Đề thi Giữa kì 2 Toán lớp 7 năm 2025 có ma trận (8 đề)
Đề thi Giữa kì 2 Toán lớp 7 năm 2025 có ma trận (8 đề)
Với Đề thi Giữa kì 2 Toán lớp 7 năm 2025 có ma trận (8 đề), chọn lọc giúp học sinh ôn tập và đạt kết quả cao trong bài thi Giữa kì 2 Toán 7.
Ma trận đề
Cấp độ |
Nhận biết |
Thông hiểu |
Vận dụng |
Vận dụng cao |
||||
TN |
TL |
TN |
TL |
TN |
TL |
TN |
TL |
|
Thống kê |
- Biết được mốt. - Tìm được tần số của giá trị. -Tìm giá trị tương ứng tần số. - Biết tìm giá trị khác nhau của dấu hiệu. |
- Dấu hiệu. - Lập bảng tần số. - Tính số trung bình cộng. -Vẽ biểu đồ đoạn thẳng. |
||||||
|
Số câu: 8 Số điểm: 3 Tỉ lệ: 30% |
4 1,0 10% |
4 2,0 20% |
||||||
Biểu thức đại số |
- Tìm được bậc đơn thức. - Kết quả nhân hai đơn thức. |
Tính giá trị của biểu thức. |
Từ lời văn, viết được biểu thức đại số mức độ vận dụng. |
|||||
|
Số câu: 4 Số điểm: 2 Tỉ lệ: 20% |
2 0,5 5% |
1 1,0 10% |
1 0,5 5% |
|||||
Tam giác. Hai tam giác bằng nhau. Các dạng tam giác đặc biệt |
- Biết được các trường hợp bằng nhau của tam giác vuông. - Nhận biết tam giác đặc biệt. |
- Nêu thêm điều kiện để hai tam giác bằng nhau. - Kiểm tra tam giác vuông khi biết ba cạnh. Tính cạnh tam giác dựa vào định lý Py-ta-go. |
- Chứng minh hai tam giác vuông bằng nhau. - Chứng minh tam giác đặc biệt. |
|||||
|
Số câu: 7 Số điểm: 3 Tỉ lệ: 30% |
2 0,5 5% |
2 0,5 5% |
1 0,5 5% |
2 1,5 15% |
||||
Quan hệ các yếu tố trong tam giác. Các đường đồng quy tam giác. |
- Biết được bất đẳng thức tam giác để nhận biết tam giác. - Biết được quan hệ giữa góc và cạnh đối diện trong tam giác. - Vẽ được hình, ghi được GT - KL. |
So sánh độ dài các đoạn hoặc số đo góc. |
||||||
|
Số câu: 4 Số điểm: 2 Tỉ lệ : 20% |
2 0,5 5% |
1 0,5 5% |
1 1,0 10% |
|||||
|
Tổng số câu: 23 Tổng số điểm: 10 Tỉ lệ: 100% |
11 3,0 30% |
8 4,0 40% |
3 2,0 20% |
1 1,0 10% |
||||
Phòng Giáo dục và Đào tạo .....
Đề thi Giữa kì 2
năm 2025
Bài thi môn: Toán lớp 7
Thời gian làm bài: phút
(không kể thời gian phát đề)
(Đề số 1)
I. Trắc nghiệm: Khoanh vào chữ cái đặt trước câu trả lời đúng.
Câu 1: Theo dõi thời gian làm bài toán (tính theo phút) của học sinh lớp 7A. Giáo viên lập được bảng sau:
Thời gian (x) |
2 |
3 |
5 |
6 |
9 |
10 |
12 |
|
Tần số (n) |
1 |
2 |
8 |
10 |
3 |
7 |
5 |
N = 36 |
a) Số các giá trị là khác nhau của dấu hiệu là:
A. 7
B. 36
C. 6
D. 8
b) “Tần số” của giá trị 10 là:
A. 6
B. 7
C. 8
D. 9
c) Giá trị có “tần số” 3 là:
A. 5
B. 10
C. 2
D. 9
d) Mốt của dấu hiệu là:
A. 12
B. 9
C. 6
D. 10
Câu 2: Đơn thức 9x2y5z có bậc bằng:
A. 9
B. 8
C. 7
D. 5
Câu 3: Tích của hai đơn thức 2x2 và 3x3 bằng:
A. 5x5
B. 5x6
C. 6x5
D. 6x6
Câu 4: ∆ABC và ∆DEF có ∠A = ∠D và AB = DE. Hai tam giác bằng nhau nếu có thêm điều kiện gì?
