Đề thi Học kì 1 Toán lớp 8 năm 2025 có ma trận (8 đề)
Tuyển chọn Đề thi Học kì 1 Toán lớp 8 năm 2025 có ma trận (8 đề) chọn lọc được các Giáo viên nhiều năm kinh nghiệm biên soạn và sưu tầm từ Đề thi Toán 8 của các trường THCS. Hi vọng bộ đề thi này sẽ giúp học sinh ôn tập và đạt kết quả cao trong các bài thi Học kì 1 môn Toán lớp 8.
Đề thi Học kì 1 Toán lớp 8 năm 2025 có ma trận (8 đề)
Để mua trọn bộ Đề thi Toán 8 theo cấu trúc mới bản word có lời giải chi tiết, đẹp mắt, quý Thầy/Cô vui lòng xem thử:
A. Ma trận
|
Cấp độ Chủ đề |
Nhận biết |
Thông hiểu |
Vận dụng |
Cộng |
||||||
Cấp độ thấp |
Cấp độ cao |
|||||||||
TNKQ |
TL |
TNKQ |
TL |
TNKQ |
TL |
TNKQ |
TL |
|||
Chương 1 Nhân, chia đa thức |
Nhận biết được kết quả của một hằng đẳng thức |
Hiểu được cách tính hằng đẳng thức |
Tính được phép nhân đơn thức với đa thức, phân tích được đa thức thành nhân tử |
Vận dụng được H ĐT để tìm GTLN |
||||||
|
Số câu Số điểm Tỉ lệ % |
1(TN1) 0,5 5% |
1(TN3) 0,5 5% |
3(TL1a,2a,b) 1,5 15% |
1 0,5 5% |
6 3,0 đ 30% |
|||||
Chương2 Phân thức |
Nhận biết được phân thức đối của một phân thức |
Thực hiện được nhân chia cộng trừ phân thức |
||||||||
|
Số câu Số điểm Tỉ lệ % |
1(TN6) 0,5 5% |
4(TL1b,c,d,e) 1,75 17,5% |
5 2,25đ 22,5% |
|||||||
Chương tứ giác |
Nhận biết được tứ giác nào có trục đối xứng,tâm đối xứng |
c/m tính được, tính được độ dài đường trung bình tam giác |
Vẽ được hình theo yêu cầu, c/m được tứ giác là hình bình hành, hình chữ nhật, hình vuông |
Vận dụng các tính chất của hình vuông hình bình hành để chứng minh đẳng thức hình học |
||||||
|
Số câu Số điểm Tỉ lệ % |
2(TN2,5) 1 10% |
1 0,5 5% |
1(TL4b và một phần của 4c) 1,5 15% |
1(TL4c) 0,75 7,5% |
5 3,75đ 37,5% |
|||||
Chương đa giác-diện tích |
Nhận biết được công thức tính diện tích tam giác |
|||||||||
|
Số câu Số điểm Tỉ lệ % |
1(TN4) 0,5 5% |
1 0,5đ 5% |
||||||||
|
Tổng số câu Tổng số điểm Tỉ lệ % |
5 2,5 điểm 25% |
2 1,0 điểm 10% |
8 4,75 điểm 47,5% |
2 1,25 điểm 12,5% |
17 10 điểm 100% |
|||||
B. Đề thi
Phòng Giáo dục và Đào tạo .....
Đề thi Học kì 1
năm 2025
Bài thi môn: Toán lớp 8
Thời gian làm bài: 60 phút
(không kể thời gian phát đề)
(Đề số 1)
I. Trắc nghiệm (3 điểm)
Câu 1: x2 - 4 bằng:
A. (x-2)(x+2) B.(x+2)(x-2) C.(x-2)(2+x) D.-(2-x)(2+x)
Câu 2: Trong các hình sau, hình nào có trục đối xứng?
A. Hình vuông B. Hình chữ nhật C. Hình thang cân D. Hình thoi
Câu 3: Kết quả của phép tính (x + y)2 – (x – y)2 là :
A. 2y2 B. 2x2 C. 4xy D. 0
Câu 4: Cho hình vẽ bên. Diện tích tích tam giác ABC bằng:

A.
AB.AC B.
AB.BC C.
AH.BC D.
AH.AB
Câu 5: Trong các hình sau, hình nào có tâm đối xứng?
A. Hình vuông B. Hình chữ nhật C. Hình thang cân D. Hình thoi
Câu 6: Phân thức đối của phân thức
là:

II. Tự luận
Bài 1: (2,0 điểm) Thực hiện các phép tính:
a) 2x(x2 - 3);
b)
c)
d)
( với x ≠ ± 4)
Bài 2: (1,0 điểm) Phân tích các đa thức sau thành nhân tử:
a) 2x2y + 4xy;
b) x2 + y2 – 1 – 2xy
Bài 3: (3,5 điểm) Cho tam giác ABC vuông tại A, AB = 4cm, AC = 8cm. Gọi E là trung điểm của AC và M là trung điểm của BC.
a) Tính EM .
b) Vẽ tia Bx song song với AC sao cho Bx cắt EM tại D. Chứng minh rằng tứ giác ABDE là hình vuông.
c) Gọi I là giao điểm của BE và AD. Gọi K là giao điểm của BE với AM. Chứng minh rằng: Tứ giác BDCE là hình bình hành và DC = 6.IK.
Bài 4: (0,5 điểm) Tìm x để biểu thức sau có giá trị lớn nhất, tìm giá trị lớn nhất đó

