Giải bài tập Toán lớp 8 Bài 1: Mở đầu về phương trình
Giải bài tập Toán lớp 8 Bài 1: Mở đầu về phương trình
Trả lời câu hỏi Toán 8 Tập 2 Bài 1 trang 5 - Video giải tại 1:26 : Hãy cho ví dụ về:
a) Phương trình với ẩn y.
b) Phương trình với ẩn u.
Lời giải
a) Phương trình với ẩn y: 15y + 1 = 16
b) Phương trình với ẩn u: 2u – 11 = 3(u+1)
Lời giải
Khi x= 6, ta có:
VT = 2x + 5 = 2.6 + 5 = 12 + 5 = 17
VP = 3(x – 1) + 2 = 3(6– 1) + 2 = 3.5 + 2 = 15 + 2 = 17
a) x = - 2 có thỏa mãn phương trình không ?
b) x = 2 có là một nghiệm của phương trình không ?
Lời giải
a) Tại x = -2 ta có:
Vế trái = 2(x + 2) – 7 = 2(– 2 + 2) – 7 = 2.0 – 7 = -7.
Vế phải = 3 – x = 3 – (– 2) = 5 ≠ -7
Suy ra: x = - 2 không thỏa mãn phương trình
b)Tại x = 2 ta có:
Vế trái = 2(2 + 2) – 7 = 2.4 – 7 = 8 – 7 = 1
Vế phải = 3 – x = 3 – 2 = 1
⇒ vế trái = vế phải = 1 nên x = 2 có là một nghiệm của phương trình
Trả lời câu hỏi Toán 8 Tập 2 Bài 1 trang 6 - Video giải tại 7:37 : Hãy điền vào chỗ trống (…):
a) Phương trình x = 2 có tập nghiệm là S = …
b) Phương trình vô nghiệm có tập nghiệm là S = …
Lời giải
a) Phương trình x = 2 có tập nghiệm là S = {2}
b) Phương trình vô nghiệm có tập nghiệm là S = ∅
a) 4x - 1 = 3x - 2;
b) x + 1 = 2(x - 3);
c) 2(x + 1) + 3 = 2 - x
Lời giải:
Thay giá trị x = -1 vào từng vế của phương trình, ta được:
a) Vế trái = 4x - 1 = 4(-1) - 1 = -5
Vế phải = 3x - 2 = 3(-1) - 2 = -5
Vế trái = Vế phải nên x = -1 là nghiệm của phương trình.
b) Vế trái = x + 1 = -1 + 1 = 0
Vế phải = 2(x - 3) = 2(-1 - 3) = -8
Vế trái ≠ Vế phải nên x = -1 không là nghiệm của phương trình.
c) Vế trái = 2(x + 1) + 3 = 2( -1 + 1) + 3 = 3
Vế phải = 2 - x = 2 - (-1) = 3
Vế trái = Vế phải nên x = -1 là nghiệm của phương trình.
Lời giải:
Lần lượt thay các giá trị của t vào hai vế của phương trình ta được:
- Tại t = -1 :
(t + 2) 2 = (-1 + 2) 2 = 1
3t + 4 = 3(-1) + 4 = 1
⇒ t = -1 là nghiệm của phương trình (t + 2) 2 = 3t + 4.
- Tại t = 0
(t + 2) 2 = (0 + 2) 2 = 4
3t + 4 = 3.0 + 4 = 4
⇒ t = 0 là nghiệm của phương trình (t + 2) 2 = 3t + 4.
- Tại t = 1
(t + 2) 2 = (1 + 2) 2 = 9
3t + 4 = 3.1 + 4 = 7
⇒ t = 1 không là nghiệm của phương trình (t + 2) 2 = 3t + 4.
Lời giải:
Vì phương trình nghiệm đúng với mọi x nên tập nghiệm của nó là S = R.
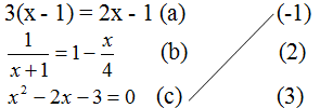
Lời giải:
+ Xét phương trình (a): 3(x – 1) = 2x – 1
Tại x = -1 có:
VT = 3(x – 1) = 3(-1 – 1) = -6;
VP = 2x – 1 = 2.(-1) – 1 = -3.
⇒ -6 ≠ -3 nên -1 không phải nghiệm của phương trình (a).
Tại x = 2 có:
VT = 3(x – 1) = 3.(2 – 1) = 3;
VP = 2x – 1 = 2.2 – 1 = 3
⇒ VT = VP = 3 nên 2 là nghiệm của phương trình (a).
Tại x = 3 có:
VT = 3(x – 1) = 3.(3 – 1) = 6;
VP = 2x – 1 = 2.3 – 1 = 5
⇒ 6 ≠ 5 nên 3 không phải nghiệm của phương trình (a).
+ Xét phương trình (b):
Tại x = -1, biểu thức
không xác định
⇒ -1 không phải nghiệm của phương trình (b)
Tại x = 2 có:
⇒ Do
nên 2 không phải nghiệm của phương trình (b).