A. BC = DF
B. BC = EF
C. AC = EF
D. AC = DF
Câu 5: ∆ABC và ∆DEF vuông tại A và D có AB = DE. Hai tam giác bằng nhau nếu có thêm điều kiện gì?
B. BC = DF
B. BC = EF
C. AC = EF
D. ∠B = ∠F
Câu 6: Khẳng định nào sau đây cho ta tam giác vuông cân?
A. Tam giác cân có một góc bằng 60o
B. Tam giác vuông có một góc bằng 60o
D. Tam giác cân có một góc bằng 45o
D. Tam giác có hai góc bằng 45o
Câu 7: Bộ ba độ dài đoạn thẳng nào sau đây là ba cạnh của một tam giác:
A. 1cm, 4cm, 4cm
B. 1cm, 2cm 3cm
C. 2cm, 2cm, 4cm
D. 4cm, 1cm, 1cm.
Câu 8: Tam giác nào là tam giác vuông trong các tam giác có độ dài ba cạnh như sau:
A. 2 cm; 4cm; 6cm
B. 4cm; 6cm; 8cm
C. 6cm; 8cm; 10cm
D. 8cm; 10cm; 12cm.
Câu 9: ∆DEF có DE = 15cm; DF = 10cm; EF = 12 cm. Kết luận nào sau đây là đúng?
A. ∠D < ∠E < ∠F
B. ∠D < ∠F < ∠E
C. ∠E < ∠D < ∠F
D. ∠F < ∠E < ∠D
II. Tự luận:
Bài 1: Số điểm mỗi lần bắn của một xạ thủ được ghi lại trong bảng sau:
9 |
7 |
7 |
9 |
8 |
8 |
8 |
7 |
6 |
10 |
8 |
9 |
8 |
7 |
8 |
10 |
9 |
8 |
6 |
7 |
7 |
5 |
10 |
8 |
6 |
8 |
10 |
9 |
7 |
10 |
7 |
9 |
7 |
8 |
10 |
9 |
6 |
8 |
8 |
5 |
a) Dấu hiệu ở đây là gì?
b) Lập bảng “tần số”.
c) Tính số trung bình cộng của dấu hiệu.
d) Vẽ biểu đồ đoạn thẳng.
Bài 2: Tính giá trị biểu thức x2 – 3y tại x = –3; y = 2.
Bài 3: Biết giá tiền một quyển vở là x; giá tiền một cây bút là y. Viết biểu thức biểu thị tổng giá tiền 10 quyển vở và 3 cây bút.
Bài 4: Cho ∆ABC vuông tại A. Phân giác góc ABC cắt AC tại D. Vẽ DE ⊥ BC tại E. DE cắt BA tại F.
a) Tính BC biết AB = 6 cm; AC = 8 cm.
b) Chứng minh ∆ABD = ∆EBD.
c) Chứng minh ∆BCF cân.
d) Đường vuông góc với AC tại C cắt BD tại K. so sánh CK và AC.
Phòng Giáo dục và Đào tạo .....
Đề thi Giữa kì 2
năm 2025
Bài thi môn: Toán lớp 7
Thời gian làm bài: phút
(không kể thời gian phát đề)
(Đề số 2)
I. Trắc nghiệm: Khoanh tròn vào chữ cái đứng trước câu trả lời đúng.
Câu 1: Chọn đáp án sai trong các câu sau:
A. Tam giác cân là tam giác đều.
B. Tam giác có hai cạnh bằng nhau và một góc bằng 30o là tam giác đều.
C. Tam giác có ba góc bằng 60o là tam giác đều.
D. Tam giác đều là tam giác cân.
Câu 2: Trong các tam giác sau, tam giác nào là tam giác vuông?
A. 3cm, 5cm, 7cm
B. 6cm, 8dm, 10cm
C. 3cm, 5cm, 4cm
D. 6cm, 2cm, 14cm.
Câu 3: Điểm nào sau đây thuộc đồ thị hàm số y = f(x) = 5x?
