Toán 8 Ôn tập chương 2
Toán 8 Ôn tập chương 2
Trả lời:
- Phân thức đại số (phân thức) là một biểu thức có dạng
trong đó A, B là những đa thức, B ≠ 0. A là tử thức, B là mẫu thức.
- Một đa thức được coi như một phân thức với mẫu thức bằng 1.
- Một số thực a bất kì cũng là một phân thức đại số.
2. Định nghĩa hai phân thức đại số bằng nhau.
Trả lời:
Hai phân thức
gọi là bằng nhau nếu AD = BC.
3. Phát biểu tính chất cơ bản của phân thức đại số.
Trả lời:
Tính chất cơ bản của phân thức đại số:
- Nếu nhân cả tử và mẫu của một phân thức với cùng một đa thức khác đa thức 0 thì được một phân thức bằng phân thức đã cho:
Nếu chia cả tử và mẫu của một phân thức cho một nhân tử chung của chúng thì được một phân thức bằng phân thức đã cho:
4. Nêu qui tắc rút gọn một phân thức đại số. Hãy rút gọn phân thức
Trả lời:
Qui tắc rút gọn một phân thức đại số.
- Phân tích tử và mẫu thành nhân tử (nếu cần) để tìm nhân tử chung.
- Chia cả tử và mẫu cho nhân tử chung đó.
Rút gọn:
5. Muốn qui đồng mẫu thức của nhiều phân thức có mẫu thức khác nhau làm thế nào ?
Hãy qui đồng mẫu thức của hai phân thức:
Trả lời:
- Muốn qui đồng mẫu thức của nhiều phân thức ta có thể làm như sau:
+ Phân tích các mẫu thức thành nhân tử rồi tìm mẫu thức chung.
+ Tìm nhân tử phụ của mỗi mẫu thức.
+ Nhân cả tử và mẫu của mỗi phân thức với nhân tử phụ tương ứng.
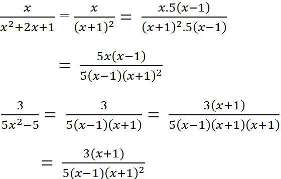
- Quy đồng mẫu hai phân thức trên:
Ta có: x2 + 2x + 1 = (x + 1)2 và 5x2 - 5 = 5(x2 – 1) = 5(x -1)(x + 1)
MTC: 5(x – 1)(x + 1)2
Nhân tử phụ tương ứng: 5(x – 1)(x + 1)
Ta có:
Trả lời:
- Qui tắc cộng hai phân thức cùng mẫu:
Muốn cộng hai phân thức có cùng mẫu thức, ta cộng các tử thức với nhau và giữ nguyên mẫu thức.
- Qui tắc cộng hai phân thức khác mẫu:
Muốn cộng hai phân thức có mẫu thức khác nhau, ta quy đồng mẫu thức rồi cộng các phân thức có cùng mẫu thức vừa tìm được.
- Làm tính cộng:
7. Hai phân thức như thế nào được gọi là hai phân thức đối nhau ? Tìm phân thức đối của phân thức
Trả lời:
- Hai phân thức được gọi là đối nhau nếu tổng của chúng bằng 0.
8. Phát biểu qui tắc trừ hai phân thức đại số.
Trả lời:
9. Phát biểu qui tắc nhân hai phân thức đại số.
Trả lời:
Muốn nhân hai phân thức, ta nhân các tử thức với nhau, các mẫu thức với nhau:
viết phân thức nghịch đảo của nó.
Trả lời:
11. Phát biểu qui tắc chia hai phân thức đại số.
Trả lời:
là một phân thức của biến x. Hãy nêu điều kiện của biến để giá trị của phân thức được xác định.
Trả lời:
Phân thức được xác định khi biến x thỏa mãn B(x) ≠ 0.
