Giải bài tập Toán lớp 8 Bài tập ôn cuối năm (Phần Đại Số - Phần Hình Học)
Giải bài tập Toán lớp 8 Bài tập ôn cuối năm (Phần Đại Số - Phần Hình Học)
Bài 1 trang 130 SGK Toán 8 Tập 2 : Phân tích các đa thức sau thành nhân tử:
a) a 2 – b 2 – 4a + 4;
b) x 2 + 2x – 3;
c) 4x 2 y 2 – (x 2 + y 2 ) 2 ;
d) 2a 3 – 54b 3 .
Lời giải:
a) a 2 – b 2 – 4a + 4
= a 2 – 4a + 4 – b 2
= (a – 2) 2 – b 2
= (a – 2 + b)(a – 2 – b)
= (a + b – 2)(a – b – 2)
b) x 2 + 2x – 3
= x 2 + 2x + 1 – 4
= (x + 1) 2 – 2 2
= (x + 1 + 2)(x + 1 – 2)
= (x + 3)(x – 1)
c) 4x 2 y 2 – (x 2 + y 2 ) 2
= (2xy) 2 – (x 2 + y 2 ) 2
= (2xy + x 2 + y 2 )(2xy - x 2 - y 2 )
= - (x 2 + 2xy + y 2 )(x 2 - 2xy + y 2 )
= -(x + y) 2 .(x - y) 2
d) 2a 3 – 54b 3
= 2(a 3 – 27b 3 )
= 2[a 3 – (3b) 3 ]
= 2(a – 3b)(a 2 + 3ab + 9b 2 )
Bài 2 trang 130 SGK Toán 8 Tập 2 : a) Thực hiện phép chia:
(2x 4 – 4x 3 + 5x 2 + 2x – 3):(2x 2 - 1)
b) Chứng tỏ rằng thương tìm được trong phép chia trên luôn luôn dương với mọi giá trị của x.
Lời giải:
a) Thực hiện phép chia
Vậy (2x 4 – 4x 3 + 5x 2 + 2x – 3) : (2x 2 – 1) = x 2 – 2x + 3.
b) Ta có:
x 2 – 2x + 3
= x 2 – 2x + 1 + 2
= (x – 1) 2 + 2
Vì (x – 1) 2 ≥ 0 với ∀ x
⇒ x 2 – 2x + 3 = (x – 1) 2 + 2 ≥ 2 > 0 với ∀ x
Vậy thương tìm được luôn luôn dương với mọi giá trị của x.
Lời giải:
Gọi hai số lẻ bất kì là 2a + 1 và 2b + 1 (a, b ∈ Z).
Hiệu bình phương của hai số lẻ đó bằng:
(2a + 1) 2 – (2b + 1) 2
= (4a 2 + 4a + 1) – (4b 2 + 4b + 1)
= (4a 2 + 4a) – (4b 2 + 4b)
= 4a(a + 1) – 4b(b + 1)
Tích của hai số tự nhiên liên tiếp luôn chia hết cho 2
⇒ a.(a + 1) ⋮ 2 và b.(b + 1) ⋮ 2.
⇒ 4a(a + 1) ⋮ 8 và 4b(b + 1) ⋮ 8
⇒ 4a(a + 1) – 4b(b + 1) ⋮ 8.
Vậy (2a + 1) 2 – (2b + 1) 2 chia hết cho 8 (đpcm).
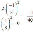
Bài 4 trang 130 SGK Toán 8 Tập 2 : Rút gọn rồi tính giá trị của biểu thức sau tại x = -1/3.
Lời giải:
* Rút gọn biểu thức:
+ Ngoặc thứ nhất:
+ Ngoặc thứ hai:
Do đó:
* Tại
, giá trị biểu thức bằng:
Bài 5 trang 130 SGK Toán 8 Tập 2 : Chứng minh rằng:
Lời giải:
Lời giải:
+ 2x – 3 = 1 ⇔ 2x = 4 ⇔ x = 2.