A. (0; 7)
B. (−1; −5)
C. (1; 1)
D. (15; 3)
Câu 4: Giá trị của biểu thức x2y – xy3 – 2 + x2y2 khi x = –1; y = 1 là:
A. –1
B. –2
C. 1
D. 2
Câu 5: Thời gian thi chạy của các bạn học sinh lớp 7A tính bằng phút được thống kê trong bảng dưới đây:
4 |
5 |
6 |
7 |
6 |
6 |
6 |
7 |
6 |
8 |
5 |
6 |
9 |
5 |
7 |
6 |
8 |
8 |
9 |
7 |
8 |
8 |
10 |
9 |
11 |
8 |
9 |
8 |
4 |
5 |
6 |
7 |
7 |
7 |
8 |
5 |
9 |
5 |
8 |
8 |
9 |
6 |
Mốt của dấu hiệu là:
A. 6
B. 8
C. 9
D. 5
II. Tự luận:
Bài 1: Điểm kiểm tra học kì môn Toán học kì II của 30 học sinh lớp 7C được thống kê trong bảng sau:
4 |
7 |
6 |
4 |
6 |
8 |
8 |
7 |
3 |
6 |
7 |
5 |
4 |
8 |
5 |
6 |
9 |
5 |
7 |
7 |
6 |
3 |
2 |
7 |
8 |
9 |
10 |
9 |
5 |
8 |
a) Dấu hiệu ở đây là gì?
b) Lập bảng “tần số” và nhận xét.
c) Tính số trung bình cộng và tìm mốt của dấu hiệu.
d) Vẽ biểu đồ đoạn thẳng.
Bài 2: Cho góc nhọn xOy và điểm A là một điểm thuộc tia phân giác của góc xOy. Kẻ AE vuông góc với Ox (E ∈ Ox), kẻ AF vuông góc với Oy (F ∈ Oy).
a) Chứng minh AE = AF.
b) Tam giác OEF là tam giác gì? Giải thích tại sao?
c) Đường thẳng AE cắt Oy tại C, đường thẳng đường thẳng AF cắt Ox tại D. Chứng minh rằng AD = AC
d) Chứng minh OA ⊥ CD.
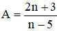
Bài 3: Cho biểu thức
. Tìm n nguyên để biểu thức A đạt giá trị nguyên.
Phòng Giáo dục và Đào tạo .....
Đề thi Giữa kì 2
năm 2025
Bài thi môn: Toán lớp 7
Thời gian làm bài: phút
(không kể thời gian phát đề)
(Đề số 3)
I. Trắc nghiệm: Khoanh tròn vào chữ cái đứng trước câu trả lời đúng.
Câu 1: Tam giác có một góc bằng 60o thì với điều kiện nào thì trở thành tam giác đều?
A. hai cạnh bằng nhau
B. ba góc nhọn
C. một cạnh đáy
D. hai góc nhọn.
Câu 2: Thêm điều kiện nào để tam giác ABC bằng tam giác DEF theo trường hợp góc – cạnh – góc, biết ∠C = ∠F, BC = EF?
A. ∠A = ∠D
B. AB = DE
C. AC = DF
D. ∠B = ∠E
Câu 3: Cho hàm số y = f(x) = 3ax. Tìm a sao cho đồ thị hàm số y = f(x) đi qua điểm (1; 9).
A. a = 1
B. a = 2
C. a = 3
D. a = 9
Câu 4: Bậc của biểu thức 5x3 – 7x6 – 4x4 – 11x5 + 3 là:
A. 3
B. 4
C. 5
D. 6
Câu 5: Cho tam giác ABC vuông cân tại A, biết AB = 16cm. Hỏi diện tích tam giác ABC bằng bao nhiêu?
A. 64
B. 95
C. 128
D. 256
II. Tự luận:
Bài 1: Điểm kiểm tra môn Toán của học sinh lớp 7D được thống kê trong bảng sau:
7 |
9 |
8 |
8 |
10 |
6 |
9 |
9 |
6 |
5 |
7 |
10 |
8 |
9 |
7 |
8 |
5 |
4 |
7 |
9 |
8 |
6 |
6 |
5 |
9 |
7 |
8 |
8 |
6 |
7 |
6 |
5 |
a) Lập bảng “tần số” để biểu diễn các số liệu trên.
b) Tìm mốt của dấu hiệu.
c) Tính điểm trung bình của lớp 7A.
d) Vẽ biểu đồ đoạn thẳng.
Bài 2: Cho đơn thức: 
a) Thu gọn đơn thức A.
b) Xác định hệ số và bậc của đơn thức A.
c) Tính giá trị của A khi x = 2; y = 1; z = −1.