----------------------Hết----------------------
Phòng Giáo dục và Đào tạo .....
Đề thi Học kì 1
năm 2025
Bài thi môn: Toán lớp 8
Thời gian làm bài: 60 phút
(không kể thời gian phát đề)
(Đề số 2)
I. TRẮC NGHIỆM (3 điểm): Em hãy khoanh tròn chữ cái đứng trước câu trả lời mà em cho là đúng nhất trong các câu từ 1 đến 12. mỗi câu đúng 0,25 điểm
Câu 1. Kết quả của phép nhân đa thức 5x3 - x -
với đơn thức x2 là :
A. 5x5 - x3 +
x2 B. 5x5 - x3 -
x2
C. 5x5 + x3 +
x2 D. 5x5 + x3 -
x2
Câu 2. Hình thang cân có:
A. Hai góc kề một đáy bằng nhau. B. Hai cạnh bên bằng nhau.
C. Hai đường chéo bằng nhau. D. Cả A, B và C đều đúng.
Câu 3. Điều kiện xác định của phân thức
là :
A. x ≠ 0 B. x ≠ 1; x ≠ -1 C. x ≠ 0; x ≠ 1; x ≠ -1 D. x ≠ 0 ; x ≠ 1
Câu 4. Giá trị của phân thức
tại x = 4 là :
A. 2 B. 4 C. 6 D. 8
Câu 5. Cho tam giác ABC, đường cao AH = 3cm, BC = 4cm thì diện tích của tam giác ABC là :
A. 5 cm2 B. 7 cm2 C. 6 cm2 D. 8 cm2
Câu 6. Phép chia 2x4y3z : 3xy2z có kết quả bằng :
A.
x3y B. x3y
C.
x4yz D.
x3y
Câu 7. Giá trị của biểu thức x2 – 6x + 9 tại x = 5 có kết quả bằng
A. 3 B. 4 C. 5 D. 6
Câu 8. Giá trị của biểu thức 852 - 372 có kết quả bằng
A. 0 B. 106 C. – 106 D. 5856
Câu 9. Hai đường chéo hình thoi có độ dài 8cm và 10cm. Cạnh của hình hình thoi có độ dài là:
A. 6cm B. √41cm C. √164cm D. 9cm
Câu 10. Hình vuông là hình:
A. có 4 góc vuông B. có các góc và các cạnh bằng nhau
C. có các đường chéo bằng nhau D. có các cạnh bằng nhau
Câu 11. Đường trung bình MN của hình thang ABCD có hai đáy AB = 4cm và CD = 6 cm độ dài MN là :
A. 10cm B. 5cm C. 4cm. D. 6cm
Câu 12. Công thức tính diện tích tam giác (a là cạnh đáy ; h là đường cao tam giác)là
A. S = 2a.h. B. S = a.h C. S =
a.h D. S =
a.h
II. TỰ LUẬN ( 7 điểm)
Câu 1. (2 điểm) Phân tích đa thức sau thành nhân tử:
a) x3 + 2x2y + xy2 - 9x;
b) a3 – 8 – 3a + 6.
Câu 2. (1,5 điểm) Thực hiện phép tính:
a)
b) (x3 + 4x2 + 3x + 12) : ( x + 4)
Câu 3. (1 điểm) Tìm x, biết:
a) 2x2 + x = 0;
b) x3 – 8x + 1 = 0.
Câu 4. (2,5 điểm) Cho tứ giác ABCD, biết AC vuông góc với BD. Gọi E, F, G, H theo thứ tự là trung điểm của AB, BC, CD, DA
a) Tứ giác EFGH là hình gì ? vì sao ?
b) Tính diện tích của tứ giác EFGH, biết AC = 6(cm), BD = 4(cm).
Câu 5. (0,5 điểm) Cho ba số x, y, z thỏa mãn: x2 + y2 + z2 = xy + yz + xz và x + y + z = - 3. Tính B = x2019 + y2020 + z2021.
----------------------Hết----------------------
Phòng Giáo dục và Đào tạo .....
Đề thi Học kì 1
năm 2025
Bài thi môn: Toán lớp 8
Thời gian làm bài: 60 phút
(không kể thời gian phát đề)
(Đề số 3)
I/ PHẦN TRẮC NGHỆM (3 điểm):
Hãy chọn chữ cái đứng trước kết quả đúng ở các câu 1, 2, 3 và 4.
Câu 1: Tích (4x – 2)(4x + 2) có kết quả bằng:
A. 4x2 + 4; B. 4x2 – 4; C. 16x2 + 4 D. 16x2 – 4
Câu 2: Giá trị của biểu thứ 8x3 – 12x2y + 6xy2 – y3 tại x = –10, y = –18 là:
A. – 8 ; B. 8; C. 2; D. Một giá trị khác
Câu 3: Thương của phép chia đa thức 4x2 + 4x + 1 cho đa thức 2x + 1 bằng:
A. 2x – 1; B. 2x + 1; C. 2x; D. Một kết quả khác
Câu 4: Hình thang ABCD có đáy CD = 6cm; đường trung bình EF = 5cm thì:
A. AB = 5,5 cm; B. AB = 4cm; C. AB =
cm; D. AB = 7cm.
Câu 5: Điền vào chỗ … để được kết quả đúng:
a) (2x + 3) = ……. + …….. + ………;
b) (2y - ……)2 = ……… - ……… + 9x2.
Câu 6: Hãy đánh dấu “X” vào ô thích hợp:
Câu |
Nội dung |
Đúng |
Sai |
|
a b c d e f |
- Tứ giác có hai đường chéo bằng nhau là hình thang cân. - Hình thang có một góc vuông là hình chữ nhật. - Tứ giác có bốn cạnh bằng nhau và có một góc vuông là hình vuông. - Trong hình chữ nhật, giao điểm hai đường chéo cách đều bốn đỉnh của hình chữ nhật đó. - Tứ giác có hai cạnh kề bằng nhau là hình thoi. - Hình vuông có bốn trục đối xứng. |
II/ PHẦN TỰ LUẬN (7 điểm):
Bài 1 (1 điểm):
a) Phân tích đa thức sau thành nhân tử: x2 – y2 + 2x + 1.
b) Làm tính chia: (x4 + 2x3 + 10x – 25) : (x2 + 5).
Bài 2 (1 điểm):
a) Rút gọn biểu thức: (2x + 1)2 + (3x – 2)2 + 2(3x – 2)(2x +1).
b) Tìm x biết:
x (x2 – 9) = 0.
Bài 3 (1,5 điểm):
a) Quy đồng mẫu các phân thức: 
b) Tìm số tự nhiên để
là số tự nhiên.
Bài 4 (3,5 điểm): Cho ΔABC có AB = 6cm, trung tuyến AM và trung tuyến BN cắt nhau tại G. Gọi D, E lần lượt là trung điểm AG, BG.
a) Tính độ dài MN, DE.
b) Các tứ giác ABMN, ABED và DEMN là hình gì? Vì sao?
c) ΔABC cần có điều kiện gì để DEMN là hình chữ nhật và tính độ dài trung tuyến CF hạ từ đỉnh C của ΔABC để DEMN là hình vuông?
----------------------Hết----------------------

