô khác đang rời bến
C. Cột điện trước bến xe
D. Một ôtô khác đang đậu trong bến
Câu 3. Đối với bình thông nhau, mặt thoáng của chất lỏng trong các nhánh ở cùng một độ cao khi:
A. Các nhánh chứa cùng một loại chất lỏng đứng yên.
B. Tiết diện của các nhánh bằng nhau.
C. Độ dày của các nhánh như nhau.
D. Độ dài của các nhánh bằng nhau.
Câu 4. Một vật khối lượng 250kg, đặt trên mặt đất. Diện tích của vật tác dụng lên mặt đất là 500dm2. Áp suất vật đó gây trên mặt đất là:
A. 250N/m2
B. 2500N/m2
C. 500N/m2
D. 5000N/m2
Câu 5. Một người đi xe đạp trong 45 phút, với vận tốc 12km/h. Quãng đường người đó đi được là:
A. 6km.
B. 4km.
C. 9km/h.
D. 3km.
Câu 6. Khi đoàn tàu đang chuyển động trên đường nằm ngang thì áp lực có độ lớn bằng độ lớn của lực nào?
A. Lực kéo do đầu tàu tác dụng lên toa tàu.
B. Trọng lực của tàu.
C. Lực ma sát giữa tàu và đường ray.
D. Lực cản của không khí.
Câu 7. Sự tạo thành áp suất khí quyển là do đâu?
A. Do không khí tạo thành khí quyển có trọng lượng.
B. Do mặt trời tác dụng lực vào Trái Đất.
C. Do mặt trăng tác dụng lực vào Trái Đất.
D. Do Trái Đất tự quay.
Câu 8. Lực đẩy Ác-si-mét tác dụng lên vật nhúng trong chất lỏng có hướng như thế nào?
A. Hướng thẳng từ trên xuống dưới.
B. Hướng thẳng từ dưới lên trên.
C. Theo mọi hướng.
D. Hướng thẳng từ trên xuống dưới và từ dưới lên trên.
PHẦN II: TỰ LUẬN (6 điểm)
Bài 1. (2 điểm) Một thùng cao 3m đựng đầy nước. Hỏi áp suất của nước lên đáy thùng và lên một điểm A cách đáy thùng 1m là bao nhiêu? Biết dnước = 10 000N/m3.
Bài 2. (2 điểm) Lưỡi dao, kéo cần mài cho thật sắc còn móng nhà và chân bàn, ghế thì cần làm to bản và chắc chắn. Hãy giải thích.
Bài 3. (2 điểm) Hãy cho biết một vật chìm trong chất lỏng chịu tác dụng của mấy lực? Đó là những lực nào? Hãy tính trọng lượng của vật và biểu diễn các lực tác dụng lên vật trong trường hợp vật đang lơ lửng trong lòng chất lỏng. Biết vật nặng 2kg, tỉ lệ xích tùy ý.
----------HẾT---------
Đáp án đề số 3
Câu 1.
Hai lực cân bằng là hai lực cùng đặt lên một vật, cùng cường độ, cùng phương, ngược chiều.
Chọn đáp án D
Câu 2.
- Một ôtô đỗ trong bến xe đối với vật mốc là một ô tô khác đang rời bến thì ôtô xem là chuyển động.
- Còn lấy vật mốc là bến xe, cột điện hay một ô tô khác đậu trong bến thì xe ô tô đỗ trong bến xe đều là đang đứng yên.
Chọn đáp án B
Câu 3.
Đối với bình thông nhau, mặt thoáng của chất lỏng trong các nhánh ở cùng một độ cao khi các nhánh chứa cùng một loại chất lỏng đứng yên.
Chọn đáp án A
Câu 4.
Áp suất vật đó gây trên mặt đất là
Chọn đáp án C
Câu 5.
Đổi t = 45p = 0,75h
Quãng đường người đó đi được là
S = v . t = 12. 0,75 = 9 km
Chọn đáp án C
Câu 6.
Khi đoàn tàu đang chuyển động trên đường nằm ngang thì áp lực có độ lớn bằng độ lớn của trọng lực của tàu.
Chọn đáp án B
Câu 7.
Sự tạo thành áp suất khí quyển là do không khí tạo thành khí quyển có trọng lượng.
Chọn đáp án A
Câu 8.
Lực đẩy Ác-si-mét tác dụng lên vật nhúng trong chất lỏng có hướng thẳng từ dưới lên trên.
Chọn đáp án B
PHẦN II. TỰ LUẬN
Bài 1.
Tóm tắt:
h = 3m; dnước = 10 000N/m3
Hỏi: pđáy = ? (Pa); pA = ? (Pa)
- Áp suất của nước lên đáy thùng là:
pđáy = d.h = 10 000.3 = 30 000 (Pa)
- Áp suất của nước lên điểm A là:
pA = d.hA = 10 000.(3-1) = 20 000 (Pa)
ĐS: pđáy = 30 000 (Pa); pA = 20 000 (Pa)
Bài 2.
- Lưỡi dao, kéo mài sắc để giảm diện tích tiếp xúc nên làm áp suất lên vật giúp việc cắt, gọt dễ dàng hơn.
- Móng nhà, chân bàn, ghế làm to bản, chắc chắn để tăng diện tích tiếp xúc làm giảm áp suất lên mặt đất giúp nhà cửa, bàn ghế chắc chắn, an toàn hơn.
Bài 3.
- Biểu diễn đúng và đủ các kí hiệu của hình.
Có 2 lực tác dụng lên vật: trọng lực và lực đẩy Ác-si-mét