Bài 3: Cho tam giác ABC (AB < AC) M là trung điểm của BC. Trên tia đối của tia MA lấy điểm E sao cho AM = EM.
a) Chứng minh: ∆AMB = ∆MCE.
b) Từ A kẻ AH vuông góc với BC. Trên tia đối của tia HA lấy điểm D sao cho HA = HD. Chứng minh: CE = BD
c) Tam giác AMD là tam giác gì? Vì sao?
Phòng Giáo dục và Đào tạo .....
Đề thi Giữa kì 2
năm 2025
Bài thi môn: Toán lớp 7
Thời gian làm bài: phút
(không kể thời gian phát đề)
(Đề số 4)
I. Trắc nghiệm: Khoanh tròn vào chữ cái đứng trước câu trả lời đúng.
Câu 1: Cho ∆ABC có AB = AC thì ∆ABC là tam giác:
A. Tam giác nhọn
B. Tam giác vuông
C. Tam giác cân
D. Tam giác đều
Câu 2: Tích của hai đơn thức 5x2y và 3xy2 bằng:
A. 15x3
B. 15x3y3
C. 5x3y2
D. 15x2y3
Câu 3: Cho hàm số y = f(x) = 3x điểm nào không thuộc đồ thị của hàm số f(x)?
A. (0; 0)
B. (1; 3)
C.
D.
Câu 4: Hệ số của đơn thức −2x5y3 là:
A. 5
B. 3
C. −2
D. 8
Câu 5: Bộ ba số nào dưới đây tạo thành một tam giác?
A. 5cm; 10cm; 12cm
B. 1cm; 2cm; 4cm
C. 1cm; 1cm; 3cm
D. 2cm; 3cm, 6cm.
Câu 6: Cho ∆ABC. Chỉ ra bất đẳng thức sai trong các bất đẳng thức sau:
A. AB > AC – BC
B. AB > AC + BC
C. AC > AB – BC
D. BC < AC + AB.
II. Tự luận:
Bài 1: Số lượng học sinh của từng lớp trong một trường THCS được ghi trong bảng như sau:
40 |
37 |
38 |
40 |
39 |
40 |
35 |
36 |
39 |
40 |
36 |
40 |
36 |
40 |
40 |
35 |
39 |
36 |
36 |
39 |
40 |
39 |
39 |
36 |
39 |
39 |
40 |
37 |
39 |
40 |
38 |
40 |
40 |
40 |
37 |
39 |
40 |
36 |
37 |
40 |
a) Dấu hiệu ở đây là gì? Số các giá trị là bao nhiêu?
b) Có bao nhiêu giá trị khác nhau của dấu hiệu?
c) Lập bảng tần số.
d) Tính số trung bình cộng và tìm mốt của dấu hiệu.
e) Vẽ biểu đồ đoạn thẳng.
Bài 2: Cho đơn thức: 
a) Thu gọn đơn thức A.
b) Tính giá trị của đơn thức A tại x = 2; y = −1.
Bài 3: Cho tam giác ABC vuông tại A có AB = 6cm, AC = 8cm.
a) Tính độ dài đoạn BC.
b) Vẽ tại H. Trên HC lấy D sao cho HD = HB. Chứng minh: AB = AD.
c) Trên tia đối của tia HA lấy điểm E sao cho EH = AH. Chứng minh: ED ⊥ AC. Chứng minh BD < AE.
Phòng Giáo dục và Đào tạo .....
Đề thi Giữa kì 2
năm 2025
Bài thi môn: Toán lớp 7
Thời gian làm bài: phút
(không kể thời gian phát đề)
(Đề số 5)
I. Trắc nghiệm: Khoanh tròn vào chữ cái đứng trước câu trả lời đúng.
Câu 1: Tam giác ABC vuông tại A suy ra:
A. AB2 = BC2 + AC2.
B. BC2 = AB2 + AC2
C. AC2 = AB2 + BC2.
D. Cả A, B, C đều đúng.
Câu 2: Tích của hai đơn thức 7x2y và (–xy) bằng:
A. –7x3y2
B. 7x3y2
C. –7x2y
D. 6x3y2
Câu 3: Giá trị của biểu thức –3x2y3 tại x = 2 và y = 1 là:
A. – 4
B. –12
C. –10
D. 12
Câu 4: Đơn thức nào sau đây đồng dạng với đơn thức –3x2y3 ?