Tại x = 3 có:
⇒
nên 3 là nghiệm của phương trình (b).
+ Xét phương trình (c) : x 2 – 2x – 3 = 0
Tại x = -1 có: VT = x 2 – 2x – 3 = (-1) 2 – 2.(-1) – 3 = 0 = VP
⇒ x = -1 là nghiệm của phương trình x 2 – 2x – 3 = 0
Tại x = 2 có: x 2 – 2x – 3 = 2 2 – 2.2 – 3 = -3 ≠ 0.
⇒ x = 2 không phải nghiệm của phương trình x 2 – 2x – 3 = 0.
Tại x = 3 có: x 2 – 2x – 3 = 3 2 – 2.3 – 3 = 0
⇒ x = 3 là nghiệm của phương trình x 2 – 2x – 3 = 0.
Vậy ta có thể nối như sau:
Lời giải:
- Phương trình x = 0 có tập nghiệm S 1 = {0}.
- Xét phương trình x(x - 1) = 0. Vì một tích bằng 0 khi một trong hai thừa số bằng 0 tức là:
Nên phương trình này có tập nghiệm S 2 = {0; 1}.
Vì S 1 ≠ S 2 nên hai phương trình không tương đương.
Xem thêm Video Giải bài tập Toán lớp 8 hay và chi tiết khác:
- Bài 2: Phương trình bậc nhất một ẩn và cách giải
- Bài 3: Phương trình đưa được về dạng ax + b = 0 - Luyện tập trang 13-14)
- Luyện tập trang 13-14)
- Bài 4: Phương trình tích - Luyện tập trang 17)
Tủ sách VIETJACK shopee lớp 6-8 (2025):
Đã có app VietJack trên điện thoại, giải bài tập SGK, SBT Soạn văn, Văn mẫu, Thi online, Bài giảng....miễn phí. Tải ngay ứng dụng trên Android và iOS.
Theo dõi chúng tôi miễn phí trên mạng xã hội facebook và youtube:Loạt bài Giải bài tập Toán 8 hay, chi tiết của chúng tôi được các Thầy / Cô giáo biên soạn bám sát chương trình sách giáo khoa Toán 8 Tập 1, Tập 2 sách mới.
Nếu thấy hay, hãy động viên và chia sẻ nhé! Các bình luận không phù hợp với nội quy bình luận trang web sẽ bị cấm bình luận vĩnh viễn.
- Giải Tiếng Anh 8 Global Success
- Giải sgk Tiếng Anh 8 Smart World
- Giải sgk Tiếng Anh 8 Friends plus
- Lớp 8 - Kết nối tri thức
- Soạn văn 8 (hay nhất) - KNTT
- Soạn văn 8 (ngắn nhất) KNTT
- Giải sgk Toán 8 - KNTT
- Giải sgk Khoa học tự nhiên 8 - KNTT
- Giải sgk Lịch Sử 8 - KNTT
- Giải sgk Địa Lí 8 - KNTT
- Giải sgk Giáo dục công dân 8 - KNTT
- Giải sgk Tin học 8 - KNTT
- Giải sgk Công nghệ 8 - KNTT
- Giải sgk Hoạt động trải nghiệm 8 - KNTT
- Giải sgk Âm nhạc 8 - KNTT
- Lớp 8 - Chân trời sáng tạo
- Soạn văn 8 (hay nhất) - CTST
- Soạn văn 8 (ngắn nhất) - CTST
- Giải sgk Toán 8 - CTST
- Giải sgk Khoa học tự nhiên 8 - CTST
- Giải sgk Lịch Sử 8 - CTST
- Giải sgk Địa Lí 8 - CTST
- Giải sgk Giáo dục công dân 8 - CTST
- Giải sgk Tin học 8 - CTST
- Giải sgk Công nghệ 8 - CTST
- Giải sgk Hoạt động trải nghiệm 8 - CTST
- Giải sgk Âm nhạc 8 - CTST
- Lớp 8 - Cánh diều
- Soạn văn 8 Cánh diều (hay nhất)
- Soạn văn 8 Cánh diều (ngắn nhất)
- Giải sgk Toán 8 - Cánh diều
- Giải sgk Khoa học tự nhiên 8 - Cánh diều
- Giải sgk Lịch Sử 8 - Cánh diều
- Giải sgk Địa Lí 8 - Cánh diều
- Giải sgk Giáo dục công dân 8 - Cánh diều
- Giải sgk Tin học 8 - Cánh diều
- Giải sgk Công nghệ 8 - Cánh diều
- Giải sgk Hoạt động trải nghiệm 8 - Cánh diều
- Giải sgk Âm nhạc 8 - Cánh diều


Giải bài tập SGK & SBT
Tài liệu giáo viên
Sách
Khóa học
Thi online
Hỏi đáp

