Toán 9 Bài tập ôn cuối năm (Phần Đại Số - Phần Hình Học)
Giải sgk Toán 9 Bài tập ôn cuối năm (Phần Đại Số - Phần Hình Học)
Video Giải bài tập Toán 9 Bài tập ôn cuối năm - Cô Ngô Hoàng Ngọc Hà (Giáo viên VietJack)
A - Phần Đại Số
Bài 1 trang 131 SGK Toán lớp 9 Tập 2 : Xét các mệnh đề sau:
Những mệnh đề nào là sai?
Hãy chọn câu trả lời đúng trong các câu A, B, C, D dưới đây:
A. Chỉ có mệnh đề I sai;
B. Chỉ có mệnh đề II sai;
C. Các mệnh đề I và IV sai;
D. Không có mệnh đề nào sai.
Lời giải
Mệnh đề I sai vì không có căn bậc hai của số âm.
Mệnh đề IV sai vì √100 = 10(căn bậc hai số học)
Các mệnh đề II và III đúng.
Vậy chọn câu C
Bài 2 trang 131 SGK Toán lớp 9 Tập 2 : Rút gọn các biểu thức:
Lời giải
Bài 3 trang 132 SGK Toán lớp 9 Tập 2 : Giá trị của biểu thức
Lời giải
Ta có:
Giá trị biểu thức bằng:
Chọn đáp án D.
Bài 4 trang 132 SGK Toán lớp 9 Tập 2 :
Điều kiện : x ≥ 0
Lời giải
Điều kiện: x > 0, x ≠ 1.
Ta có:
a) Đi qua hai điểm A(1; 3) và B(-1; -1).
b) Song song với đường thẳng y = x + 5 và đi qua điểm C(1; 2).
Lời giải
a) Đồ thị hàm số y = ax + b đi qua A(1; 3) và B(-1; -1)
Vậy a = 2; b = 1; hàm số y = 2x + 1.
b) y = ax + b song song với y = x + 5
⇒ a = 1.
Đồ thị hàm số đi qua C(1; 2) ⇔ 2 = a.1 + b ⇔ a + b = 2 ⇒ b = 1.
Vậy a = 1; b = 1.
Bài 7 trang 132 SGK Toán lớp 9 Tập 2 : Cho hai đường thẳng:
y = (m + 1)x + 5 (d1)
y = 2x + n (d2)
Với giá trị nào của m và n thì:
a) d1 trùng với d2?
b) d1 cắt d2?
c) d1 song song với d2?
Lời giải
a) Để d1 trùng d2
Vậy m = 1, n = 5
b) Để d1 cắt d2 thì: m + 1 ≠ 2 ⇒ m ≠ 1
c) Để d1 song song d2
Vậy m = 1, n ≠ 5.
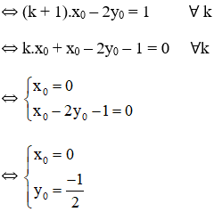
Lời giải
Giả sử đường thẳng (k + 1)x – 2y = 1 đi qua điểm cố định M(x0; y0)
Vậy điểm cố định mà đường thẳng (k + 1)x – 2y = 1 đi qua là
Bài 9 trang 133 SGK Toán lớp 9 Tập 2 : Giải các hệ phương trình:
Lời giải
Bài 10 trang 133 SGK Toán lớp 9 Tập 2 : Giải các hệ phương trình:
a) Điều kiện x ≥ 1; y ≥ 1.
Đặt
(u, v ≥ 0).
Hệ phương trình trở thành:
Vậy hệ phương trình có nghiệm (2; 2).
b) Đặt (x – 1)2 = u, u ≥ 0.
Hệ phương trình trở thành:
Vậy hệ phương trình có hai nghiệm
Gọi số sách ở giá thứ nhất là x ( cuốn)
Số sách ở giá thứ hai là y (cuốn), (x, y∈ N*; x> 50, x < 450, y < 450)
Hai giá sách có tất cả 450 cuốn nên x+ y = 450 (1)
Khi chuyển 50 cuốn từ giá thứ nhất sang giá thứ hai thì số sách ở giá thứ nhất khi đó là x- 50 và số sách ở giá thứ hai là y+ 50
Theo đầu bài ta có:
Vậy số sách ở giá thứ nhất là 300 quyển, giá thứ hai là 150 quyển.