- Trọng lượng của vật là:
P = 10.m = 10.2 = 20N

Phòng Giáo dục và Đào tạo .....
Đề thi Học kì 1
năm 2025
Bài thi môn: Toán lớp 8
Thời gian làm bài: 45 phút
(không kể thời gian phát đề)
(Đề số 4)
PHẦN I: TRẮC NGHIỆM (4 điểm)
Chọn chữ cái đứng trước câu trả lời mà em cho là đúng nhất. Mỗi câu trả lời đúng được 0,5 điểm.
Câu 1. Công thức tính áp suất là

Câu 2. Lực nào sau đây không phải là áp lực?
A. Trọng lực tác dụng lên quyển sách đặt trên mặt bàn nằm ngang.
B. Lực búa tác dụng vuông góc với mũ đinh.
C. Lực kéo vật chuyển động trên mặt sàn nằm ngang.
D. Lực mà chiếc tủ tác dụng lên mặt đất.
Câu 3. Trong các hiện tượng sau, hiện tượng nào liên quan đến áp suất khí quyển?
A. Cắm ống hút vào cốc nước rồi để yên.
B. Đổ đầy nước vào một chiếc cốc.
C. Uống nước trong cốc bằng cách đổ dần nước trong cốc vào miệng.
D. Hộp sữa sau khi hút hết bị bẹp về mọi phía.
Câu 4. Móc một quả nặng vào lực kế ở ngoài không khí, lực kế chỉ 30N. Nhúng chìm quả nặng đó vào trong nước số chỉ của lực kế thay đổi như thế nào?
A. Giảm đi
B. Tăng lên
C. Không thay đổi
D. Chỉ số 0.
Câu 5. Công thức nào sau đây dùng để tính vận tốc trung bình của chuyển động không đều?