Bài 57 trang 61 SGK Toán 8 Tập 1 Chứng tỏ mỗi cặp phân thức sau bằng nhau:
Lời giải:
a) - Cách 1: Dùng định nghĩa hai phân thức bằng nhau:
3(2x 2 + x – 6) = 6x 2 + 3x – 18
(2x – 3)(3x + 6) = 2x.(3x + 6) – 3.(3x + 6) = 6x 2 + 12x – 9x – 18 = 6x 2 + 3x – 18
⇒ 3(2x 2 + x – 6) = (2x – 3)(3x + 6)
- Cách 2: Rút gọn phân thức:
b)- Cách 1: Dùng định nghĩa hai phân thức bằng nhau:
2(x 3 + 7x 2 + 12x) = 2x 3 + 14x 2 + 24x
(x + 4)(2x 2 + 6x) = 2x 3 + 6x 2 + 8x 2 + 24x = 2x 3 + 14x 2 + 24x
⇒ 2(x 3 + 7x 2 + 12x) = (x + 4)(2x 2 + 6x)
- Cách 2: Rút gọn phân thức:
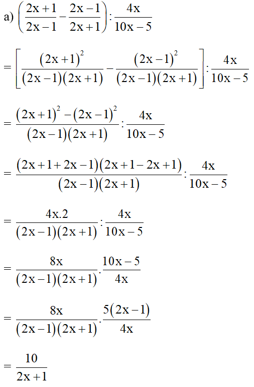
Bài 58 trang 62 SGK Toán 8 Tập 1 Thực hiện các phép tính sau:
Lời giải:
Bài 59 trang 62 SGK Toán 8 Tập 1
a) Cho biểu thức
. Thay
vào biểu thức đã cho rồi rút gọn biểu thức.
b) Cho biểu thức
. Thay
vào biểu thức đã cho rồi rút gọn biểu thức.
Lời giải:
a) Thay
vào biểu thức ta được:
Ta có:
Vậy giá trị biểu thức bằng y – (-x) = x + y.
b) Thay
vào biểu thức trên ta được:
+ Rút gọn biểu thức:
Vậy giá trị biểu thức bằng 1.
Bài 60 trang 62 SGK Toán 8 Tập 1 Cho biểu thức
a) Hãy tìm điều kiện của x để giá trị của biểu thức được xác định.
b) Chứng minh rằng khi giá trị của biểu thức được xác định thi nó không phụ thuộc vào giá trị của biến x.
Lời giải:
a) Biểu thức trên xác định khi tất cả các phân thức đều xác định
+
xác định ⇔ 2x – 2 ≠ 0 ⇔ 2x ≠ 2 ⇔ x ≠ 1.
+
xác định ⇔ x
2
– 1 ≠ 0 ⇔ x
2
≠ 1 ⇔ x ≠ 1 và x ≠ -1.
+
xác định ⇔ 2x + 2 ≠ 0 ⇔ 2x ≠ -2 ⇔ x ≠ -1
Vậy điều kiện xác định của biểu thức là x ≠ 1 và x ≠ -1.
Vậy giá trị của biểu thức không phụ thuộc vào giá trị của biến.
Bài 61 trang 62 SGK Toán 8 Tập 1 Tìm điều kiện của x để giá trị của biểu thức
được xác định.
Tính giá trị của biểu thức tại x = 20040.
Lời giải:
+ Tìm điều kiện xác định:
Biểu thức xác định khi tất cả các phân thức đều xác định.
xác định ⇔ x
2
– 10x ≠ 0
⇔ x(x – 10) ≠ 0
⇔ x ≠ 0 và x – 10 ≠ 0
⇔ x ≠ 0 và x ≠ 10
xác định ⇔ x
2
+ 10x ≠ 0
⇔ x(x + 10) ≠ 0
⇔ x ≠ 0 và x + 10 ≠ 0
⇔ x ≠ 0 và x ≠ -10
luôn xác định vì x
2
+ 4 > 0 với mọi x ∈ R.
Vậy điều kiện xác định của biểu thức là x ≠ 0 và x ≠ ±10
+ Rút gọn biểu thức:
+ Tại x = 20040, giá trị biểu thức bằng
Bài 62 trang 62 SGK Toán 8 Tập 1
Tìm giá trị của x để biết giá trị của phân thức
bằng 0.
Lời giải:
+ Điều kiện xác định:
x 2 – 5x ≠ 0 ⇔ x(x – 5) ≠ 0 ⇔ x ≠ 0 và x ≠ 5.
+ Ta có:
⇒ x 2 – 10x + 25 = 0
⇔ (x – 5) 2 = 0
⇔ x – 5 = 0
⇔ x = 5 (Không thỏa mãn điều kiện xác định).
Vậy không có giá trị nào của x để giá trị phân thức trên bằng 0.