A. –3x3y2
B. 3(xy)2
C. –xy3
D. x2y3
Câu 5: Tam giác nào có 3 cạnh như sau là tam giác vuông?
A. 2cm; 4cm; 6cm.
B. 4cm; 6cm; 8cm.
C. 6cm; 8cm; 10cm.
D. 8cm; 10cm; 12cm.
Câu 6: Dựa vào bất đẳng thức tam giác, kiểm tra xem bộ ba nào trong các bộ ba đoạn thẳng có độ dài cho sau đây là ba cạnh của một tam giác?
A. 2cm; 3cm; 6cm
B. 3cm; 4cm; 6cm
C. 2cm; 4cm; 6cm
D. 2cm; 3cm; 5cm.
II. Tự luận:
Bài 1: Tổng số điểm 4 môn thi của các học sinh trong một phòng thi được cho trong bảng dưới đây.
32 |
30 |
22 |
30 |
30 |
22 |
31 |
35 |
35 |
19 |
28 |
22 |
30 |
39 |
32 |
30 |
30 |
30 |
31 |
28 |
35 |
30 |
22 |
28 |
a) Dấu hiệu ở đây là gì? Số tất cả các giá trị là bao nhiêu? Số các giá trị khác nhau của dấu hiệu?
b) Lập bảng “tần số” và rút ra nhận xét.
c) Tính trung bình cộng và tìm mốt của dấu hiệu.
Bài 2: Tính giá trị của biểu thức:
a) x2 – 3x + 5 tại x = 2.
b)
tại x = –1 và y = 3.
Bài 3: Cho ∆ABC cân tại A. Trên tia đối của các tia BC và CB lấy theo thứ tự hai điểm D và E sao cho BD = CE.
a) Chứng minh: ∆ADE cân.
b) Gọi M là trung điểm của BC. Chứng minh AM là tia phân giác của góc DAE.
c) Từ B và C kẻ BH và CK theo thứ tự vuông góc với AD và AE.
Chứng minh: BH = CK.
Phòng Giáo dục và Đào tạo .....
Đề thi Giữa kì 2
năm 2025
Bài thi môn: Toán lớp 7
Thời gian làm bài: phút
(không kể thời gian phát đề)
(Đề số 6)
I. Trắc nghiệm: Khoanh tròn vào chữ cái đứng trước câu trả lời đúng.
Câu 1: Biểu thức nào sau đây là đơn thức?
A. x + y
B. x – y
C. xy
D.
Câu 2: Tam giác ABC vuông tại A có AB = 3cm, BC = 5cm. Độ dài cạnh AC bằng:
A. 2 cm
B. 4 cm
C.
cm
D. 8 cm.
Câu 3: Giá trị của biểu thức 2x2 – 5x + 1 tại x = –1 là:
A. –2
B. 8
C. 0
D. –6
Câu 4: Bậc của đơn thức 5x4y2z2 là:
A. 3
B. 5
C. 7
D. 8
Câu 5: Cho tam giác ABC cân tại A, ∠A = 30°. Số đo góc BCA là:
A. 90o
B. 120o
C. 75o
D. 180o
Câu 6: Cho tam giác ABC có: AB = 3 cm; BC = 4 cm; AC = 5 cm thì:
A. Góc A lớn hơn góc B.
B. Góc B nhỏ hơn góc C.
C. Góc A nhỏ hơn góc C.
D. Góc B lớn hơn góc C.
II. Tự luận:
Bài 1: Học sinh lớp 7A góp tiền ủng hộ cho trẻ em khuyết tật. Số tiền đóng góp của mỗi học sinh được ghi ở bảng thống kê sau (đơn vị: nghìn đồng).
5 |
7 |
9 |
5 |
8 |
10 |
5 |
9 |
6 |
10 |
7 |
10 |
6 |
10 |
7 |
6 |
8 |
5 |
6 |
8 |
10 |
5 |
7 |
7 |
10 |
7 |
8 |
5 |
8 |
7 |
8 |
5 |
9 |
7 |
10 |
9 |
a) Dấu hiệu ở đây là gì?
b) Lập bảng “tần số”.
c) Tính số trung bình cộng (làm tròn đến chữ số thập phân thứ nhất).
Bài 2: Cho đơn thức 
a) Thu gọn đơn thức A.
b) Hãy chỉ ra hệ số, phần biến, bậc của đơn thức thu được.
c) Tính giá trị của đơn thức A tại x = −1; y = 1.