Câu 6. Trong các trường hợp sau, trường hợp nào cần tăng ma sát?
A. Bảng trơn và nhẵn quá.
B. Khi quẹt diêm.
C. Khi cần phanh gấp để xe dừng lại.
D. Tất cả các trường hợp trên đều cần tăng ma sát.
Câu 7. Một vật chuyển động thẳng đều với tốc độ 5m/s. Thời gian để vật chuyển động hết quãng đường 200m là
A. 50s
B. 25s
C. 10s
D. 40s
Câu 8.Khi có lực tác dụng mọi vật không thể thay đổi vận tốc đột ngột được vì mọi vật đều có:
A. Ma sát.
B. Quán tính.
C. Trọng lực.
D. Đàn hồi.
PHẦN II: TỰ LUẬN (6 điểm)
Bài 1.(2 điểm) Một người đứng bàng hai tấm ván mỏng đặt trên sàn nhà và tác dụng lên mặt sàn một áp suất 1,6.104N/m2. Diện tích của một tấm ván tiếp xúc với mặt sàn là 2dm2. Bỏ qua khối lượng của tấm ván, tính khối lượng của người đó?
Bài 2. (3 điểm) Một người thợ lặn ở độ sâu 24m so với mặt nước biển. Biết trọng lượng riêng của nước là 10 300N/m3.
a, Tính áp suất nước biển tác dụng lên thợ lặn.
b, Khi áp suất nước biển tác dụng lên thợ lặn là 309 000N/m2, hãy tính độ sâu của thợ lặn? Người thợ lặn đã bơi lên hay lặn xuống? Vì sao?
Bài 3. (1 điểm) Khi lặn sâu dưới nước, ta thường có cảm giác tức ngực, ù tai, chóng mặt. Hãy giải thích.
----------- HẾT -----------
Đáp án đề số 4
PHẦN I. TRẮC NGHIỆM
Câu 1.
Công thức tính áp suất là p =
Chọn đáp án A
Câu 2.
A – Trọng lực là áp lực
B – Lực búa là áp lực
C – lực kéo không phải là áp lực vì trong trường hợp này nó song song với mặt sàn.
D – Lực mà chiếc tủ tác dụng lên mặt đất là trọng lực của vật chính là áp lực
Câu 3.
Hiện tượng nào liên quan đến áp suất khí quyển là hộp sữa sau khi hút hết bị bẹp về mọi phía.
Câu 4.
Khi nhúng chìm quả nặng đó vào trong nước thì quả nặng chịu thêm tác dụng của lực đẩy Ác – si – mét có chiều ngược với chiều của trọng lực => số chỉ lực kế giảm đi.

Chọn đáp án A
Câu 5.
Công thức tính vận tốc trung bình của chuyển động không đều là:

Chọn đáp án B
Câu 6.
Các trường hợp cần tăng ma sát:
- Bảng trơn và nhẵn quá
- Khi quẹt diêm.
- Khi cần phanh gấp để xe dừng lại.
Chọn đáp án D
Câu 7.
Thời gian để vật chuyển động hết quãng đường 200m là

Chọn đáp án D
Câu 8.
Khi có lực tác dụng mọi vật không thể thay đổi vận tốc đột ngột được vì mọi vật đều có quán tính.
Chọn đáp án B
PHẦN II: TỰ LUẬN
Bài 1.
Trọng lượng của người đó P = F = p.s = 2.1,6.104.0,02 = 640N
Khối lượng của người đó m = 64kg.
Bài 2.
Tóm tắt:
h0 = 24m; dnước biển = 10 300N/m3
Hỏi:
a, p0 = ? (Pa);
b, p = 309 000 (Pa) thì thợ lặn bơi lên hay lặn xuống? p = ? (Pa)
Giải:
- Áp suất của nước biển tác dụng lên thợ lặn là:
p0 = d.h0 = 10 300. 24 = 247 200 (Pa)
- Độ sâu của người thợ lặn là:
h = p : d = 309 000 : 10 300 = 30 (m)
Người thợ lặn đã lặn xuống vì 30 > 24 (m)
ĐS: a, p0 = 247 200 (Pa); b, h = 30 (m), người thợ lặn đã lặn xuống.
Bài 3.
- Vì khi lặn sâu dưới nước, áp suất chất lỏng tác dụng lên cơ thể theo mọi phương.
- Áp suất bên trong và bên ngoài cơ thể chênh lệch nhau, áp suất chất lỏng lớn hơn và đè nén vào ngực, tai, … gây ra cảm giác tức ngực, ù tai và chóng mặt.
Phòng Giáo dục và Đào tạo .....
Đề thi Học kì 1
năm 2025
Bài thi môn: Toán lớp 8
Thời gian làm bài: 45 phút
(không kể thời gian phát đề)
(Đề số 5)
PHẦN I: TRẮC NGHIỆM (5 điểm)
Chọn chữ cái đứng trước câu trả lời mà em cho là đúng nhất. Mỗi câu trả lời đúng được 0,5 điểm.
Câu 1. Khi thiết kế đập chắn nước, căn cứ các quy luật áp suất chất lỏng, yêu cầu đập kiên cố, an toàn và tiết kiệm vật liệu thì các phương án nào ở hình sau là hợp lí?
A. Hình a
B. Hình b
C. Hình c
D. Hình d
Câu 2. Khi đóng cọc xuống đất, muốn cọc cắm sâu vào đất cần phải tăng áp suất của cọc lên mặt đất, việc làm nào sau đây không có tác dụng làm tăng áp suất?
A. Vót nhọn đầu cọc.
B. Làm cho đầu cọc cắm xuống đất toè ra.
C. Tăng lực đóng búa.
D. Vót nhọn đầu cọc và tăng lực đóng búa.
Câu 3. Một bình đựng chất lỏng như hình bên. Áp suất tại điểm nào nhỏ nhất?

