Giải bài tập Toán lớp 8 Bài 4: Những hằng đẳng thức đáng nhớ (tiếp)
Giải bài tập Toán lớp 8 Bài 4: Những hằng đẳng thức đáng nhớ (tiếp)
Lời giải
(a + b)(a + b) 2 = (a + b)(a 2 + 2ab + b 2 )
= a(a 2 + 2ab + b 2 ) + b(a 2 + 2ab + b 2 )
= a 3 + 2a 2 b + ab 2 + ba 2 + 2ab 2 + b 3
= a 3 + 3a 2 b + 3ab 2 + b 3
Lời giải
Lập phương của tổng hai biểu thức bằng tổng của lập phương biểu thức thứ nhất, ba lần tích của bình phương biểu thức thứ nhất và biểu thức thứ hai, ba lần tích của biểu thức thứ nhất và bình phương biểu thức thứ hai và lập phương biểu thức thứ hai.
Lời giải
Áp dụng hằng đẳng thức (4) ta có:
[a + (-b)] 3 = a 3 + 3a 2 (-b) + 3a(-b) 2 + (-b) 3
= a 3 - 3a 2 b + 3ab 2 - b 3
Lời giải
Lập phương của hiệu hai biểu thức bằng lập phương biểu thức thứ nhất trừ đi ba lần tích của bình phương biểu thức thứ nhất và biểu thức thứ hai, sau đó cộng ba lần tích của biểu thức thứ nhất và bình phương biểu thức thứ hai rồi trừ đi lập phương biểu thức thứ hai.
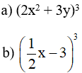
Bài 26 trang 14 SGK Toán 8 Tập 1 - Video giải tại 29:28) Tính:
Lời giải:
a) (2x 2 + 3y) 3 = (2x 2 ) 3 + 3.(2x 2 ) 2 .3y + 3.2x 2 .(3y) 2 + (3y) 3
(Áp dụng HĐT (4) với A = 2x 2 , B = 3y)
= 8x 6 + 3.4x 4 .3y + 3.2x 2 .9y 2 + 27y 3
= 8x 6 + 36x 4 y + 54x 2 y 2 + 27y 3
b)
a) –x 3 + 3x 2 – 3x + 1
b) 8 – 12x + 6x 2 – x 3
Lời giải:
a) –x 3 + 3x 2 – 3x + 1
= (–x) 3 + 3.(–x) 2 .1 + 3.(–x).1 + 1 3
= (–x + 1) 3 (Áp dụng HĐT (4) với A = –x và B = 1)
b) 8 – 12x + 6x 2 – x 3
= 2 3 – 3.2 2 .x + 3.2.x 2 – x 3
= (2 – x) 3 (Áp dụng HĐT (5) với A = 2 và B = x)
Bài 28 trang 14 SGK Toán 8 Tập 1 - Video giải tại 38:57) Tính giá trị của biểu thức:
a) x 3 + 12x 2 + 48x + 64 tại x = 6
b) x 3 – 6x 2 + 12x – 8 tại x = 22
Lời giải:
a) x 3 + 12x 2 + 48x + 64 = x 3 + 3.x 2 .4 + 3.x.4 2 + 4 3 = (x + 4) 3
Tại x = 6, giá trị biểu thức bằng (6 + 4) 3 = 10 3 = 1000.
b) x 3 – 6x 2 + 12x – 8 = x 3 – 3.x 2 .2 + 3.x.2 2 – 2 3 = (x – 2) 3
Tại x = 22, giá trị biểu thức bằng (22 – 2) 3 = 20 3 = 8000.
Bài 29 trang 14 SGK Toán 8 Tập 1 - Video giải tại 43:42) Đố. Đức tính đáng quý.
Hãy viết mỗi biểu thức sau dưới dạng bình phương hoặc lập phương của một tống hoặc một hiệu, rồi điền chữ dòng với biểu thức đó vào bảng cho thích hợp. Sau khi thêm dấu, em sẽ tìm ra một trong những đức tính quý báu của con người.