+ 2x – 3 = -1 ⇔ 2x = 2 ⇔ x = 1.
+ 2x – 3 = 7 ⇔ 2x = 10 ⇔ x = 5
+ 2x – 3 = -7 ⇔ 2x = -4 ⇔ x = -2.
Vậy với x ∈ {-2; 1; 2; 5} thì giá trị biểu thức M là một số nguyên.
Bài 7 trang 130 SGK Toán 8 Tập 2 : Giải các phương trình:
Lời giải:
⇔ 21(4x + 3) – 15(6x – 2) = 35(5x + 4) + 105.3
⇔ 84x + 63 – 90x + 30 = 175x + 140 + 315
⇔ 84x – 90x – 175x = 140 + 315 – 63 – 30
⇔ -181x = 362
⇔ x = -2.
Vậy phương trình có nghiệm x = -2.
⇔ 15(2x – 1) – 2(3x + 1) + 20 = 8(3x + 2)
⇔ 30x – 15 – 6x – 2 + 20 = 24x + 16
⇔ 30x – 6x – 24x = 16 – 20 + 15 + 2
⇔ 0x = 13
Phương trình vô nghiệm.
⇔ 4(x + 2) + 9(2x – 1) – 2(5x – 3) = 12x + 5
⇔ 4x + 8 + 18x – 9 – 10x + 6 = 12x + 5
⇔ 4x + 18x – 10x – 12x = 5 – 8 + 9 – 6
⇔ 0x = 0
Phương trình nghiệm đúng với mọi x.
Bài 8 trang 130 SGK Toán 8 Tập 2 : Giải các phương trình:
a) |2x – 3| = 4 ; b) |3x – 1| - x = 2
Lời giải:
Khi đó: |3x – 1| = 3x – 1.
(1) trở thành: 3x – 1 – x = 2 ⇔ 2x = 3 ⇔
(t/m).
+ TH2 :
Khi đó |3x – 1| = -(3x – 1) = 1 – 3x.
(1) trở thành: 1 – 3x – x = 2 ⇔ 1 – 4x = 2 ⇔ 4x = -1 ⇔
(t/m).
Vậy phương trình (1) có tập nghiệm
Bài 9 trang 130-131 SGK Toán 8 Tập 2 : Giải phương trình:
Lời giải:
Vậy phương trình có nghiệm x = -100.
Bài 10 trang 131 SGK Toán 8 Tập 2 : Giải các phương trình:
Lời giải:
Phương trình nghiệm đúng với mọi x.
Kết hợp với điều kiện xác định,
⇒ phương trình đã cho có nghiệm đúng với mọi x ≠ ±2.
Bài 11 trang 131 SGK Toán 8 Tập 2 : Giải các phương trình:
Lời giải:
Vậy phương trình có tập nghiệm
Suy ra: 5(x – 3)(x- 4) + 5(x-2) 2 = 16(x - 2). (x- 4)
⇔ 5(x 2 – 4x – 3x +12) + 5(x 2 – 4x+ 4) = 16(x 2 - 4x – 2x + 8)
⇔ 5(x 2 – 7x + 12) + 5x 2 – 20x+ 20) = 16(x 2 - 6x + 8)
⇔ 5x 2 – 35x+ 60 + 5x 2 - 20x + 20 = 16x 2 – 96x + 128
⇔ 10x 2 -55x + 80 = 16x 2 – 96x + 128
⇔ 10x 2 -55x + 80 - 16x 2 + 96x - 128 = 0
⇔ - 6x 2 + 41x – 48 = 0
⇔ 6x 2 - 41x + 48 = 0
⇔ 6x 2 – 9x – 32x + 48 = 0
⇔ 3x(2x – 3) – 16.(2x – 3) = 0
⇔ (3x – 16)(2x – 3) = 0
Vậy phương trình có tập nghiệm
Lời giải:
Gọi độ dài quãng đường AB là x (km), (x > 0, km)
Thời gian đi từ A đến B:
(giờ)
Thời gian đi từ B đến A:
(giờ)
Thời gian về ít hơn thời gian đi 20 phút =
giờ nên ta có phương trình:
Vậy quãng đường AB dài 50km.