Gọi vận tốc lúc lên dốc và vận tốc lúc xuống dốc theo thứ tự là x, y (km/h) (x, y > 0)
* Lúc đi từ A đến B: Đoạn lên dốc dài 4km và đoạn xuống dốc dài 5km
* Lúc đi từ B đến A: Đoạn lên dốc dài 5 km và đoạn xuống dốc dài 4 km
Thời gian đi lên dốc là
( h) , thời gian xuống dốc là:
(h)
Theo đầu bài thời gian đi A đến B là 40 phút =
h nên:
* Lúc đi từ B đến A qua C: Đoạn lên dốc dài 5 km và đoạn xuống dốc dài 4 km
Thời gian đi lên dốc là
( h) , thời gian xuống dốc là:
(h)
Theo đầu bài thời gian đi A đến B là 41 phút =
h nên:
Từ (1) và (2) ta có hệ phương trình:
Đặt hệ phương trình trên trở thành:
Vậy vậy tốc độ lúc lên dốc là 12km/h, vận tốc lúc xuống dốc là 15km/h.
Đồ thị hàm số đi qua A(-2; 1) ⇒ 1 = a.(-2)2 ⇒
Vậy hàm số:
| x | -4 | -2 | 0 | 2 | 4 |
| 4 | 1 | 0 | 1 | 4 |
Đồ thị hàm số:
Hãy chọn câu trả lời đúng
Lời giải
Áp dụng hệ thức Vi-et ta có:
S = x1 + x2 = -(-a/3) = a/3
Vậy chọn đáp án B
(A) 0 ; (B) 1 ; (C) 2 ; (D) 3
Hãy chọn câu trả lời đúng.
Lời giải
Nghiệm chung x (nếu có) của hai phương trình là nghiệm của hệ:
Lấy (1) trừ (2) vế trừ vế ta được:
ax + 1+ x+ a = 0
⇔ ( ax+ x) + (1+ a) =0
⇔ (a+ 1).x+ (1+ a) = 0
⇔ ( a+ 1) . (x+1)=0
⇔ a = - 1 hoặc x= -1
* Với a = -1 thay vào (2) ta được: x2- x + 1 = 0 phương trình này vô nghiệm
vì ∆= (-1)2 – 4.1.1= - 3 < 0
nên loại a = -1.
*Thay x = -1 vào (2) suy ra a = 2.
Vậy với a = 2 thì phương trình có nghiệm chung là x = -1
Vậy chọn câu C.
Bài 16 trang 133 SGK Toán lớp 9 Tập 2 : Giải các phương trình:
a) 2x3 - x2 + 3x + 6 = 0 ; b) x(x+1)(x+4)(x+5) = 12
b) x.(x+1). ( x+ 4). (x+ 5) = 12
⇔ [ x. (x + 5)]. [(x+1). (x+ 4)] = 12
⇔ ( x2 + 5x).(x2 + 4x + x + 4) – 12=0
⇔ (x2 + 5x).(x2+ 5x + 4) -12 = 0 (*)
Đặt t= x2 + 5x + 2
=> x2 + 5x = t – 2 và x2 + 5x+ 4 = t+ 2
Khi đó phương trình (*) trở thành:
( t – 2). (t+ 2) - 12 = 0
⇔ t2 – 4 – 12 = 0
⇔ t2 – 16 = 0
⇔ t2 = 16 ⇔ t= ±4
+ Với t = 4 ta có: x2 + 5x + 2 = 4
⇔ x2 +5x – 2 = 0 (**)
Có a= 1, b = 5, c = - 2 và ∆ = 52 – 4.1.(-2) = 33 > 0
Nên (**) có 2 nghiệm phân biệt là:
* Với t = - 4 ta có: x2 + 5x + 2= - 4
⇔ x2 + 5x + 6 = 0 (***)
Có a= 1, b = 5, c= 6 và ∆ = 52 – 4.1.6 = 1 > 0
Phương trình (***) có 2 nghiệm là:
Vậy tập nghiệm của phương trình đã cho là:
Gọi số ghế băng lúc đầu là x ( ghế băng), ( x∈N*, x> 2)
Số học sinh ngồi trên mỗi ghế là
( học sinh ) .
