Hóa 12 Bài 29: Luyện tập: Tính chất của nhôm và hợp chất của nhôm
Hóa 12 Bài 29: Luyện tập: Tính chất của nhôm và hợp chất của nhôm
Video Giải bài tập Hóa 12 Bài 29: Luyện tập: Tính chất của nhôm và hợp chất của nhôm - Cô Phạm Thị Thu Phượng
Bài 1 (trang 134 SGK Hóa 12 - Video giải tại 4:32): Nhôm bền trong môi trường không khí và nước là do
A. Nhôm là kim loại kém hoạt động.
B. Có màng oxit Al2O3 bền vững bảo vệ.
C. Có màng hiđroxit Al(OH)3 bền vững bảo vệ.
D. Nhôm có tính thụ động với không khí và nước.
Lời giải:
Đáp án đúng: B
Bài 2 (trang 134 SGK Hóa 12 - Video giải tại 5:32): Nhôm không tan trong dung dịch nào sau đây?
A. HCl.
B. H2SO4.
C. NaHSO4.
D. NH3.
Lời giải:
Đáp án đúng: D
Bài 3 (trang 134 SGK Hóa 12 - Video giải tại 6:24): Cho 31,2 gam hỗn hợp bột Al và Al2O3 tác dụng hết với dung dịch NaOH dư thu được 13,44 lít H2 ở đktc. Khối lượng từng chất trong hỗn hợp ban đầu lần lượt là
A. 16,2 gam và 15 gam.
B. 10,8 gam và 20,4 gam.
C. 6,4 gam và 24,8 gam.
D. 11,2 gam và 20 gam.
Lời giải:
Chọn B.
2Al + 2NaOH + 2H2O → 2NaAlO2 + 3H2 ↓
Al2O3 + 2NaOH → 2NaAlO2 + H2O
⇒ mAl = 27.0,4 = 10,8 (gam); mAl2O3 = 31,2 - 10,8 = 20,4 (gam).
Bài 4 (trang 134 SGK Hóa 12 - Video giải tại 9:31): Chỉ dùng thêm 1 hóa chất, hãy phân biệt các chất trong những dãy sau và viết phương trình hóa học để giải thích.
a) Các kim loại: Al, Mg, Ca, Na.
b) Các dung dịch: NaCl, CaCl2, AlCl3.
c) Các chất bột: CaO, MgO, Al2O3.
Lời giải:
a. Nhận biết Al, Mg , Ca, Na
- Cho nước vào 4 mẫu thử:
+ Mẫu kim loại tan trong nước tạo thành dung dịch trong suốt là Na
+ Mẫu kim loại tan trong nước tạo dung dịch vẩn đục là Ca
2Na + 2H2O → 2NaOH + H2
Ca + 2H2O → Ca(OH)2 + H2
+ Hai mẫu thử không tan trong nước là Al và Mg
- Hai kim loại không tan trong nước ta cho dung dịch NaOH vào, kim loại nào phản ứng có khí bay ra là Al, còn lại là Mg
2Al + 2NaOH + 2H2O → 2NaAlO2 + 3H2
b. Nhận biết các dung dịch NaCl, CaCl2, AlCl3
Cho dung dịch NaOH vào 3 mẫu thử:
+ Mẫu thử nào xuất hiện kết tủa, sau đó kết tủa tan là : AlCl3.
+ Mẫu thử nào dung dịch có vẩn đục là CaCl2
+ Mẫu thử nào dung dịch trong suốt là NaCl.
PTHH:
AlCl3 + 3NaOH → Al(OH)3 + 3NaCl
Al(OH)3 + NaOH → NaAlO2 + 2H2O
CaCl2 + 2NaOH → Ca(OH)2 + 2NaCl
c. Nhận biết các chất bột CaO, MgO, Al2O3
Cho nước vào 3 mẫu thử, mẫu thử nào tan trong nước là CaO, hai mẫu thử không tan trong nước là MgO và Al2O3
CaO + H2O → Ca(OH)2
Lấy Ca(OH)2 ở trên cho vào 2 mẫu thử không tan trong nước. Mẫu thử nào tan ra là Al2O3, còn lại là MgO
Ca(OH)2 + Al2O3 → Ca(AlO2)2 + H2O
Bài 5 (trang 134 SGK Hóa 12 - Video giải tại 19:37): Viết phương trình hóa học để giải thích các hiện tượng xảy ra khi.
a) Cho dung dịch NH3 dư vào dung dịch AlCl3.
b) Cho từ từ dung dịch NaOH đến dư vào dung dịch AlCl3.
c) Cho từ từ dung dịch Al2(SO4)3 vào dung dịch NaOH và ngược lại.
d) Sục từ từ đến dư khi CO2 vào dung dịch NaAlO2.
e) Cho từ từ đến dư dung dịch HCl vào dung dịch NaAlO2.
Lời giải:
a. Cho dd NH3 dư vào dd AlCl3 xuất hiện kết tủa trắng keo Al(OH)3
AlCl3 + 3NH3 + 3H2O → Al(OH)3 + 3NH4Cl
b.Cho từ từ dd NaOH đến dư vào dung dịch AlCl3 ban đầu xuất hiện kết tủa trắng keo Al(OH)3, sau đó kết tủa tan ra dung dịch trở lại trong suốt
AlCl3 + 3NaOH → Al(OH)3↓ + 3NaCl
Al(OH)3 + NaOH → NaAlO2 + 2H2O
c.Cho từ từ dd Al2(SO4)3 vào dung dịch NaOH xuất hiện kết tủa Al(OH)3 sau đó kết tủa tan ngay.