A. Tại M
B. Tại N
C. Tại P
D. Tại Q
Câu 4. Trong các phát biểu về vận tốc, câu nào dưới đây phát biểu sai?
A. Vận tốc cho biết mức độ nhanh hay chậm của chuyển động.
B. Độ lớn của vận tốc được tính bằng quãng đường đi được trong một đơn vị thời gian.
C. Công thức tính vận tốc là v = S. t
D. Đơn vị của vận tốc là km/h
Câu 5. Lực đẩy Acsimet có phương và chiều như thế nào?
A. Phương thẳng đứng, chiều từ dưới lên.
B. Phương thẳng đứng, chiều từ trên xuống.
C. Phương nằm ngang, chiều từ dưới lên.
D. Phương nằm ngang, chiều từ trên xuống .
Câu 6. Trong hình bên, mực chất lỏng ở 3 bình ngang nhau. Bình 1 đựng nước, bình 2 đựng rượu, bình 3 đựng thuỷ ngân. Gọi p1, p2 , p3 là áp suất của các chất lỏng tác dụng lên đáy bình 1, 2 và 3. Chọn phương án đúng:

A. p1 > p2 > p3
B. p2 > p3 > p1
C. p3 > p1 > p2
D. p2 > p1 > p3
Câu 7.Chuyển động đều là chuyển động có độ lớn vận tốc
A. Không đổi trong suốt thời gian vật chuyển động.
B. Không đổi trong suốt quãng đường đi.
C. Luôn giữ không đổi, còn hướng của vận tốc có thể thay đổi.
D. Các câu A, B, C đều đúng.
Câu 8.Các chuyển động nào sau đây không phải là chuyển động cơ học?
A. Sự rơi của chiếc lá.
B. Sự di chuyển của đám mây trên bầu trời.
C. Sự thay đổi đường đi của tia sáng từ không khí vào nước.
D. Sự đong đưa của quả lắc đồng hồ.
Câu 9.Một canô chuyển động đều từ bến A đến bến B với vận tốc 30km/h thì hết 45 phút. Quãng đường từ A đến B dài:
A. 22,5km.
B.45km.
C. 135km.
D. 15km.
Câu 10. Một vật có khối lượng m = 8 kg buộc vào một sợi dây. Cần phải giữ dây với một lực là bao nhiêu để vật cân bằng?
A. F > 80 N
B. F = 8N
C. F < 80 N
D. F = 80 N
PHẦN II: TỰ LUẬN (5 điểm)
Bài 1: (1 điểm)Một vật nặng 4kg có khối lượng riêng bằng 2000 kg/m3. Khi thả vào chất lỏng có khối lượng riêng bằng 800 kg/m3. Khối lượng của chất lỏng bị vật chiếm chỗ bằng:
Bài 2: (2,5 điểm)Hãy cho biết một vật chìm trong chất lỏng chịu tác dụng của mấy lực? Đó là những lực nào? Hãy tính trọng lượng của vật và biểu diễn các lực tác dụng lên vật trong trường hợp vật đang lơ lửng trong lòng chất lỏng. Biết vật nặng 3kg, tỉ lệ xích tùy ý.
Bài 3: (1 điểm) Một thùng cao 2m đựng đầy nước. Hỏi áp suất của nước lên đáy thùng và lên một điểm A cách đáy thùng 0,8m là bao nhiêu? Biết dnước = 10 000N/m3.
---------- HẾT -----------
Đáp án đề số 5
PHẦN I: TRẮC NGHIỆM
Câu 1.
Ta có, áp suất giảm khi áp lực giảm hoặc diện tích bị ép tăng
=> ta thấy đập ở hình c có móng trụ rộng nhất trong các hình => áp suất được giảm nhiều nhất => đạp kiên cố nhất.
Chọn phương án C
Câu 2.
Ta có:
=> Muốn tăng áp suất cần tăng áp lực hoặc giảm diện tích bị ép
Việc làm làm cho đầu cọc cắm xuống đất toè ra có tác dụng làm giảm áp suất.
Chọn đáp án B
Câu 3.
Áp suất gây ra tại các điểm M, N, P, Q trong cùng một chất lỏng lần lượt được tính theo công thức:
pM = d.hM
pN = d.hN
pP = d.hP
pQ = d.hQ
=> áp suất nhỏ nhất khi độ sâu của điểm đó tới mặt chất lỏng nhỏ nhất.
Ta thấy, hQ > hP > hN > hM
Vậy pQ > pP > pN > hM
Chọn đáp án A
Câu 4.
Công thức tính vận tốc đúng là :
Chọn đáp án C
Câu 5.
Lực đẩy Acsimet có phương thẳng đứng, chiều từ dưới lên.
Chọn đáp án A
Câu 6.
Áp suất chất lỏng được tính theo công thức: p = d.h
Áp suất chất lỏng phụ thuộc vào trọng lượng riêng của chất lỏng và độ sâu của điểm xét.
Theo đề bài cho chiều cao của cột chất lỏng như nhau
=> ta so sánh trọng lượng riêng của các chất lỏng
dthủy ngân = 136000 N/m3
drượu = 8000 N/m3
dnước = 10000 N/m3
=> p3 > p1 > p2
Chọn đáp án C
Câu 7.
Chuyển động đều là chuyển động mà vận tốc có độ lớn không đổi. Vì thế phương án A, B, C đều đúng.
Chọn đáp án D
Câu 8.
Sự thay đổi đường đi của tia sáng từ không khí vào nước không phải là chuyển động cơ học.
Chọn đáp án C
Câu 9.
Thời gian 45 phút = 0,75h.
Quãng đường từ A đến B dài: s = v.t = 30.0,75 = 22,5km
Chọn đáp án A
Câu 10.
Cần phải giữ dây với một lực bằng trọng lượng của vật
P = 10 . m = 10. 8 = 80N
Chọn đáp án D
PHẦN II: TỰ LUẬN
Bài 1:
Vật có thể tích bằng: V = m/Dv = 4/2000 = 2.10-3m3
Khối lượng riêng vật lớn hơn của chất lỏng nên nó hoàn toàn chìm.
Khối lượng của chất lỏng bị vật chiếm chỗ bằng m = dl.v = 800.2.10-3 = 1,6 kg = 1600g
Bài 2.
- Trọng lượng của vật là:
P = 10.m = 10.3 =30N
- Biểu diễn đúng và đủ các kí hiệu của hình: Có 2 lực tác dụng lên vật: trọng lực và lực đẩy Ác-si-mét.