Khi bớt đi 2 ghế băng thì còn lại x- 2 ( ghế băng ) và khi đó, mỗi ghế có
học sinh ngồi.
Theo giả thiết, nếu ta bớt đi 2 ghế băng thì mỗi ghế còn lại phải xếp thêm 1 học sinh nên ta có phương trình:
⇔ 40 x – x(x -2) = 40 (x- 2)
⇔ 40x – x2 + 2x = 40x – 80
⇔ - x2 + 2x + 80 = 0
Có a = -1, b= 2; c = 80 và ∆ = 22 – 4.(-1). 80 = 324
Nên phương trình trên có 2 nghiệm là: x1 = -8 ( loại) và x2 =10 ( thỏa mãn)
Vậy lúc đầu có 10 ghế băng.
Gọi số đo độ dài hai cạnh góc vuông của tam giác vuông đó là x(cm), y (cm)
( 0 < y < x < 10)
Hai cạnh góc vuông có độ dài hơn kém nhau 2cm nên ta được x – y = 2 , (1).
Theo định lý Pytago ta có: x2 + y2 = 102 = 100 (2)
Từ (1) và (2) ta có hệ phương trình:
Từ (1) suy ra: x= y+ 2 thay vào (2) ta được:
( y + 2)2 + y2 = 100
⇔ y2+ 4y + 4 + y2 = 100
⇔ 2y2 + 4y – 96 = 0 hay y2 + 2y – 48 = 0
Giải ra ta được: y1 = 6; y2 = -8 < 0 ( loại)
Với y= 6 suy ra x = 8.
Vậy độ dài các cạnh góc vuông của tam giác vuông là 6cm và 8cm.
B - Phần Hình Học
Gọi độ dài một cạnh của hình chữ nhật là x (x > 0, cm)
Nửa chu vi hình chữ nhật là: 20 : 2 = 10 (cm)
Độ dài cạnh còn lại của hình chữ nhật là : 10 – x (cm).
Theo định lý Pytago ta có:
AC2 = x2 + (10 – x)2
= x2 + 100 – 20x + x2
= 2x2 – 20x + 100
= 2(x2 – 10x + 25) + 50
= 2.(x – 5)2 + 50 ≥ 50.
⇒ AC ≥ 5√2
Dấu "=" xảy ra khi (x – 5)2 = 0 ⇔ x = 5.
Vậy đường chéo AC nhỏ nhất là 5√2cm khi ABCD là hình vuông cạnh bằng 5cm.
Hãy chọn câu trả lời đúng.
Lời giải
Bài 4 trang 134 SGK Toán lớp 9 Tập 2 : Nếu tam giác ABC vuông tại C và có sinA = 2/3 thì tgB bằng:
Lời giải
Độ dài EF bằng:
Lời giải
Gọi O là tâm đường tròn. Từ O kẻ bán kính vuông góc với BC, cắt BC ở G, cắt EF ở H.
Ta có: G, H lần lượt là trung điểm BC và EF.
BG = BC/2 = 2,5
⇒ AG = AB + BG = 6,5
⇒ DH = AG = 6,5
⇒ EH = DH – DE = 3,5
⇒ EF = 2.EH = 7.
Vậy chọn đáp án B.
a) Chứng minh tích BD.CE không đổi.
b) Chứng minh ΔBOD
ΔOED. Từ đó suy ra tia DO là tia phân giác của góc BDE.
c) Vẽ đường tròn tâm O tiếp xúc với AB. Chứng minh rằng đường tròn này luôn tiếp xúc với DE.
Lời giải
c) Gọi đường tròn tâm O tiếp xúc với AB có bán kính R.
Gọi H, K là chân đường vuông góc hạ từ O đến DE và AB.
⇒ R = OK.
O ∈ đường phân giác của
⇒ OH = OK.
⇒ OH = R
⇒ DE tiếp xúc với (O; R) (đpcm).
(O; R) và (O’; R’) tiếp xúc ngoài với nhau
⇒ OO’ = R + r.
