Giải Toán lớp 2 trang 98 Luyện tập
Giải Toán lớp 2 trang 98 Luyện tập
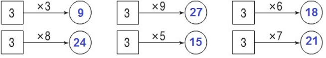
Bài 1 (trang 98 sgk Toán 2)
Số ?
Phương pháp giải
Nhẩm giá trị của bảng nhân 3 rồi điền kết quả vào hình tròn.
Lời giải chi tiết:
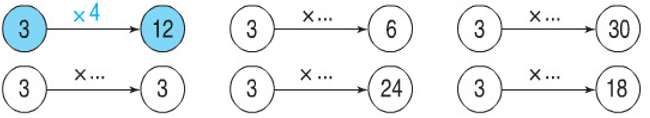
Bài 2 (trang 98 sgk Toán 2)
Viết số thích hợp vào chỗ chấm (theo mẫu):
Phương pháp giải
Tìm một thừa số còn thiếu của phép nhân bằng cách nhẩm 3 nhân với số nào thì bằng tích cho trước.
Lời giải chi tiết:
Bài 3 (trang 98 sgk Toán 2)
Mỗi can đựng 3l dầu. Hỏi 5 can như thế đựng được bao nhiêu lít dầu ?
Phương pháp giải
Tóm tắt:
1 can : 3 l
5 can : ? l
Muốn tìm đáp án ta lấy số lít một can đựng được nhân với số can.
Lời giải chi tiết:
5 can như thế đựng được số lít dầu là:
3 x 5 = 15 (l)
Đáp số: 15 l.
Bài 4 (trang 98 sgk Toán 2)
Mỗi túi có 3kg gạo. Hỏi 8 túi như thế có tất cả bao nhiêu ki-lô-gam gạo ?
Phương pháp giải
1 túi : 3kg
8 túi : ? kg
Muốn tìm lời giải ta lấy số ki-lô-gam của một túi nhân với số túi.
Lời giải chi tiết:
8 túi như thế đựng được số ki-lô-gam gạo là:
3 x 8 = 24 (kg)
Đáp số: 24 kg.
Bài 5 (trang 98 sgk Toán 2)
Số ?
a) 3; 6; 9 ; ...; ....
b)10 ; 12 ; 14; ...; ....
c) 21 ;24; 27; ....; ....
Phương pháp giải
Đếm cách 2 hoặc 3 đơn vị rồi điền các số còn thiếu vào chỗ trống.
Lời giải chi tiết:
a) 3; 6; 9 ;12; 15.
b)10 ; 12 ; 14; 16; 18.
c) 21 ;24 ; 27 ;30 ;33.
Xem thêm các Giải bài tập Toán lớp 2 hay và chi tiết khác:
- Bảng nhân 4 (trang 99)
- Luyện tập trang 100
- Bảng nhân 5 (trang 101)
- Luyện tập trang 102
- Đường gấp khúc. Độ dài đường gấp khúc (trang 103)
Đã có app VietJack trên điện thoại, giải bài tập SGK, SBT Soạn văn, Văn mẫu, Thi online, Bài giảng....miễn phí. Tải ngay ứng dụng trên Android và iOS.
Theo dõi chúng tôi miễn phí trên mạng xã hội facebook và youtube:Loạt bài Giải bài tập Toán lớp 2 hay và chi tiết của chúng tôi được biên soạn bám sát nội dung sách giáo khoa Toán lớp 2.
Nếu thấy hay, hãy động viên và chia sẻ nhé! Các bình luận không phù hợp với nội quy bình luận trang web sẽ bị cấm bình luận vĩnh viễn.
- Lớp 2 - Kết nối tri thức
- Giải bài tập sgk Tiếng Việt lớp 2
- Giải Vở bài tập Tiếng Việt lớp 2
- Giải bài tập sgk Toán lớp 2
- Giải vở bài tập Toán lớp 2
- Giải bài tập sgk Tiếng Anh lớp 2
- Giải bài tập sgk Tự nhiên & Xã hội lớp 2
- Giải bài tập sgk Đạo Đức lớp 2
- Giải Vở bài tập Đạo Đức lớp 2
- Giải bài tập sgk Hoạt động trải nghiệm lớp 2
- Giải Vở bài tập Hoạt động trải nghiệm lớp 2
- Giải bài tập sgk Âm nhạc lớp 2
- Lớp 2 - Cánh diều
- Giải bài tập sgk Tiếng Việt lớp 2
- Giải bài tập sgk Toán lớp 2
- Giải bài tập Hoạt động trải nghiệm lớp 2
- Giải bài tập sgk Tự nhiên & Xã hội lớp 2
- Giải bài tập sgk Âm nhạc lớp 2
- Lớp 2 - Chân trời sáng tạo
- Giải bài tập Tiếng Việt lớp 2
- Giải Vở bài tập Tiếng Việt lớp 2
- Giải bài tập sgk Toán lớp 2
- Giải Vở bài tập Toán lớp 2
- Giải bài tập sgk Tự nhiên & Xã hội lớp 2
- Giải bài tập sgk Đạo Đức lớp 2
- Giải Vở bài tập Đạo Đức lớp 2
- Giải bài tập sgk Âm nhạc lớp 2


Giải bài tập SGK & SBT
Tài liệu giáo viên
Sách
Khóa học
Thi online
Hỏi đáp