Lời giải:
Theo dự định, mỗi ngày xí nghiệp sản xuất được:
Thực tế, mỗi ngày xí nghiệp sản xuất được:
50 + 15 = 65 (sản phẩm)
Tổng số sản phẩm thực tế xí nghiệm sản xuất được:
1500 + 255 = 1755 (sản phẩm)
Thời gian thực tế xí nghiệm sản xuất là:
1755 : 65 = 27 (ngày)
Vậy số ngày được rút ngắn so với dự định là:
30 – 27 = 3 (ngày).
Bài 14 trang 131 SGK Toán 8 Tập 2 : Cho biểu thức:
Lời giải:
Bài 15 trang 131 SGK Toán 8 Tập 2 : Giải bất phương trình:
Lời giải:
Lời giải:
* Dựng hình:
- Dựng tam giác ADC có AD = 2cm, DC = 4cm, CA = 5cm.
- Dựng tia Ax song song với CD.
- Đường tròn (C; 3cm) cắt Ax tại B 1 và B 2 .
Hình thang ABCD với B ≡ B 1 hoặc B ≡ B 2 là hình thang cần dựng.
* Chứng minh
+ Tứ giác ABCD có AD = 2cm, DC = 4cm, CA = 5cm.
+ Ax // CD ⇒ AB // CD ⇒ ABCD là hình thang.
+ B ∈ (C; 3cm) ⇒ BC = 3cm.
* Biện luận: Bài toán có hai nghiệm hình.
Lời giải:
ΔAOB đều ⇒ BE là đường trung tuyến đồng thời là đường cao
⇒ BE ⊥ AO
⇒ ΔBEC vuông tại E
Mà EG là đường trung tuyến
⇒
(1)
ΔCOD đều ⇒ CF là đường trung tuyến đồng thời là đường cao
⇒ CF ⊥ OD
⇒ ΔBFC vuông tại F
Mà FG là đường trung tuyến
⇒
(2)
Hình thang ABCD (AB// CD) có: AC = AO + OC = OB + OD = BD
⇒ ABCD là hình thang cân
⇒ AD = BC.
ΔAOD có: AE = EO, FO = FD
⇒ EF là đường trung bình của ΔAOD
⇒
Mà AD = BC (cmt)
⇒
(3)
Từ (1); (2); (3) suy ra EF = FG = GE ⇒ ΔEFG đều (đpcm).
a) Hình thoi? ; b) Hình chữ nhật?
Lời giải:
Ta có: CE ⊥ AB (gt)
KB ⊥ AB (gt)
⇒ BK // CE (1)
Tương tự BH // KC (2)
Từ (1) và (2) ⇒ BHCK là hình bình hành.
Gọi M là giao điểm của hai đường chéo BC và HK.
a) Tam giác ABC có hai đường cao BD và CE cắt nhau tại H nên H là trực tâm tam giác ABC
⇒ AH ⊥ BC. (3)
BHCK là hình thoi
⇔ HM ⊥ BC ( trong đó M là giao điểm của hai đường chéo HK và BC) (4)
Từ (3) và (4) suy ra: A, H, M thẳng hàng.
Khi đó,tam giác ABC có AM là đường cao đồng thời là đường trung tuyến nên tam giác ABC là cân tại A.
b) BHCK là hình chữ nhật
Vậy BHCK là hình chữ nhật khi tam giác ABC vuông tại A.
a) Hình thoi? ;
b) Hình chữ nhật? ;
c) Hình vuông?
Lời giải:
ABCD là hình bình hành ⇒ AB = CD.
M là trung điểm AB ⇒ AM = MB = AB/2.
N là trung điểm CD ⇒ CN = DN = CD/2.
⇒ AM = MB = CN = DN.
+ Tứ giác BMDN có: BM // DN và BM = DN
⇒ BMDN là hình bình hành
⇒ DM // BN hay ME // NK
+ Tứ giác AMCN có: AM // NC, AM = NC
⇒ AMCN là hình bình hành
⇒ AN // CM hay EN // MK.