O’A ⊥ BP, OB ⊥ BP ⇒ O’A // OB
⇒ ΔPAO’
ΔPBO
⇒ OB = 2.O'A hay R = 2.r
và OP = 2.O’P ⇒ O’P = OO’ = R + r = 3.r
ΔO’AP vuông tại A nên: O’P2 = O’A2 + AP2
⇔ (3r)2 = r2 + 42 ⇔ 8r2 = 16 ⇔ r2 = 2
Diện tích hình tròn (O’; r) là: S = π.r2 = 2π (cm2).
(A) CD = BD = O'D ; (B) AO = CO = OD
(C) CD = CO = BD ; (D) CD = OD = BD
Hãy chọn câu trả lời đúng.
Lời giải
Do O là tâm đường tròn nội tiếp tam giác ABC nên O là giao điểm của ba đường phân giác của tam giác ABC.
(hai cung bằng nhau căng hai dây bằng nhau).
+
đều là các góc nội tiếp chắn
ΔOAB có
là góc ngoài của tam giác
Từ (1) và (2) suy ra DB = DC = DO.
Vậy chọn đáp án D.
(A) 57o5 ; (B) 59o ; (C) 61o ; (D) 60o
Hãy chọn câu trả lời đúng.
Lời giải
Các cung
tạo thành một đường tròn
⇒ x + 75º + 2x + 25º + 3x – 22º = 360º
⇒ 6x = 282º
⇒ x = 47º.
là các góc nội tiếp chắn các cung
Vậy chọn đáp án C.
Lời giải
* Lưu ý:
+ Trong tất cả các hình phẳng kín có cùng chu vi, hình tròn có diện tích lớn nhất.
⇒ D nằm trên cung chứa góc 300 dựng trên đoạn BC.
+ Khi A ≡ C thì D ≡ C, khi A ≡ B thì D ≡ E (BE là tiếp tuyến của đường tròn (O) tại B).
Vậy khi A di chuyển trên cung lớn BC thì D di chuyển trên cung CE thuộc cung chứa góc 30º dựng trên BC.
Phân tích:
Giả sử dựng được ΔABC thỏa mãn điều kiện.
Gọi O là tâm đường tròn nội tiếp tam giác.
⇒ O thuộc cung m chứa góc 120º dựng trên đoạn BC.
+ Bán kính đường tròn nội tiếp ΔABC bằng 1
⇒ O cách BC 1cm
⇒ O thuộc d // BC và cách BC 1cm.
Vậy O là giao của cung m và đường thẳng d.
+ Khi đó ta dựng được đường tròn (O; 1) nội tiếp ΔABC
⇒ A là giao của tiếp tuyến đi qua B và C của đường tròn (O; 1).
Cách dựng:
+ Dựng BC = 4cm
+ Dựng đường thẳng (d) song song với BC và cách BC một khoảng là 1 cm.
+ Dựng cung m chứa góc 120º trên đoạn BC.
+ (d) cắt cung m tại O.
+ Dựng đường tròn tâm O, bán kính 1cm.
+ Kẻ tiếp tuyến từ B và C đến (O; 1cm).
Hai tiếp tuyến cắt nhau tại A.
ΔABC là tam giác cần dựng.
Chứng minh:
+ Theo cách dựng có BC = 4cm .
+ O thuộc cung 120º dựng trên đoạn BC
+ A là giao của 2 tiếp tuyến
⇒ (O; 1cm) tiếp xúc với AB và AC
Mà khoảng cách từ O đến BC = 1cm
⇒ (O; 1cm) cũng tiếp xúc với BC
⇒ (O; 1cm) là đường tròn nội tiếp ΔABC
Vậy ΔABC có BC = 4cm,
, đường tròn nội tiếp có bán kính 1cm thỏa mãn yêu cầu.
Biện luận:
Vì d cắt m tại hai điểm nên bài toán có hai nghiệm hình ΔABC và ΔA’BC như hình vẽ.
a) BD2 = AD.CD
b) Tứ giác BCDE là tứ giác nội tiếp
c) BC song song với DE
Lời giải
b) ΔABC cân tại A
⇒ AB = AC
là các góc có đỉnh ở bên ngoài đường tròn nên ta có:
⇒ D và E cùng nhìn BC dưới 1 góc bằng nhau
⇒ BCDE là tứ giác nội tiếp.
c. Tứ giác BCDE nội tiếp
⇒ BC // DE (hai góc đồng vị bằng nhau).