Bài 3.
Tóm tắt:
h = 2m; dnước = 10 000N/m3
Hỏi: pđáy = ? (Pa); pA = ? (Pa)
Giải
- Áp suất của nước lên đáy thùng là:
pđáy = d.h = 10 000.2 = 20 000 (Pa)
- Áp suất của nước lên điểm A là:
pA = d.hA = 10 000.(2-0,8) = 12 000 (Pa)
ĐS: pđáy = 20 000 (Pa); pA = 12 000 (Pa)

Phòng Giáo dục và Đào tạo .....
Đề thi Học kì 1
năm 2025
Bài thi môn: Toán lớp 8
Thời gian làm bài: 45 phút
(không kể thời gian phát đề)
(Đề số 6)
PHẦN I: TRẮC NGHIỆM (5 điểm)
Chọn chữ cái đứng trước câu trả lời mà em cho là đúng nhất. Mỗi câu trả lời đúng được 0,5 điểm.
Câu 1. Móng nhà phải xây rộng bản hơn tường vì
A. Để giảm trọng lượng của tường xuống mặt đất.
B. Để tăng trọng lượng của tường xuống mặt đất.
C. Để tăng áp suất lên mặt đất.
D. Để giảm áp suất tác dụng lên mặt đất.
Câu 2. Trong các hiện tượng sau đây hiện tượng nào không liên quan đến áp suất khí quyển?
A. Một cốc đựng đầy nước được đậy bằng miếng bìa khi lộn ngược cốc thì nước không chảy ra ngoài.
B. Con người có thể hít không khí vào phổi.
C. Hộp sữa bị bẹp về nhiều phía sau khi hút hết không khí bên trong.
D. Rót đầy nước vào một chiếc cốc.
Câu 3. Một vật ở trong nước chịu tác dụng của những lực nào?
A. Lực đẩy Acsimét.
B. Lực đẩy Acsimét và lực ma sát.
C. Trọng lực.
D. Trọng lực và lực đẩy Acsimét.
Câu 4. Công thức tính áp suất chất lỏng là