Bài 3: Cho tam giác ABC có ; ∠A = 80o; ∠B = 60o.
a) So sánh các cạnh của ΔABC.
b) Trên BC lấy điểm M sao cho BM = BA. Tia phân giác góc B cắt AC tại D.
Chứng minh: ΔBAD = ΔBMD.
c) Tia MD cắt tia BA tại H. Chứng minh ΔDHC cân.
d) Chứng minh BD > AM và tính số đo góc DHC. Chứng minh: BH = CK.
Phòng Giáo dục và Đào tạo .....
Đề thi Giữa kì 2
năm 2025
Bài thi môn: Toán lớp 7
Thời gian làm bài: phút
(không kể thời gian phát đề)
(Đề số 7)
I. Trắc nghiệm: Khoanh tròn vào chữ cái đứng trước câu trả lời đúng.
Câu 1: Biểu thức đại số biểu thị: Tổng của x và y là:
A. xy
B. x + y
C. x – y
D. (–x) + y
Câu 2: Cho ∆ABC và ∆DEF có ∠A = ∠D = 90o. Để kết luận ∆ABC = ∆DEF theo trường hợp cạnh huyền – cạnh góc vuông, cần có thêm điều kiện nào sau đây?
A. BC = EF; ∠B = ∠E.
B. BC = EF; AC = DF
C. AB = DE; AC = DF
D. BC = DE ; ∠B = ∠E.
Câu 3: Giá trị của biểu thức
tại x = 2 là:
A. 2
B. –1
C. 0
D. 5
Câu 4: Bậc của đơn thức 8x2yz3 là:
A. 3
B. 5
C. 6
D. 8
Câu 5: Tam giác ABC cân tại A có ∠A = 40o, khi đó số đo của góc B bằng:
A. 100o
B. 50o
C. 70o
D. 40o
Câu 6: Tam giác ABC vuông tại A có AB < AC. Vẽ AH vuông góc với BC
(H ∈ BC) Khẳng định nào sau đây là đúng?
A. HB < HC.
B. HC < HB.
C. AB < AH.
D. AC < AH.
II. Tự luận:
Bài 1: Số lượng học sinh giỏi của từng lớp trong một trường THCS được ghi trong bảng như sau:
40 |
37 |
38 |
40 |
39 |
40 |
35 |
36 |
39 |
40 |
36 |
40 |
36 |
40 |
40 |
35 |
39 |
36 |
36 |
39 |
40 |
39 |
39 |
36 |
39 |
39 |
40 |
37 |
39 |
40 |
38 |
40 |
40 |
40 |
37 |
39 |
40 |
36 |
37 |
40 |
a) Dấu hiệu cần tìm hiểu là gì? Số các giá trị là bao nhiêu?
b) Có bao nhiêu giá trị khác nhau của dấu hiệu?
c) Lập bảng “tần số”.
d) Tính số trung bình cộng và tìm mốt của dấu hiệu.
e) Vẽ biểu đồ đoạn thẳng.
Bài 2: Thu gọn đơn thức sau đây và tìm bậc, hệ số của đơn thức.
M = (−2x3y).(−3x2y3)
N = (−3x2y)2.(−5xy3)
Bài 3: Cho tam giác ABC vuông tại A có AB = 5cm, AC = 12cm.
a) Tính BC.
b) Kéo dài AB lấy D sao cho B là trung điểm của AD. Nối CD, qua B vẽ đường thẳng vuông góc với AD cắt CD tại E.
Chứng minh ΔABE = ΔDBE và suy ra ΔAED cân.
c) Kẻ AK vuông góc với BC tại K. Qua D kẻ đường thẳng vuông góc với đường thẳng CB tại F. Chứng minh B là trung điểm của KF.
d) Chứng minh ΔAEC cân và suy ra E là trung điểm của DC.
Phòng Giáo dục và Đào tạo .....
Đề thi Giữa kì 2
năm 2025
Bài thi môn: Toán lớp 7
Thời gian làm bài: phút
(không kể thời gian phát đề)
(Đề số 8)
I. Trắc nghiệm: Khoanh tròn vào chữ cái đứng trước câu trả lời đúng.
Câu 1: Trong các biểu thức sau, biểu thức nào là đơn thức?
A. 2 + x6y4
B. −5x + y6
C. 27xy7
D.
Câu 2: Trong các bộ ba số sau, bộ ba số nào là 3 cạnh của tam giác vuông?