+ Tứ giác MENK có: ME // NK và NE // MK
⇒ MENK là hình bình hành.
a) MENK là hình thoi
⇔ MN ⊥ EK.
⇔ CD ⊥ AD (Vì EK // CD và MN // AD)
⇔ ABCD là hình chữ nhật.
b) MENK là hình chữ nhật
⇔ MN = EK
Mà MN = BC;
(vì tam giác MCD có E và K lần lượt là trung điểm MD, MC nên EK là đường trung bình của tam giác MCD).
⇔ CD = 2.BC.
c) MENK là hình vuông
⇔ MENK là hình thoi và đồng thời là hình chữ nhật
⇔ ABCD là hình chữ nhật và có CD = 2.BC.
Lời giải:
Lời giải:
Kẻ ME song song với AK (E ∈ BC).
Ta có:
ME là đường trung bình của tam giác ACK nên EC = KE = 2BK.
Ta có: BC = BK + KE + EC = 5BK
(hai tam giác ABK và ABC có chung đường cao hạ từ A)
Lời giải:
AK là đường phân giác của tam giác ABC nên:
Ta có: MD // AK
⇒ ΔABK
ΔDBM và ΔECM
ΔACK
Từ (1) và (2) ta có:
Do BM = CM (giả thiết) nên từ (3) suy ra: BD = CE.
Hình 151
Lời giải:
Lời giải:
Ta chứng minh hai chiều:
a) Chứng minh rằng các tứ giác ACCA', BDD'B' là những hình chữ nhật.
b) Chứng minh rằng AC' 2 = AB 2 + AD 2 + AA' 2 .
c) Tính diện tích toàn phần và thể tích của hình hộp chữ nhật.
Lời giải:
a) ABCD.A’B’C’D’ là hình hộp chữ nhật
⇒ AA’ // CC’, AA’ = CC’
⇒ AA’C’C là hình bình hành
Lại có : AA’ ⊥ (ABCD) ⇒ AA’ ⊥ AC ⇒
⇒ Hình bình hành AA’C’C là hình chữ nhật.
Chứng minh tương tự được tứ giác BDD'B' là những hình chữ nhật
b) Áp dụng định lý Pytago:
Trong tam giác vuông ACC’ ta có:
AC’ 2 = AC 2 + CC’ 2 = AC 2 + AA’ 2
Trong tam giác vuông ABC ta có:
AC 2 = AB 2 + BC 2 = AB 2 + AD 2
Do đó: AC’ 2 =AB 2 + AD 2 + AA’ 2 .
c) Hình hộp chữ nhật được xem như hình lăng trụ đứng.
Diện tích xung quanh:
Sxq = 2.(AB + AD).AA’
= 2.(12 + 16).25
= 1400 (cm 2 )
Diện tích một đáy:
S đ = AB.AD
= 12.16
= 192 (cm 2 )
Diện tích toàn phần:
S tp = S xq + 2S đ
= 1400 + 2.192
= 1784 (cm 2 )
Thể tích:
V = AB.AD.AA’
= 12.16.25
= 4800 (cm 3 )
a) Tính chiều cao SO rồi tính thể tích của hình chóp.
b) Tính diện tích toàn phần của hình chóp.
Lời giải:
a) S.ABCD là hình chóp tứ giác đều
⇒ ABCD là hình vuông
⇒ AC = AB√2 = 20√2 (cm).
SO là chiều cao của hình chóp
⇒ O = AC ∩ BD và SO ⊥ (ABCD)
⇒ SO ⊥ AO
⇒ ΔSAO vuông tại O
⇒ SO 2 + OA 2 = SA 2
⇒ SO
2
= SA
2
– OA
2
= SA
2
– (AC/2)
2
= 24
2
-
= 376
⇒ SO = √376 ≈ 19,4 (cm).