Câu 5. Trong các ví dụ về vật đứng yên so với vật mốc sau đây ví dụ nào là sai?
A. Trong chiếc đồng hồ đang chạy, đầu kim đứng yên so với trục của nó.
B. Trong chiếc ô tô đang chuyển động, người lái xe đứng yên so với ô tô.
C. Trên chiếc thuyền đang trôi theo dòng nước, người lái thuyền đứng yên so với chiếc thuyền.
D. Cái cặp để trên mặt bàn đứng yên so với mặt bàn.
Câu 6. Hiện tượng nào sau đây do áp suất khí quyển gây ra?
A. Quả bóng bàn bị bẹp thả vào nước nóng sẽ phồng lên như cũ.
B. Săm xe đạp bơm căng để ngoài nắng có thể bị nổ.
C. Đo nhiệt độ bằng nhiệt kế thủy ngân
D. Dùng một ống nhựa nhỏ có thể hút nước từ cốc nước vào miệng.
Câu 7. Một vật rắn nổi trên mặt chất lỏng khi
A. Khối lượng chất lỏng lởn hơn khối lượng của vật.
B. Khối lượng riêng của chất lỏng nhỏ hơn khối lượng riêng của vật.
C. Khối lượng riêng của vật nhỏ hơn khối lượng riêng chất lỏng.
D. Khối lượng của vật lớn hơn khối lượng của chất lỏng.
Câu 8. Công thức tính vận tốc là:
A. v =
B. v =
C. v = s.t
D. v = m/s
Câu 9. Một ô tô đang chuyển động trên mặt đường, lực tương tác giữa bánh xe với mặt đường là:
A. Lực ma sát lăn.
B. Lực ma sát nghỉ.
C. Lực ma sát trượt.
D. Lực quán tính.
Câu 10. Một xe đạp đi với vận tốc 12km/h. Con số đó cho ta biết điều gì? Hãy chọn câu trả lời đúng.
A. Thời gian đi của xe đạp
B. Quãng đường đi của xe đạp
C. Xe đạp đi 1 giờ được 12km
D. Mỗi giờ xe đạp đi được 12km
PHẦN II: TỰ LUẬN (5 điểm)
Bài 1: (1,5 điểm) So sánh áp suất gây ra tại các điểm A ,B ,C ,D ,E