A. 4 cm, 7 cm, 10 cm
B. 6 cm; 8 cm; 10 cm
C. 5 cm; 7 cm; 10 cm
D. 20 cm; 21 cm; 22 cm.
Câu 3: Giá trị của biểu thức
tại x = −1 là:
A. 2
B. –1
C.
D.
Câu 4: Bậc của đơn thức
là:
A. 1
B. 2
C. 4
D. 6
Câu 5: Tam giác cân muốn trở thành tam giác đều thì cần có một góc có số đo là:
A. 30o
B. 45o
C. 60o
D. 90o
Câu 6: Cho ∆ABC biết AB = 4cm; BC = 5cm; AC = 6cm. Khi đó:
A. ∠A > ∠B > ∠C
B. ∠A > ∠C > ∠B
C. ∠B > ∠A > ∠C
D. ∠B > ∠C > ∠A
II. Tự luận:
Bài 1: Theo thống kê, số điện năng của 20 hộ gia đình đã tiêu thụ trong một tháng (tính theo kWh) được ghi lại ở bảng sau:
101 |
152 |
65 |
85 |
70 |
85 |
70 |
65 |
65 |
55 |
70 |
65 |
70 |
55 |
65 |
120 |
115 |
90 |
40 |
101 |
a) Dấu hiệu ở đây là gì? Lập bảng tần số các giá trị của dấu hiệu?
b) Tìm mốt, tính số trung bình cộng?
c) Em hãy nhận xét số điện năng của 20 hộ gia đình đã tiêu thụ nhiều hay ít?
Bài 2: Cho biểu thức
a) Rút gọn biểu thức A và B.
b) Tìm hệ số, phần biến, bậc của hai đơn thức.
c) Tính tích của hai đơn thức thu gọn A và B.
Bài 3: Cho tam giác NMP cân tại N. trên tia đối của tia MP lấy điểm A, trên tia đối của tia PM lấy điểm B sao cho MA = PB.
a) Chứng minh: Tam giác NAB là tam giác cân.
b) Kẻ MH⊥NA và PK⊥NB (K ∈ NB). Chứng minh MH = PK.
Bài 4: Cho
. Tìm số nguyên x để M đạt giá trị nhỏ nhất.
Tủ sách VIETJACK luyện thi vào 10 cho 2k11 (2026):
Đã có app VietJack trên điện thoại, giải bài tập SGK, SBT Soạn văn, Văn mẫu, Thi online, Bài giảng....miễn phí. Tải ngay ứng dụng trên Android và iOS.
Theo dõi chúng tôi miễn phí trên mạng xã hội facebook và youtube:Bộ đề thi năm 2025 các lớp các môn học được Giáo viên nhiều năm kinh nghiệm tổng hợp và biên soạn theo Thông tư mới nhất của Bộ Giáo dục và Đào tạo, được chọn lọc từ đề thi của các trường trên cả nước.
Nếu thấy hay, hãy động viên và chia sẻ nhé! Các bình luận không phù hợp với nội quy bình luận trang web sẽ bị cấm bình luận vĩnh viễn.
- Đề thi lớp 1 (các môn học)
- Đề thi lớp 2 (các môn học)
- Đề thi lớp 3 (các môn học)
- Đề thi lớp 4 (các môn học)
- Đề thi lớp 5 (các môn học)
- Đề thi lớp 6 (các môn học)
- Đề thi lớp 7 (các môn học)
- Đề thi lớp 8 (các môn học)
- Đề thi lớp 9 (các môn học)
- Đề thi lớp 10 (các môn học)
- Đề thi lớp 11 (các môn học)
- Đề thi lớp 12 (các môn học)
- Giáo án lớp 1 (các môn học)
- Giáo án lớp 2 (các môn học)
- Giáo án lớp 3 (các môn học)
- Giáo án lớp 4 (các môn học)
- Giáo án lớp 5 (các môn học)
- Giáo án lớp 6 (các môn học)
- Giáo án lớp 7 (các môn học)
- Giáo án lớp 8 (các môn học)
- Giáo án lớp 9 (các môn học)
- Giáo án lớp 10 (các môn học)
- Giáo án lớp 11 (các môn học)
- Giáo án lớp 12 (các môn học)


Giải bài tập SGK & SBT
Tài liệu giáo viên
Sách
Khóa học
Thi online
Hỏi đáp

