Giải bài tập Toán lớp 7 Bài 5: Lũy thừa của một số hữu tỉ
Giải bài tập Toán lớp 7 Bài 5: Lũy thừa của một số hữu tỉ
Trả lời câu hỏi Toán 7 Tập 1 Bài 5 trang 17 : Tính
Lời giải
Ta có:
Trả lời câu hỏi Toán 7 Tập 1 Bài 5 trang 18 : Tính
a) (-3) 2 .(-3) 3 b)(-0,25) 5 :(-0,25) 3
Lời giải
Ta có:
a) (-3) 2 .(-3) 3 = (-3) (2+3) = (-3) 5 = -243
b) (-0,25)
5
:(-0,25)
3
= (-0,25)
(5-3)
= (-0,25)
2
=
Trả lời câu hỏi Toán 7 Tập 1 Bài 5 trang 18 : Tính và so sánh:
a) (2 2 ) 3 và 2 6
Lời giải
Ta có:
a) (2 2 ) 3 = 2 2 .3 = 2 6
⇒ (2 2 ) 3 = 2 6
Trả lời câu hỏi Toán 7 Tập 1 Bài 5 trang 18 : Điền số thích hợp vào ô vuông:
Lời giải
Ta có:
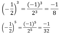
Bài 27 trang 19 sgk Toán lớp 7 Tập 1: Tính
Lời giải:
Bài 28 trang 19 sgk Toán lớp 7 Tập 1: Tính
Hãy rút ra nhận xét về dấu của lũy thừa với số mũ chẵn và lũy thừa với số mũ lẻ của một số hữu tỉ âm.
Lời giải:
Nhận xét:
Lũy thừa với số mũ chẵn của một số hữu tỉ âm là một số hữu tỉ dương.
Lũy thừa với số mũ lẻ của một số hữu tỉ âm là một số hữu tỉ âm.
Lời giải:
Ta có:
Bài 30 trang 19 sgk Toán lớp 7 Tập 1: Tìm x biết:
Lời giải:
Lời giải:
Ta có:
(0,25) 8 = [(0,5) 2 ] 8 = (0,5) 2.8 = (0,5) 16 .
(0,125) 4 = [(0,5) 3 ] 4 = (0,5) 3.4 . = (0,5) 12 .
Lời giải:
Ta có số nguyên dương nhỏ nhất là 1 nên:
1 1 = 1 2 = 1 3 = 1 4 = 1 5 = 1 6 = 1 7 = 1 8 = 1 9 = 1
1 0 = 2 0 = 3 0 = 4 0 = 5 0 = 6 0 = 7 0 = 8 0 = 9 0 = 1
Bài 33 trang 20 sgk Toán lớp 7 Tập 1: Dùng máy tính bỏ túi để tính:
(3,5) 2 ; (-0,12) 3 ; (1,5) 4 ; (-0,1) 5 ; (1,2) 6
Lời giải:
Sử dụng máy tính và lần lượt thực hiện như sau:
(3,5) 2 = 12.25
(-0,12) 3 = -0,001728
(1,5) 4 = 5,0625
(-0,1) 5 = -0,00001
(1,2) 6 = 2,985984
Xem thêm Video Giải bài tập Toán lớp 7 hay và chi tiết khác:
- Bài 6: Lũy thừa của một số hữu tỉ (tiếp)
- Luyện tập trang 22-23
- Bài 7: Tỉ lệ thức
- Luyện tập trang 26-27-28
- Bài 8: Tính chất của dãy tỉ số bằng nhau
Lời giải bài tập lớp 7 sách mới:
- Giải bài tập Lớp 7 Kết nối tri thức
- Giải bài tập Lớp 7 Chân trời sáng tạo
- Giải bài tập Lớp 7 Cánh diều
Tủ sách VIETJACK shopee lớp 6-8 (2025):
Đã có app VietJack trên điện thoại, giải bài tập SGK, SBT Soạn văn, Văn mẫu, Thi online, Bài giảng....miễn phí. Tải ngay ứng dụng trên Android và iOS.
Theo dõi chúng tôi miễn phí trên mạng xã hội facebook và youtube:Loạt bài Video Giải bài tập Toán lớp 7 hay, chi tiết của chúng tôi được biên soạn bám sát sách giáo khoa Toán 7 Tập 1, Tập 2.
Nếu thấy hay, hãy động viên và chia sẻ nhé! Các bình luận không phù hợp với nội quy bình luận trang web sẽ bị cấm bình luận vĩnh viễn.
- Giải Tiếng Anh 7 Global Success
- Giải Tiếng Anh 7 Friends plus
- Giải sgk Tiếng Anh 7 Smart World
- Giải Tiếng Anh 7 Explore English
- Lớp 7 - Kết nối tri thức
- Soạn văn 7 (hay nhất) - KNTT
- Soạn văn 7 (ngắn nhất) - KNTT
- Giải sgk Toán 7 - KNTT
- Giải sgk Khoa học tự nhiên 7 - KNTT
- Giải sgk Lịch Sử 7 - KNTT
- Giải sgk Địa Lí 7 - KNTT
- Giải sgk Giáo dục công dân 7 - KNTT
- Giải sgk Tin học 7 - KNTT
- Giải sgk Công nghệ 7 - KNTT
- Giải sgk Hoạt động trải nghiệm 7 - KNTT
- Giải sgk Âm nhạc 7 - KNTT
- Lớp 7 - Chân trời sáng tạo
- Soạn văn 7 (hay nhất) - CTST
- Soạn văn 7 (ngắn nhất) - CTST
- Giải sgk Toán 7 - CTST
- Giải sgk Khoa học tự nhiên 7 - CTST
- Giải sgk Lịch Sử 7 - CTST
- Giải sgk Địa Lí 7 - CTST
- Giải sgk Giáo dục công dân 7 - CTST
- Giải sgk Công nghệ 7 - CTST
- Giải sgk Tin học 7 - CTST
- Giải sgk Hoạt động trải nghiệm 7 - CTST
- Giải sgk Âm nhạc 7 - CTST
- Lớp 7 - Cánh diều
- Soạn văn 7 (hay nhất) - Cánh diều
- Soạn văn 7 (ngắn nhất) - Cánh diều
- Giải sgk Toán 7 - Cánh diều
- Giải sgk Khoa học tự nhiên 7 - Cánh diều
- Giải sgk Lịch Sử 7 - Cánh diều
- Giải sgk Địa Lí 7 - Cánh diều
- Giải sgk Giáo dục công dân 7 - Cánh diều
- Giải sgk Công nghệ 7 - Cánh diều
- Giải sgk Tin học 7 - Cánh diều
- Giải sgk Hoạt động trải nghiệm 7 - Cánh diều
- Giải sgk Âm nhạc 7 - Cánh diều


Giải bài tập SGK & SBT
Tài liệu giáo viên
Sách
Khóa học
Thi online
Hỏi đáp