Bài 2: (1,5 điểm) Tại sao khi trời mưa, đường đất mềm lầy lội, người ta thường dùng một tấm ván đặt trên đường để người và xe đi lại?
Bài 3: (2 điểm) Một học sinh chạy xe đạp đến trường đi trên đoạn đường bằng 2,5km hết 12 phút, đoạn đường dốc hết 2 phút biết vận tốc của xe đạp lúc đó bằng 18km/h.
a. Tính vận tốc trung bình của xe đạp đi trên quãng đường bằng.
b. Tính vận tốc trung bình của xe đạp trên cả hai quãng đường.
---------- HẾT -----------
Đáp án đề số 6
PHẦN I: TRẮC NGHIỆM
Câu 1.
Móng nhà phải xây rộng bản hơn tường vì để giảm áp suất tác dụng lên mặt đất.
Chọn đáp án D
Câu 2.
Hiện tượng nào không liên quan đến áp suất khí quyển là rót đầy nước vào một chiếc cốc.
Chọn đáp án D
Câu 3.
Một vật ở trong nước chịu tác dụng của những lực: trọng lực và lực đẩy Ác – si – mét.
Chọn đáp án D
Câu 4.
Công thức tính áp suất chất lỏng là p = d.h
Trong đó:
+ d là trọng lượng riêng của chất lỏng
+ h là độ cao cột chất lỏng
Câu 5.
Trong chiếc đồng hồ đang chạy, đầu kim chuyển động so với trục của nó vì có thời điểm đầu kim ở bên trái trục, có thời điểm đầu kim ở bên phải trục.
Chọn đáp án A
Câu 6.
A – hiện tượng dãn nở vì nhiệt của chất khí
B – hiện tượng dãn nở vì nhiệt của chất khí
C – hiện tượng dãn nở vì nhiệt của chất lỏng
D - Vì khi bơm khí vào quả bóng bên trong quả bóng có không khí nên tạo áp suất lên quả bóng áp suất này bằng hoặc lớn hơn áp suất ở môi trường trong điều kiện thường nên quả bóng căng phồng.
Chọn đáp án D
Câu 7.
Một vật rắn nổi trên mặt chất lỏng khi khối lượng riêng của vật nhỏ hơn khối lượng riêng chất lỏng.
Chọn đáp án C
Câu 8.
Công thức tính vận tốc là: v =
Chọn đáp án B
Câu 9.
Một ô tô đang chuyển động trên mặt đường, lực tương tác giữa bánh xe với mặt đường là lực ma sát lăn.
Chọn đáp án A
Câu 10.
Một xe đạp đi với vận tốc 12km/h. Con số đó cho ta biết mỗi giờ xe đạp đi được 12km.
Chọn đáp án D
PHẦN II: TỰ LUẬN
Bài 1:
Áp suất gây ra tại các điểm A, B, C, D trong cùng một chất lỏng lần lượt được tính theo công thức:
PA = d.hA
PB = d.hB
PC = d.hC
PD = d.hD
=> áp suất lớn hơn khi độ sâu của điểm đó tới mặt chất lỏng lớn hơn.
Ta thấy, hE > hD > hC = hB > hA
Vậy pE > pD > pC = pB > hA
Bài 2:
Ta có:
, để đi lại được dễ dàng trên đường đất mềm lầy lội ta cần làm giảm áp suất bằng cách giảm áp lực hoặc tăng diện tích bị ép. Do vậy, đặt tấm ván để tăng diện tích bề mặt tiếp xúc, làm giảm áp suất do người hoặc xe tác dụng lên mặt đường nên không bị lún.
Bài 3:
Tóm tắt:
S1 = 2,5km
t1 = 12 phút= 1/5h
v2 = 18km/h
t2 = 2= 1/30h
v1= ? v2= ? vtb= ?
Giải
a. Vận tốc xe đạp đi trên đoạn đường bằng là
b. Độ dài đoạn đường dốc là
Vận tốc xe đạp đi trên cả hai đoạn đường là

Tủ sách VIETJACK luyện thi vào 10 cho 2k11 (2026):
Đã có app VietJack trên điện thoại, giải bài tập SGK, SBT Soạn văn, Văn mẫu, Thi online, Bài giảng....miễn phí. Tải ngay ứng dụng trên Android và iOS.
Theo dõi chúng tôi miễn phí trên mạng xã hội facebook và youtube:Bộ đề thi năm 2025 các lớp các môn học được Giáo viên nhiều năm kinh nghiệm tổng hợp và biên soạn theo Thông tư mới nhất của Bộ Giáo dục và Đào tạo, được chọn lọc từ đề thi của các trường trên cả nước.
Nếu thấy hay, hãy động viên và chia sẻ nhé! Các bình luận không phù hợp với nội quy bình luận trang web sẽ bị cấm bình luận vĩnh viễn.
- Đề thi lớp 1 (các môn học)
- Đề thi lớp 2 (các môn học)
- Đề thi lớp 3 (các môn học)
- Đề thi lớp 4 (các môn học)
- Đề thi lớp 5 (các môn học)
- Đề thi lớp 6 (các môn học)
- Đề thi lớp 7 (các môn học)
- Đề thi lớp 8 (các môn học)
- Đề thi lớp 9 (các môn học)
- Đề thi lớp 10 (các môn học)
- Đề thi lớp 11 (các môn học)
- Đề thi lớp 12 (các môn học)
- Giáo án lớp 1 (các môn học)
- Giáo án lớp 2 (các môn học)
- Giáo án lớp 3 (các môn học)
- Giáo án lớp 4 (các môn học)
- Giáo án lớp 5 (các môn học)
- Giáo án lớp 6 (các môn học)
- Giáo án lớp 7 (các môn học)
- Giáo án lớp 8 (các môn học)
- Giáo án lớp 9 (các môn học)
- Giáo án lớp 10 (các môn học)
- Giáo án lớp 11 (các môn học)
- Giáo án lớp 12 (các môn học)


Giải bài tập SGK & SBT
Tài liệu giáo viên
Sách
Khóa học
Thi online
Hỏi đáp