Phòng Giáo dục và Đào tạo .....
Đề thi Học kì 1
năm 2025
Bài thi môn: Toán lớp 8
Thời gian làm bài: 60 phút
(không kể thời gian phát đề)
(Đề số 4)
I/ TRẮC NGHIỆM (2 điểm): (Ghi kết quả trả lời vào trong giấy làm bài) Hãy khoanh tròn vào chữ cái trước câu trả lời đúng.
Câu 1: Phân tích đa thức x3 – y3 thành nhân tử ta được:
A. (x – y)(x2 + xy + y2)
B. (x + y)(x2 + xy + y2)
C. (x – y)(x2 – xy + y2)
D. (x + y)(x2 – xy + y2)
Câu 2: Cho 8x3 – … + 6xy2 – y3 = (2x – y)3. Đơn thức thích hợp điền vào dấu “…” là:
A. 6x2y B. 12x2y C. 6xy2 D. 12xy2
Câu 3: Đa thức thích hợp điền vào dấu “…” trong đẳng thức
là:
A. 1 + a B. 1 – a C. a – 1 D. 1 – a
Câu 4: Phân thức nghịch đảo của phân thức
là:

Câu 5: Cho hình vẽ bên dưới. Số đo của góc ADC là:

A. 850 B. 800 C. 750 D. 700
Câu 6: Hình thang cân là hình thang có:
A. Hai cạnh bên bằng nhau
B. Hai cạnh đáy bằng nhau
C. Hai góc kề một cạnh đáy bằng nhau
D. Cả hai câu A và C đều đúng
Câu 7: Chọn khẳng định đúng trong các khẳng định sau:
A. Tứ giác có hai cạnh đối song song là hình bình hành.
B. Hình bình hành có 2 đường chéo bằng nhau là hình chữ nhật.
C. Hình chữ nhật có 2 đường chéo bằng nhau là hình vuông.
D. Hình bình hành có hai cạnh đối bằng nhau là hình thoi.
Câu 8: Diện tích hình chữ nhật thay đổi thế nào nếu chiều dài tăng 4 lần và chiều rộng giảm 2 lần?
A. Diện tích hình chữ nhật tăng 2 lần.
B. Diện tích hình chữ nhật tăng 4 lần.
C. Diện tích hình chữ nhật giảm 2 lần.
D. Diện tích hình chữ nhật không đổi.
II. TỰ LUẬN: (8 điểm)
Bài 1: (2,5 điểm)
a) Làm tính nhân: 2x.(2x2 + 3x – 1)
b) Làm tính chia: (2x3 + x2 – 8x + 3) : (2x – 3)
c) Phân tích đa thức thành nhân tử: x3 – 4x2 + 4x
d) Tìm giá trị nhỏ nhất của biểu thức: A = x2 – 6x + 8
Bài 2: (2,0 điểm) Cho
a) Tìm điều kiện của x để giá trị của phân thức A được xác định.
b) Rút gọn A.
c) Tìm số tự nhiên x để phân thức A có giá trị nguyên.
Bài 3: (3,5 điểm) Cho hình thang ABCD (AB//CD) có DC = 2AB. Gọi K là trung điểm của DC.
a) Tứ giác ABKD là hình gì? Vì sao?
b) Vẽ hình bình hành KBCH (H và B nằm khác phía đối với DC). Chứng minh A và H đối xứng nhau qua K.
c) Hình thang ABCD có thêm điều kiện gì thì tứ giác ABKD là hình chữ nhật? Khi đó hãy tính diện tích của hình thang ABCD nếu AB = 4cm, AD = 3cm.
…………………………..HẾT…………………………..
Phòng Giáo dục và Đào tạo .....
Đề thi Học kì 1
năm 2025
Bài thi môn: Toán lớp 8
Thời gian làm bài: 60 phút
(không kể thời gian phát đề)
(Đề số 5)
I. Trắc nghiệm: (3 điểm)
Câu 1: Kết quả của phép tính là :
A. 4x2 – 9 B. 4x2 + 9 C. 4x2 – 6x + 9 D. 4x2 – 12x + 9
Câu 2: Kết quả phép tính 20x2y6z4 : 5xy2z2 là :
A. 4x2y3z2 B. 4xy4z2 C. 4xy3z2 D. 4
Câu 3: Giá trị biểu thức a3 + 3a2b + 3ab2 + b3 khi a = - 3, b = 1 là:
A. -35 B. -8 C. 12 D. 10
Câu 4: Phân thức bằng với phân thức
là:

Câu 5: Mẫu thức chung của hai phân thức
là :
A. 2(x2 – 4) B. (x – 2)(x + 2) C. 2(2 – x) D. 4(x2 – 2)
Câu 6: Phân thức đối của phân thức
là :

Câu 7: M, N là trung điểm các cạnh AB, AC của tam giác ABC. Khi MN = 8cm thì :
A. AB = 16cm B. AC = 16cm
C. BC = 16cm D. BC = AB = AC = 16cm
Câu 8: Số trục đối xứng của hình vuông là :
A . 4 B. 3 C. 2 D. 1
Câu 9: AM là trung tuyến của tam giác vuông ABC (∠A = 900, M ∈ BC) thì:
A. AC = 2.AM B. CB = 2.AM C. BA = 2.AM D. AM =2.BC
Câu 10: Hình thang ABCD (AD // BC) có AB = 8cm, BC = 12cm, CD =10cm, DA = 4cm. Đường trung bình của hình thang này có độ dài là :
A. 10cm B. 9 cm C. 8 cm D. 7 cm
Câu 11: Theo dấu hiệu nhận biết các tứ giác đặc biệt, tứ giác có bốn cạnh bằng nhau là:
A. Hình thang vuông B. Hình thang cân C. Hình chữ nhật D. Hình thoi
Câu 12: Hình bình hành ABCD có ∠A = 2∠B. Số đo góc D là:
A. 600 B. 1200 C. 300 D. 450
B. Tự luận: (7 điểm )
Bài 1 (1,5 điểm) Phân tích các đa thức thành nhân tử :
a) 5x2 – 5y2;
b) x2 – xy + 3x – 3y.
Bài 2 (1 điểm) Rút gọn các biểu thức:

Bài 3 (1,5 điểm) Thực hiện các phép tính :

Bài 4 (3 điểm) Cho hình vuông ABCD; O là giao điểm của hai đường chéo. Đường thẳng qua O cắt cạnh AD tại E, cắt cạnh BC tại F.
a) Chứng minh ED = BF.
b) Gọi H là hình chiếu của E trên OD, P là hình chiếu của F’ trên OC, EH cắt FP tại Q. Chứng minh HP = OQ.
c) Chứng minh HP =
EF.
d) Chứng minh ba điểm D, Q, C thẳng hàng.
Bài 5 (0,5 điểm) Cho các số a, b thỏa mãn a + b = 2 và a.b = - 2. Tính a7 + b7.
----------------------Hết----------------------

