Hóa 10 Bài 3: Luyện tập: Thành phần nguyên tử
Hóa 10 Bài 3: Luyện tập: Thành phần nguyên tử
Video Giải bài tập Hóa 10 Bài 3: Luyện tập: Thành phần nguyên tử - Cô Phạm Thu Huyền (Giáo viên VietJack)
Bài 1 (trang 18 SGK Hóa 10 - Video giải tại 6:10): Theo số liệu ở bảng 1 Bài 1 trang 8:
a) Hãy tính khối lượng g của nguyên tử nitơ (gồm 7 proton, 7 notron, 7 electron) (Đây là phép tính gần đúng).
b) Tính tỉ số khối lượng của electron trong nguyên tử so với khối lượng của toàn nguyên tử.
Lời giải:
a) Tổng khối lượng của electron: 7 × 9,1.10-28 = 63,7.10-28g
- Tổng khối lượng của proton: 7 × 1,67.10-24 = 11,69.10-24g
- Tổng khối lượng của notron: 7 × 1,675.10-24 = 11,72.10-24g
Khối lượng của nguyên tử nitơ = me + mp + mn = 23,43.10-24g.
b) Tỉ số khối lượng của electron trong nguyên tử so với khối lượng của toàn nguyên tử
Bài 2 (trang 18 SGK Hóa 10 - Video giải tại 12:03): Tính nguyên tử khối trung bình của kali biết rằng trong tự nhiên thành phần % các đồng vị của kali là:
Lời giải:
Bài 3 (trang 18 SGK Hóa 10 - Video giải tại 14:18): a) Định nghĩa nguyên tố hóa học.
b) Kí hiệu nguyên tử thể hiện những đặc trưng gì cho nguyên tử một nguyên tố hóa học, lấy thí dụ với nguyên tố kali.
Lời giải:
a) Nguyên tố hóa học bao gồm các nguyên tử có cùng số đơn vị điện tích hạt nhân.
b) Kí hiệu nguyên tử:
Kí hiệu trên cho ta biết:
Số hiệu nguyên tử của nguyên tố K là 19, số đơn vị điện tích hạt nhân nguyên tử là 19, trong hạt nhân có 19 proton và (39 – 19 = 20) notron. Vỏ electron của nguyên tử K có 19 electron.
Nguyên tử khối của K là 39u.
Bài 4 (trang 18 SGK Hóa 10 - Video giải tại 18:24): Căn cứ vào đâu mà người ta biết chắc chắn rằng giữa nguyên tố hiđro (Z = 1) và nguyên tố urani (Z = 92) chỉ có 90 nguyên tố.
Lời giải:
Từ H có Z = 1, urani có Z = 92 có tất cả 92 nguyên tố vì số hiệu của các ô trong bảng tuần hoàn là một dãy số tự nhiên và không có ô trống giữa các số thứ tự. Vậy trừ H và U chỉ còn 90 nguyên tố ở khoảng giữa 2 nguyên tố.
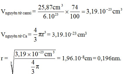
Bài 5 (trang 18 SGK Hóa 10 - Video giải tại 21:00): Tính bán kính gần đúng của nguyên tử canxi biết thể tích của 1 mol canxi tinh thể bằng 25,87 cm3.
(Cho biết: Trong tinh thể, các nguyên tử canxi chỉ chiếm 74% thể tích, còn lại là khe trống).