Thể tích hình chóp:
b) Gọi H là trung điểm của CD
SH
2
= SD
2
– DH
2
= 24
2
–
= 476
⇒ SH = √476 ≈ 21,8 (cm)
⇒ S xq = p.d = 2.AB.SH = 2.20.√476 ≈ 872,7 (cm 2 ).
S đ = AB 2 = 20 2 = 400 (cm 2 )
⇒ S tp = S xq + S đ = 872,7 + 400 = 1272,7 (cm 2 ).
Xem thêm Video Giải bài tập Toán lớp 8 hay và chi tiết khác:
- Bài 7: Hình chóp đều và hình chóp cụt đều
- Bài 8: Diện tích xung quanh của hình chóp đều
- Bài 9: Thể tích của hình chóp đều - Luyện tập trang 124-125)
- Luyện tập trang 124-125)
Tủ sách VIETJACK shopee lớp 6-8 (2025):
Đã có app VietJack trên điện thoại, giải bài tập SGK, SBT Soạn văn, Văn mẫu, Thi online, Bài giảng....miễn phí. Tải ngay ứng dụng trên Android và iOS.
Theo dõi chúng tôi miễn phí trên mạng xã hội facebook và youtube:Loạt bài Giải bài tập Toán 8 hay, chi tiết của chúng tôi được các Thầy / Cô giáo biên soạn bám sát chương trình sách giáo khoa Toán 8 Tập 1, Tập 2 sách mới.
Nếu thấy hay, hãy động viên và chia sẻ nhé! Các bình luận không phù hợp với nội quy bình luận trang web sẽ bị cấm bình luận vĩnh viễn.
- Giải Tiếng Anh 8 Global Success
- Giải sgk Tiếng Anh 8 Smart World
- Giải sgk Tiếng Anh 8 Friends plus
- Lớp 8 - Kết nối tri thức
- Soạn văn 8 (hay nhất) - KNTT
- Soạn văn 8 (ngắn nhất) KNTT
- Giải sgk Toán 8 - KNTT
- Giải sgk Khoa học tự nhiên 8 - KNTT
- Giải sgk Lịch Sử 8 - KNTT
- Giải sgk Địa Lí 8 - KNTT
- Giải sgk Giáo dục công dân 8 - KNTT
- Giải sgk Tin học 8 - KNTT
- Giải sgk Công nghệ 8 - KNTT
- Giải sgk Hoạt động trải nghiệm 8 - KNTT
- Giải sgk Âm nhạc 8 - KNTT
- Lớp 8 - Chân trời sáng tạo
- Soạn văn 8 (hay nhất) - CTST
- Soạn văn 8 (ngắn nhất) - CTST
- Giải sgk Toán 8 - CTST
- Giải sgk Khoa học tự nhiên 8 - CTST
- Giải sgk Lịch Sử 8 - CTST
- Giải sgk Địa Lí 8 - CTST
- Giải sgk Giáo dục công dân 8 - CTST
- Giải sgk Tin học 8 - CTST
- Giải sgk Công nghệ 8 - CTST
- Giải sgk Hoạt động trải nghiệm 8 - CTST
- Giải sgk Âm nhạc 8 - CTST
- Lớp 8 - Cánh diều
- Soạn văn 8 Cánh diều (hay nhất)
- Soạn văn 8 Cánh diều (ngắn nhất)
- Giải sgk Toán 8 - Cánh diều
- Giải sgk Khoa học tự nhiên 8 - Cánh diều
- Giải sgk Lịch Sử 8 - Cánh diều
- Giải sgk Địa Lí 8 - Cánh diều
- Giải sgk Giáo dục công dân 8 - Cánh diều
- Giải sgk Tin học 8 - Cánh diều
- Giải sgk Công nghệ 8 - Cánh diều
- Giải sgk Hoạt động trải nghiệm 8 - Cánh diều
- Giải sgk Âm nhạc 8 - Cánh diều


Giải bài tập SGK & SBT
Tài liệu giáo viên
Sách
Khóa học
Thi online
Hỏi đáp