Xét hai trường hợp:
a) Đường cao hình trụ bằng 3cm, đường kính đáy trụ bằng 2cm (hình a)
⇒ bán kính đáy trụ: R = 1cm.
Sxq = 2πRh = 2π.1.3 = 6π (cm2)
V = πR2h = π.12.3 = 3π (cm3)
b) Đường cao hình trụ bằng 2cm, đường kính đáy trụ bằng 3cm
⇒ bán kính đáy trụ: R = 1,5 cm
Sxq = 2πRh = 2π.1,5.2 = 6π (cm2)
V = πR2h = π.(1,5)2.2 = 4,5π (cm3)
Tủ sách VIETJACK luyện thi vào 10 cho 2k11 (2026):
Đã có app VietJack trên điện thoại, giải bài tập SGK, SBT Soạn văn, Văn mẫu, Thi online, Bài giảng....miễn phí. Tải ngay ứng dụng trên Android và iOS.
Theo dõi chúng tôi miễn phí trên mạng xã hội facebook và youtube:Loạt bài Video Giải bài tập Toán lớp 9 hay, chi tiết của chúng tôi được các Thầy / Cô giáo biên soạn bám sát chương trình sách giáo khoa Toán 9 Tập 1, Tập 2 Đại số & Hình học.
Nếu thấy hay, hãy động viên và chia sẻ nhé! Các bình luận không phù hợp với nội quy bình luận trang web sẽ bị cấm bình luận vĩnh viễn.
- Giải Tiếng Anh 9 Global Success
- Giải sgk Tiếng Anh 9 Smart World
- Giải sgk Tiếng Anh 9 Friends plus
- Lớp 9 Kết nối tri thức
- Soạn văn 9 (hay nhất) - KNTT
- Soạn văn 9 (ngắn nhất) - KNTT
- Giải sgk Toán 9 - KNTT
- Giải sgk Khoa học tự nhiên 9 - KNTT
- Giải sgk Lịch Sử 9 - KNTT
- Giải sgk Địa Lí 9 - KNTT
- Giải sgk Giáo dục công dân 9 - KNTT
- Giải sgk Tin học 9 - KNTT
- Giải sgk Công nghệ 9 - KNTT
- Giải sgk Hoạt động trải nghiệm 9 - KNTT
- Giải sgk Âm nhạc 9 - KNTT
- Giải sgk Mĩ thuật 9 - KNTT
- Lớp 9 Chân trời sáng tạo
- Soạn văn 9 (hay nhất) - CTST
- Soạn văn 9 (ngắn nhất) - CTST
- Giải sgk Toán 9 - CTST
- Giải sgk Khoa học tự nhiên 9 - CTST
- Giải sgk Lịch Sử 9 - CTST
- Giải sgk Địa Lí 9 - CTST
- Giải sgk Giáo dục công dân 9 - CTST
- Giải sgk Tin học 9 - CTST
- Giải sgk Công nghệ 9 - CTST
- Giải sgk Hoạt động trải nghiệm 9 - CTST
- Giải sgk Âm nhạc 9 - CTST
- Giải sgk Mĩ thuật 9 - CTST
- Lớp 9 Cánh diều
- Soạn văn 9 Cánh diều (hay nhất)
- Soạn văn 9 Cánh diều (ngắn nhất)
- Giải sgk Toán 9 - Cánh diều
- Giải sgk Khoa học tự nhiên 9 - Cánh diều
- Giải sgk Lịch Sử 9 - Cánh diều
- Giải sgk Địa Lí 9 - Cánh diều
- Giải sgk Giáo dục công dân 9 - Cánh diều
- Giải sgk Tin học 9 - Cánh diều
- Giải sgk Công nghệ 9 - Cánh diều
- Giải sgk Hoạt động trải nghiệm 9 - Cánh diều
- Giải sgk Âm nhạc 9 - Cánh diều
- Giải sgk Mĩ thuật 9 - Cánh diều


Giải bài tập SGK & SBT
Tài liệu giáo viên
Sách
Khóa học
Thi online
Hỏi đáp