Lời giải:
1 mol chứa khoảng 6,02.1023 nguyên tử nên thể tích của 1 nguyên tử canxi là
Bài 6 (trang 18 SGK Hóa 10 - Video giải tại 26:47): Viết công thức của các loại phân tử đồng (II) oxit, biết rằng đồng và oxi có các đồng vị sau:
Lời giải:
Xem thêm các bài Giải bài tập Hóa học 10 (có video) hay khác:
- Bài 2: Hạt nhân nguyên tử - Nguyên tố hóa học - Đồng vị
- Bài 4: Cấu tạo vỏ nguyên tử
- Bài 5: Cấu hình electron
- Bài 6: Luyện tập: Cấu tạo vỏ nguyên tử
- Bài 7: Bảng tuần hoàn các nguyên tố hóa học
Để học tốt lớp 10 các môn học sách mới:
- Giải bài tập Lớp 10 Kết nối tri thức
- Giải bài tập Lớp 10 Chân trời sáng tạo
- Giải bài tập Lớp 10 Cánh diều
Tủ sách VIETJACK shopee lớp 10-11 (cả 3 bộ sách):
Đã có app VietJack trên điện thoại, giải bài tập SGK, SBT Soạn văn, Văn mẫu, Thi online, Bài giảng....miễn phí. Tải ngay ứng dụng trên Android và iOS.
Theo dõi chúng tôi miễn phí trên mạng xã hội facebook và youtube:Nếu thấy hay, hãy động viên và chia sẻ nhé! Các bình luận không phù hợp với nội quy bình luận trang web sẽ bị cấm bình luận vĩnh viễn.
- Giải Tiếng Anh 10 Global Success
- Giải Tiếng Anh 10 Friends Global
- Giải sgk Tiếng Anh 10 iLearn Smart World
- Giải sgk Tiếng Anh 10 Explore New Worlds
- Lớp 10 - Kết nối tri thức
- Soạn văn 10 (hay nhất) - KNTT
- Soạn văn 10 (ngắn nhất) - KNTT
- Soạn văn 10 (siêu ngắn) - KNTT
- Giải sgk Toán 10 - KNTT
- Giải sgk Vật lí 10 - KNTT
- Giải sgk Hóa học 10 - KNTT
- Giải sgk Sinh học 10 - KNTT
- Giải sgk Địa lí 10 - KNTT
- Giải sgk Lịch sử 10 - KNTT
- Giải sgk Kinh tế và Pháp luật 10 - KNTT
- Giải sgk Tin học 10 - KNTT
- Giải sgk Công nghệ 10 - KNTT
- Giải sgk Hoạt động trải nghiệm 10 - KNTT
- Giải sgk Giáo dục quốc phòng 10 - KNTT
- Lớp 10 - Chân trời sáng tạo
- Soạn văn 10 (hay nhất) - CTST
- Soạn văn 10 (ngắn nhất) - CTST
- Soạn văn 10 (siêu ngắn) - CTST
- Giải Toán 10 - CTST
- Giải sgk Vật lí 10 - CTST
- Giải sgk Hóa học 10 - CTST
- Giải sgk Sinh học 10 - CTST
- Giải sgk Địa lí 10 - CTST
- Giải sgk Lịch sử 10 - CTST
- Giải sgk Kinh tế và Pháp luật 10 - CTST
- Giải sgk Hoạt động trải nghiệm 10 - CTST
- Lớp 10 - Cánh diều
- Soạn văn 10 (hay nhất) - Cánh diều
- Soạn văn 10 (ngắn nhất) - Cánh diều
- Soạn văn 10 (siêu ngắn) - Cánh diều
- Giải sgk Toán 10 - Cánh diều
- Giải sgk Vật lí 10 - Cánh diều
- Giải sgk Hóa học 10 - Cánh diều
- Giải sgk Sinh học 10 - Cánh diều
- Giải sgk Địa lí 10 - Cánh diều
- Giải sgk Lịch sử 10 - Cánh diều
- Giải sgk Kinh tế và Pháp luật 10 - Cánh diều
- Giải sgk Tin học 10 - Cánh diều
- Giải sgk Công nghệ 10 - Cánh diều
- Giải sgk Hoạt động trải nghiệm 10 - Cánh diều
- Giải sgk Giáo dục quốc phòng 10 - Cánh diều


Giải bài tập SGK & SBT
Tài liệu giáo viên
Sách
Khóa học
Thi online
Hỏi đáp