Phòng Giáo dục và Đào tạo .....
Đề thi Học kì 1
năm 2025
Bài thi môn: Toán lớp 8
Thời gian làm bài: 60 phút
(không kể thời gian phát đề)
(Đề số 6)
A. TRẮC NGHIỆM: (2,0 điểm) Chọn câu trả lời đúng cho mỗi câu sau:
Câu 1. Trong hằng đẳng thức x3 – y3 = (x – y)(x2 + … + y2). Số hạng còn thiếu chỗ … là:
A. xy B. 2xy C. – xy D. -2xy
Câu 2. Phân thức
bằng:

Câu 3. Rút gọn phân thức
, ta được:
A. x + 2 B. x – 2 C. x D. – 2
Câu 4. Điều kiện của biến x để giá trị của biểu thức
xác định là:
A. x ≠ 2; x ≠ -2 B. x ≠ 1 C. x ≠ -1 D. x ≠ 1, x ≠ -1
Câu 5. Tứ giác có hai đường chéo bằng nhau và giao nhau tại trung điểm mỗi đường là hình gì ?
A. Hình chữ nhật B. Hình thoi
C. Hình bình hành D. Hình thang cân
Câu 6. Hình chữ nhật có mấy trục đối xứng ?
A. 1 B. 2 C. 3 D. 4
Câu 7. Hình nào sau đây là đa giác đều
A. Hình chữ nhật B. Hình thoi C. Hình vuông D. Cả A, B,C đúng
Câu 8. Tăng độ dài cạnh hình vuông lên ba lần thì diên tích của nó tăng mấy lần ?
A. 3 B. 6 C. 9 D. Một số khác
B. TỰ LUẬN (8.0 điểm)
Câu 1. (1,5 điểm) Phân tích các đa thức thành nhân tử:
a) x2 + xy + 5x + 5y ;
b) (x2 + 9)2 – 36x2.
Câu 2. (1,5 điểm) Tính:
Câu 3. (2,0 điểm) Cho biểu thức:
a) Rút gọn M
b) Tính giá trị của M khi x2 + x = 2
c) Tìm các giá trị nguyên của x để M có giá trị nguyên
Câu 4. (3,0 điểm) Hình thang ABCD (AB // CD) có DC = 2AB. Gọi M, N, P, Q lần lượt là trung điểm của các cạnh AB, BC, CD, DA.
a) Chứng minh các tứ giác ABPD, MNPQ là hình bình hành
b) Tìm điều kiện của hình thang ABCD để MNPQ là hình thoi.
c) Gọi E là giao điểm của BD và AP. Chứng minh ba điểm Q, N, E thẳng hàng.
----------------------Hết----------------------
Phòng Giáo dục và Đào tạo .....
Đề thi Học kì 1
năm 2025
Bài thi môn: Toán lớp 8
Thời gian làm bài: 60 phút
(không kể thời gian phát đề)
(Đề số 7)
I. TRẮC NGHIỆM (3 điểm)
Chọn chữ cái đứng trước câu trả lời đúng (2,0 điểm).
Câu 1: Kết quả của phép nhân: x(x - 2)
A. x3 – 2x2 B. x2 – 2x C. x2 + 2x D. = x2
Câu 2: Biểu thức (a + b)2 được khai triển thành:
A. a2 + 2ab + b2 B. a2 + b2 C. a2 + 2ab + b2 D. a2 – b2
Câu 3: Kết quả của phép tính: 572 - 432 bằng:
A. 1400 B. 2400 C. 256 D. 196
Câu 4: Phân tích đa thức x3 + 1 ta có kết quả:
A. (x – 1)(x2 + x + 1) B. (x + 1)3
C. (x + 1)(x2 + x + 1) D. (x + 1)(x2 – x + 1)
Câu 5: Rút gọn phân thức:

Câu 6: Mẫu thức chung của các phân thức:
A. 30x4y4 B. 150x2y C. 30x9y5 D. 900x2y4
Câu 7: Tổng các góc của một tứ giác bằng bao nhiêu?
A. 5400 B. 1800 C. 3600 D. 7200
Câu 8: Cho AM là đường trung tuyến của tam giác ABC vuông tại A và AM = 3cm. Độ dài cạnh BC bằng:
A. 3cm B. 6cm C. 4 cm D. 5 cm
Câu 9: Hình thang cân ABCD có đáy nhỏ AB và số đo góc B bằng 1000. Khi đó số đo góc A bằng:
A. 1000 B. 800 C. 400 D. 1800
Câu 10: Phát biểu nào dưới đây là đúng
A. Hình bình hành có tất cả các cạnh bằng nhau.
B. Hình thoi có tất cả các góc bằng nhau
C. Hình chữ nhật có hai đường chéo vuông góc với nhau.
D. Hình thang cân có hai cạnh bên bằng nhau.
Điền vào chỗ trống nội dung thích hợp (1 điểm)
1. Gọi M và N lần lượt là trung điểm của các cạnh AB và AC của tam giác ABC, biết BC = 4cm. Khi đó độ dài đoạn thẳng MN bằng …………………………………………………
2. Hình bình hành có hai đường chéo vuông góc là hình ………………………………..
3. Trong các hình sau: hình chữ nhật, hình vuông, hình thang cân, hình tròn, hình chỉ có một trục đối xứng là: ……………………………………………………………………..
4. Hai điểm A và B đối xứng với nhau qua điểm O khi O là ……………………………
B. TỰ LUẬN: (7 điểm)
Bài 1. (1,5 điểm) Phân tích đa thức thành nhân tử:
a) a2b + 3ab
b) x2 - 2x + 1
c) x3 - 6x2 + 9x - xy2
Bài 2. (1 điểm)
a) Tìm x, biết: x2 + 3x = 0
b) Tìm giá trị nhỏ nhất của biểu thức: x2 - 4x + 7
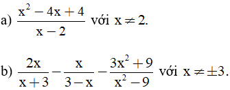
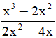
Bài 3. (1 điểm) Rút gọn các biểu thức sau:

Bài 4. (3 điểm) Cho hình chữ nhật ABCD. Gọi M và N lần lượt là trung điểm của các cạnh AB và CD.
a) Chứng minh: Tứ giác AMND là hình chữ nhật.
b) Tính diện tích của hình chữ nhật AMND biết AD = 4cm và AB = 6cm.
c) Gọi I là giao điểm của AN và DM, K là giao điểm của BN và MC. Chứng minh tứ giác MINK là hình thoi.
d) Tìm điều kiện của hình chữ nhật ABCD để tứ giác MINK là hình vuông?
Bài 5. (0,5 điểm) Tìm các số x, y, z thỏa mãn:
x2 + y2 + z2 ≤ xy + 3y + 2z - 4
----------------------Hết----------------------
Phòng Giáo dục và Đào tạo .....
Đề thi Học kì 1
năm 2025
Bài thi môn: Toán lớp 8
Thời gian làm bài: 60 phút
(không kể thời gian phát đề)
(Đề số 8)
Phần I: Trắc nghiệm (3,0 điểm)
Chọn câu trả lời đúng trong các câu trả lời sau. Riêng câu 10 điền vào chỗ trống để được phát biểu đúng.
Câu 1. Tính 25x3y2 : 5xy2. Kết quả bằng:
A. 5x2y B. 5x C. 5x2 D. 5x2y
Câu 2. Cho x + y = 11, x – y = 3. Tính x2 – y2, ta được:
A. 14 B. 33 C. 12 D. Một kết quả khác
Câu 3. Cho
Tìm m:
A. m = 3x B. m = - 3x C. m =
x D. m = -
x
Câu 4. Khai triển (x – y)3. Kết quả:
A. x3 + 3x2y – 3xy2 – y3 B. x3 – 3x2y + 3xy2 + y3
C. x3 – 3x2y + 3xy2 – y3 D. (x – y)(x2 + xy + y2)
Câu 5. Rút gọn phân thức
. Kết quả:

Câu 6. Đa thức 3xy – x2 được phân tích thành:
A. 3x(y – x) B. x(3y – x) C. x(3y – 1) D. x(3y – x2)
Câu 7. Thực hiện phép tính (6x4 – 3x3 + x2) : 3x2. Kết quả:
A. 2x2 – x +
B. 2x2 – x + 1 C. 2x2 – 3x +
D. 3x2 – x +
Câu 8. Hình bình hành ABCD là hình chữ nhật khi:
A. AC = BD B. AC ⊥ BD
C. AC // BD D. AC // BD và AC = BD
Câu 9. Cho hình thang ABCD có AB//CD, AB = 3cm và CD = 7cm. Gọi M; N là trung điểm của AD và BC. Độ dài của MN là:
A. 5dm B. 4cm C. 5cm D. 6cm
Câu 10. Cho hình bình hành ABCD có góc A bằng 700 . Điền vào chỗ trống số thích hợp:
1. Số đo góc B là …….
2. Số đo góc C là …….
3. Số đo góc D là …….
Phần II: Tự luận (7,0 điểm)
Câu 1. (2,0 điểm). Rút gọn các biểu thức:
a) (2x + 1)2 + 2(4x2 – 1) + (2x – 1)2 ;
b)
Câu 2. (2,0 điểm)
a) Phân tích đa thức sau thành nhân tử: x2 – y2 – 3x + 3y
b) Chứng minh rằng x2 – 2x + 2 > 0 với mọi x.
Câu 3. (3,0 điểm) Cho tam giác ABC cân tại A, đường trung tuyến AM. Gọi I là trung điểm của AC và K là điểm đối xứng với M qua điểm I.
a) Tứ giác AKCM là hình gì?
b) Chứng minh AKMB là hình bình hành.
c) Tìm điều kiện của tam giác ABC để tứ giác AKCM là hình vuông.
----------------------Hết----------------------
................................
................................
................................
Trên đây tóm tắt một số nội dung miễn phí trong bộ Đề thi Toán 8 năm 2026 mới nhất, để mua tài liệu trả phí đầy đủ, Thầy/Cô vui lòng xem thử:
Tủ sách VIETJACK luyện thi vào 10 cho 2k11 (2026):
Đã có app VietJack trên điện thoại, giải bài tập SGK, SBT Soạn văn, Văn mẫu, Thi online, Bài giảng....miễn phí. Tải ngay ứng dụng trên Android và iOS.
Theo dõi chúng tôi miễn phí trên mạng xã hội facebook và youtube:Bộ đề thi năm 2025 các lớp các môn học được Giáo viên nhiều năm kinh nghiệm tổng hợp và biên soạn theo Thông tư mới nhất của Bộ Giáo dục và Đào tạo, được chọn lọc từ đề thi của các trường trên cả nước.
Nếu thấy hay, hãy động viên và chia sẻ nhé! Các bình luận không phù hợp với nội quy bình luận trang web sẽ bị cấm bình luận vĩnh viễn.
- Đề thi lớp 1 (các môn học)
- Đề thi lớp 2 (các môn học)
- Đề thi lớp 3 (các môn học)
- Đề thi lớp 4 (các môn học)
- Đề thi lớp 5 (các môn học)
- Đề thi lớp 6 (các môn học)
- Đề thi lớp 7 (các môn học)
- Đề thi lớp 8 (các môn học)
- Đề thi lớp 9 (các môn học)
- Đề thi lớp 10 (các môn học)
- Đề thi lớp 11 (các môn học)
- Đề thi lớp 12 (các môn học)
- Giáo án lớp 1 (các môn học)
- Giáo án lớp 2 (các môn học)
- Giáo án lớp 3 (các môn học)
- Giáo án lớp 4 (các môn học)
- Giáo án lớp 5 (các môn học)
- Giáo án lớp 6 (các môn học)
- Giáo án lớp 7 (các môn học)
- Giáo án lớp 8 (các môn học)
- Giáo án lớp 9 (các môn học)
- Giáo án lớp 10 (các môn học)
- Giáo án lớp 11 (các môn học)
- Giáo án lớp 12 (các môn học)


Giải bài tập SGK & SBT
Tài liệu giáo viên
Sách
Khóa học
Thi online
Hỏi đáp