Lời giải:
(Tách -4x = 6x – 10x để nhóm với 3x 2 xuất hiện x + 2)
⇔ x + 2 ∈ Ư(3) = {±1; ±3}
+ x + 2 = 1 ⇔ x = -1
+ x + 2 = -1 ⇔ x = -3
+ x + 2 = 3 ⇔ x = 1
+ x + 2 = -3 ⇔ x = -5
Vậy với x = ±1 ; x = -3 hoặc x = -5 thì phân thức có giá trị nguyên.
⇔ x – 3 ∈ Ư(8) = {±1; ±2; ±4; ±8}
+ x – 3 = 1 ⇔ x = 4
+ x – 3 = -1 ⇔ x = 2
+ x – 3 = 2 ⇔ x = 5
+ x – 3 = -2 ⇔ x = 1
+ x – 3 = 4 ⇔ x = 7
+ x – 3 = -4 ⇔ x = -1
+ x – 3 = 8 ⇔ x = 11
+ x – 3 = -8 ⇔ x = -5.
Vậy với x ∈ {-5; -1; 1; 2; 4; 5; 7; 11} thì giá trị phân thức là số nguyên.
Lời giải:
Điều kiện xác định: x ≠ 0 và x ≠ 5.
Tại x = 1,12, giá trị phân thức bằng:
Xem thêm Video Giải bài tập Toán lớp 8 hay và chi tiết khác:
Tủ sách VIETJACK shopee lớp 6-8 (2025):
Đã có app VietJack trên điện thoại, giải bài tập SGK, SBT Soạn văn, Văn mẫu, Thi online, Bài giảng....miễn phí. Tải ngay ứng dụng trên Android và iOS.
Theo dõi chúng tôi miễn phí trên mạng xã hội facebook và youtube:Loạt bài Giải bài tập Toán 8 hay, chi tiết của chúng tôi được các Thầy / Cô giáo biên soạn bám sát chương trình sách giáo khoa Toán 8 Tập 1, Tập 2 sách mới.
Nếu thấy hay, hãy động viên và chia sẻ nhé! Các bình luận không phù hợp với nội quy bình luận trang web sẽ bị cấm bình luận vĩnh viễn.
- Giải Tiếng Anh 8 Global Success
- Giải sgk Tiếng Anh 8 Smart World
- Giải sgk Tiếng Anh 8 Friends plus
- Lớp 8 - Kết nối tri thức
- Soạn văn 8 (hay nhất) - KNTT
- Soạn văn 8 (ngắn nhất) KNTT
- Giải sgk Toán 8 - KNTT
- Giải sgk Khoa học tự nhiên 8 - KNTT
- Giải sgk Lịch Sử 8 - KNTT
- Giải sgk Địa Lí 8 - KNTT
- Giải sgk Giáo dục công dân 8 - KNTT
- Giải sgk Tin học 8 - KNTT
- Giải sgk Công nghệ 8 - KNTT
- Giải sgk Hoạt động trải nghiệm 8 - KNTT
- Giải sgk Âm nhạc 8 - KNTT
- Lớp 8 - Chân trời sáng tạo
- Soạn văn 8 (hay nhất) - CTST
- Soạn văn 8 (ngắn nhất) - CTST
- Giải sgk Toán 8 - CTST
- Giải sgk Khoa học tự nhiên 8 - CTST
- Giải sgk Lịch Sử 8 - CTST
- Giải sgk Địa Lí 8 - CTST
- Giải sgk Giáo dục công dân 8 - CTST
- Giải sgk Tin học 8 - CTST
- Giải sgk Công nghệ 8 - CTST
- Giải sgk Hoạt động trải nghiệm 8 - CTST
- Giải sgk Âm nhạc 8 - CTST
- Lớp 8 - Cánh diều
- Soạn văn 8 Cánh diều (hay nhất)
- Soạn văn 8 Cánh diều (ngắn nhất)
- Giải sgk Toán 8 - Cánh diều
- Giải sgk Khoa học tự nhiên 8 - Cánh diều
- Giải sgk Lịch Sử 8 - Cánh diều
- Giải sgk Địa Lí 8 - Cánh diều
- Giải sgk Giáo dục công dân 8 - Cánh diều
- Giải sgk Tin học 8 - Cánh diều
- Giải sgk Công nghệ 8 - Cánh diều
- Giải sgk Hoạt động trải nghiệm 8 - Cánh diều
- Giải sgk Âm nhạc 8 - Cánh diều


Giải bài tập SGK & SBT
Tài liệu giáo viên
Sách
Khóa học
Thi online
Hỏi đáp