|
x 3 – 3x 2 + 3x – 1 16 + 8x + x 2 3x 2 + 3x + 1 + x 3 1 – 2y + y 2 |
N U H Â |
| (x – 1) 3 | (x + 1) 3 | (y – 1) 2 | (x – 1) 3 | (1 + x) 3 | (1 – y) 2 | (x + 4) 2 |
Lời giải:
Ta có:
N x 3 – 3x 2 + 3x – 1 = x 3 – 3.x 2 .1 + 3.x.1 2 – 1 3 = (x – 1) 3
U 16 + 8x + x 2 = 4 2 + 2.4.x + x 2 = (4 + x) 2 = (x + 4) 2
H 3x 2 + 3x + 1 + x 3 = x 3 + 3x 2 + 3x + 1 = (x + 1) 3 = (1 + x) 3
 1 – 2y + y 2 = 1 2 – 2.1.y + y 2 = (1 – y) 2 = (y – 1) 2
Điền vào bảng như sau:
| (x – 1) 3 | (x + 1) 3 | (y – 1) 2 | (x – 1) 3 | (1 + x) 3 | (1 – y) 2 | (x + 4) 2 |
| N | H | Â | N | H | Â | U |
Vậy: Đức tính đáng quý là "NHÂN HẬU"
( Chú ý: Bạn có thể làm theo cách ngược lại, tức là khai triển các biểu thức (x – 1) 3 , (x + 1) 3 , (y – 1) 2 , (x + 4) 2 … để tìm xem kết quả ứng với chữ nào và điền vào bảng.)
Xem thêm Video Giải bài tập Toán lớp 8 hay và chi tiết khác:
- Bài 5: Những hằng đẳng thức đáng nhớ (tiếp)
- Luyện tập trang 16-17)
- Bài 6: Phân tích đa thức thành nhân tử bằng phương pháp đặt nhân tử chung
- Bài 7: Phân tích đa thức thành nhân tử bằng phương pháp dùng hằng đẳng thức
Tủ sách VIETJACK shopee lớp 6-8 (2025):
Đã có app VietJack trên điện thoại, giải bài tập SGK, SBT Soạn văn, Văn mẫu, Thi online, Bài giảng....miễn phí. Tải ngay ứng dụng trên Android và iOS.
Theo dõi chúng tôi miễn phí trên mạng xã hội facebook và youtube:Loạt bài Giải bài tập Toán 8 hay, chi tiết của chúng tôi được các Thầy / Cô giáo biên soạn bám sát chương trình sách giáo khoa Toán 8 Tập 1, Tập 2 sách mới.
Nếu thấy hay, hãy động viên và chia sẻ nhé! Các bình luận không phù hợp với nội quy bình luận trang web sẽ bị cấm bình luận vĩnh viễn.
- Giải Tiếng Anh 8 Global Success
- Giải sgk Tiếng Anh 8 Smart World
- Giải sgk Tiếng Anh 8 Friends plus
- Lớp 8 - Kết nối tri thức
- Soạn văn 8 (hay nhất) - KNTT
- Soạn văn 8 (ngắn nhất) KNTT
- Giải sgk Toán 8 - KNTT
- Giải sgk Khoa học tự nhiên 8 - KNTT
- Giải sgk Lịch Sử 8 - KNTT
- Giải sgk Địa Lí 8 - KNTT
- Giải sgk Giáo dục công dân 8 - KNTT
- Giải sgk Tin học 8 - KNTT
- Giải sgk Công nghệ 8 - KNTT
- Giải sgk Hoạt động trải nghiệm 8 - KNTT
- Giải sgk Âm nhạc 8 - KNTT
- Lớp 8 - Chân trời sáng tạo
- Soạn văn 8 (hay nhất) - CTST
- Soạn văn 8 (ngắn nhất) - CTST
- Giải sgk Toán 8 - CTST
- Giải sgk Khoa học tự nhiên 8 - CTST
- Giải sgk Lịch Sử 8 - CTST
- Giải sgk Địa Lí 8 - CTST
- Giải sgk Giáo dục công dân 8 - CTST
- Giải sgk Tin học 8 - CTST
- Giải sgk Công nghệ 8 - CTST
- Giải sgk Hoạt động trải nghiệm 8 - CTST
- Giải sgk Âm nhạc 8 - CTST
- Lớp 8 - Cánh diều
- Soạn văn 8 Cánh diều (hay nhất)
- Soạn văn 8 Cánh diều (ngắn nhất)
- Giải sgk Toán 8 - Cánh diều
- Giải sgk Khoa học tự nhiên 8 - Cánh diều
- Giải sgk Lịch Sử 8 - Cánh diều
- Giải sgk Địa Lí 8 - Cánh diều
- Giải sgk Giáo dục công dân 8 - Cánh diều
- Giải sgk Tin học 8 - Cánh diều
- Giải sgk Công nghệ 8 - Cánh diều
- Giải sgk Hoạt động trải nghiệm 8 - Cánh diều
- Giải sgk Âm nhạc 8 - Cánh diều


Giải bài tập SGK & SBT
Tài liệu giáo viên
Sách
Khóa học
Thi online
Hỏi đáp