Ngược lại cho từ từ dung dịch NaOH vào dung dịch Al2(SO4)3 ban đầu sẽ có kết tủa trắng keo Al(OH)3, sau đó khi dư NaOH thì kết tủa tan ra.
Al2(SO4)3 + 6NaOH → 2Al(OH)3↓ + 3Na2SO4
Al(OH)3 + NaOH → NaAlO2 + 2H2O
d. Sục từ từ khí CO2 vào dung dịch Na[Al(OH)4].
Xuất hiện kết tủa trắng keo Al(OH)3
NaAlO2 + 2H2O + CO2 → NaHCO3 + Al(OH)3↓
e.Cho từ từ đến dư dung dịch HCl vào dd Na[Al(OH)4].
Ban đầu xuất hiện kết tủa trắng keo của Al(OH)3 sau đó khi HCl dư thì kết tủa tan ra
2NaAlO2 + 2HCl + 2H2O → 2NaCl + 2Al(OH)3↓
3HCl + Al(OH)3 → AlCl3 + 3H2O
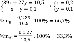
Bài 6 (trang 134 SGK Hóa 12 - Video giải tại 28:55): Hỗn hợp X gồm hai kim loại K và Al có khối lượng 10,5 gam. Hòa tan hoàn toàn hỗn hợp X trong nước được dung dịch A. Thêm từ từ dung dịch HCl 1M vào dung dịch A: lúc đầu không có kết tủa, khi thêm được 100 ml dung dịch HCl 1M thì bắt đầu có kết tủa. Tính thành phần % số mol của các kim loại trong X.
Lời giải:
Ta có phương trình:
Thêm từ từ HCl vào dd A lúc đầu không có kết tủa do HCl trung hòa KOH dư:
Khí HCl trung hòa hết KOH dư thì xuất hiện kết tủa:
KAlO2 + HCl + H2O → Al(OH)3 + KCl
Gọi x, y lần lượt là mol K và Al ban đầu
Để trung hòa hết KOH cần: 0,1. 1 = 0,1 mol HCl
Theo pt ⇒ x - y = 0,1
Theo bài ra ta có hệ pt
Xem thêm các bài Giải bài tập Hóa học 12 (có video) hay khác:
- Bài 30: Thực hành: Tính chất của natri, magie, nhôm và hợp chất của chúng
- Bài 31: Sắt
- Bài 32: Hợp chất của sắt
- Bài 33: Hợp kim của sắt
Đã có app VietJack trên điện thoại, giải bài tập SGK, SBT Soạn văn, Văn mẫu, Thi online, Bài giảng....miễn phí. Tải ngay ứng dụng trên Android và iOS.
Theo dõi chúng tôi miễn phí trên mạng xã hội facebook và youtube:Nếu thấy hay, hãy động viên và chia sẻ nhé! Các bình luận không phù hợp với nội quy bình luận trang web sẽ bị cấm bình luận vĩnh viễn.
- Giải Tiếng Anh 12 Global Success
- Giải sgk Tiếng Anh 12 Smart World
- Giải sgk Tiếng Anh 12 Friends Global
- Lớp 12 Kết nối tri thức
- Soạn văn 12 (hay nhất) - KNTT
- Soạn văn 12 (ngắn nhất) - KNTT
- Giải sgk Toán 12 - KNTT
- Giải sgk Vật Lí 12 - KNTT
- Giải sgk Hóa học 12 - KNTT
- Giải sgk Sinh học 12 - KNTT
- Giải sgk Lịch Sử 12 - KNTT
- Giải sgk Địa Lí 12 - KNTT
- Giải sgk Giáo dục KTPL 12 - KNTT
- Giải sgk Tin học 12 - KNTT
- Giải sgk Công nghệ 12 - KNTT
- Giải sgk Hoạt động trải nghiệm 12 - KNTT
- Giải sgk Giáo dục quốc phòng 12 - KNTT
- Giải sgk Âm nhạc 12 - KNTT
- Giải sgk Mĩ thuật 12 - KNTT
- Lớp 12 Chân trời sáng tạo
- Soạn văn 12 (hay nhất) - CTST
- Soạn văn 12 (ngắn nhất) - CTST
- Giải sgk Toán 12 - CTST
- Giải sgk Vật Lí 12 - CTST
- Giải sgk Hóa học 12 - CTST
- Giải sgk Sinh học 12 - CTST
- Giải sgk Lịch Sử 12 - CTST
- Giải sgk Địa Lí 12 - CTST
- Giải sgk Giáo dục KTPL 12 - CTST
- Giải sgk Tin học 12 - CTST
- Giải sgk Hoạt động trải nghiệm 12 - CTST
- Giải sgk Âm nhạc 12 - CTST
- Lớp 12 Cánh diều
- Soạn văn 12 Cánh diều (hay nhất)
- Soạn văn 12 Cánh diều (ngắn nhất)
- Giải sgk Toán 12 Cánh diều
- Giải sgk Vật Lí 12 - Cánh diều
- Giải sgk Hóa học 12 - Cánh diều
- Giải sgk Sinh học 12 - Cánh diều
- Giải sgk Lịch Sử 12 - Cánh diều
- Giải sgk Địa Lí 12 - Cánh diều
- Giải sgk Giáo dục KTPL 12 - Cánh diều
- Giải sgk Tin học 12 - Cánh diều
- Giải sgk Công nghệ 12 - Cánh diều
- Giải sgk Hoạt động trải nghiệm 12 - Cánh diều
- Giải sgk Giáo dục quốc phòng 12 - Cánh diều
- Giải sgk Âm nhạc 12 - Cánh diều


Giải bài tập SGK & SBT
Tài liệu giáo viên
Sách
Khóa học
Thi online
Hỏi đáp

