Toán 6 Luyện tập trang 15
Toán 6 Luyện tập trang 15
Video Giải bài tập Toán 6 Luyện tập trang 15
Gợi ý: Rút gọn các phân số chưa tối giản để xuất hiện các phân số bằng nhau.
Lời giải:
Gợi ý: Rút gọn các phân số về phân số tối giản, sau đó so sánh để tìm ra phân số không bằng các phân số còn lại.
Lời giải:
Ta rút gọn các phân số về dạng tối giản:
Do vậy ta có:
Phân số
không bằng phân số nào trong các phân số còn lại.
Bài 22 trang 15 sgk Toán lớp 6 Tập 2 - Video giải tại 7:33: Điền số thích hợp vào ô vuông:
Gợi ý: Lấy 60 chia cho mẫu rồi lấy thương nhân với tử ta có sô phải điền.
Lời giải:
Cách 1:
Gợi ý: Ta lấy số đầu làm tử, chính số đó và hai số còn lại làm mẫu, tiếp đến lấy số thứ hai làm tử, hai số kia làm mẫu ... (loại các phân số có mẫu bằng 0).
Lời giải:
Ta có: Mẫu số của một phân số phải khác 0.
Do đó m có thể chọn trong các số 0; -3; 5.
n có thể chọn trong các số -3; 5.
Vậy ta có thể viết được các phân số là:
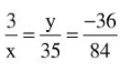
Bài 24 trang 16 sgk Toán lớp 6 Tập 2 - Video giải tại 10:27: Tìm các số nguyên x và y biết:
Lời giải:
Lời giải:
- Ta lấy phân số tối giản của phân số đã cho:
- Sau đó nhân tử và mẫu của phân số tối giản đó lần lượt với các số tự nhiên 2, 3, 4, 5, ... cho đến khi tử số và mẫu số vẫn là số tự nhiên có hai chữ số. Ta tìm được 7 phân số:
Bài 26 trang 16 sgk Toán lớp 6 Tập 2 - Video giải tại 15:51: Cho đoạn thẳng AB:
Lời giải:
Gợi ý: Đếm số phần trên đoạn thẳng AB (có 12 phần), sau đó nhân số phần với tỉ lệ để tìm ra số phần của các đoạn thẳng cần tìm.
Lưu ý: Tùy vào đoạn thẳng AB ban đầu, bạn có thể chọn vị trí các điểm khác với đáp án trên, tuy nhiên cần phải đảm bảo rằng độ dài là đúng với yêu cầu.
Bài 27 trang 16 sgk Toán lớp 6 Tập 2 - Video giải tại 18:46: Đố: Một học sinh đã "rút gọn" như sau:
Bạn đó giải thích: "Trước hết em rút gọn cho 10, rồi rút gọn cho 5". Đố em làm như vậy đúng hay sai? Vì sao?
Lời giải:
Bước rút gọn
là sai vì không có tính chất
.
Sửa lại như sau:
.
Xem thêm Giải bài tập Toán lớp 6 hay nhất và chi tiết khác:
- Bài 5: Quy đồng mẫu nhiều phân số
- Luyện tập trang 19
- Bài 6: So sánh phân số
- Bài 7: Phép cộng phân số
Tủ sách VIETJACK shopee lớp 6-8 (2025):
Đã có app VietJack trên điện thoại, giải bài tập SGK, SBT Soạn văn, Văn mẫu, Thi online, Bài giảng....miễn phí. Tải ngay ứng dụng trên Android và iOS.
Theo dõi chúng tôi miễn phí trên mạng xã hội facebook và youtube:Loạt bài Video Giải bài tập Toán lớp 6 hay, chi tiết của chúng tôi được biên soạn bám sát theo chương trình Sách giáo khoa Toán 6 Tập 1, Tập 2.
Nếu thấy hay, hãy động viên và chia sẻ nhé! Các bình luận không phù hợp với nội quy bình luận trang web sẽ bị cấm bình luận vĩnh viễn.
- Giải sgk Tiếng Anh 6 Global Success
- Giải sgk Tiếng Anh 6 Friends plus
- Giải sgk Tiếng Anh 6 Smart World
- Giải sgk Tiếng Anh 6 Explore English
- Lớp 6 - Kết nối tri thức
- Soạn Văn 6 (hay nhất) - KNTT
- Soạn Văn 6 (ngắn nhất) - KNTT
- Giải sgk Toán 6 - KNTT
- Giải sgk Khoa học tự nhiên 6 - KNTT
- Giải sgk Lịch Sử 6 - KNTT
- Giải sgk Địa Lí 6 - KNTT
- Giải sgk Giáo dục công dân 6 - KNTT
- Giải sgk Hoạt động trải nghiệm 6 - KNTT
- Giải sgk Tin học 6 - KNTT
- Giải sgk Công nghệ 6 - KNTT
- Giải sgk Âm nhạc 6 - KNTT
- Lớp 6 - Chân trời sáng tạo
- Soạn Văn 6 (hay nhất) - CTST
- Soạn Văn 6 (ngắn nhất) - CTST
- Giải sgk Toán 6 - CTST
- Giải sgk Khoa học tự nhiên 6 - CTST
- Giải sgk Lịch Sử 6 - CTST
- Giải sgk Địa Lí 6 - CTST
- Giải sgk Giáo dục công dân 6 - CTST
- Giải sgk Công nghệ 6 - CTST
- Giải sgk Hoạt động trải nghiệm 6 - CTST
- Giải sgk Âm nhạc 6 - CTST
- Lớp 6 - Cánh diều
- Soạn Văn 6 Cánh diều (hay nhất)
- Soạn Văn 6 Cánh diều (ngắn nhất)
- Giải sgk Toán 6 - Cánh diều
- Giải sgk Khoa học tự nhiên 6 - Cánh diều
- Giải sgk Lịch Sử 6 - Cánh diều
- Giải sgk Địa Lí 6 - Cánh diều
- Giải sgk Giáo dục công dân 6 - Cánh diều
- Giải sgk Hoạt động trải nghiệm 6 - Cánh diều
- Giải sgk Tin học 6 - Cánh diều
- Giải sgk Công nghệ 6 - Cánh diều
- Giải sgk Âm nhạc 6 - Cánh diều


Giải bài tập SGK & SBT
Tài liệu giáo viên
Sách
Khóa học
Thi online
Hỏi đáp

