Toán 9 Luyện tập trang 30
Giải sgk Toán 9 Luyện tập trang 30
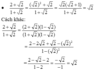
Lời giải:
Lời giải:
Nhận xét: Cách làm thứ nhật (nhận dạng tử có thể phân tích thành nhân tử để rút gọn nhân tử đó với mẫu thích hợp hơn cách làm thứ hai (trục căn thức ở mẫu rồi thu gọn). Vì trục căn thức ở mẫu rồi rút gọn sẽ thêm nhiều phép nhân.
Bài 55 trang 30 SGK Toán lớp 9 Tập 1: Phân tích thành nhân tử (với a, b, x, y là các số không âm)
Lời giải:
a) ab + b√a + √a + 1 = [(√a)2b + b√a] + (√a + 1)
= b√a(√a + 1) + (√a + 1) = (√a + 1)(b√a + 1)
= (√x - √y)(√x + √y)2
= (√x - √y)(√x + √y)(√x + √y)
= (x - y)(√x + √y)
Bài 56 trang 30 SGK Toán lớp 9 Tập 1: Sắp xếp theo thứ tự tăng dần:
a) 3√5, 2√6, √29, 4√2 ; b) 6√2, √38, 3√7, 2√14
Vì √24 < √29 < √32 < √45
Nên ta sắp xếp được: 2√6 < √29 < 4√2 < 3√5
Vì √38 < √56 < √63 < √72
Nên ta sắp xếp được: √38 < 2√14 < 3√7 < 6√2
Bài 57 trang 30 SGK Toán lớp 9 Tập 1: √25x - √16x = 9 khi x bằng
(A) 1 ; (B) 3 ; (C) 9 ; (D) 81
Hãy chọn câu trả lời đúng.
Lời giải:
- Chọn D
⇔ 5√x - 4√x = 9 ⇔ √x = 9 ⇔ x = 81
Xem thêm các bài Giải bài tập Toán lớp 9 hay và chi tiết khác:
- Bài 8: Rút gọn biểu thức chứa căn thức bậc hai
- Luyện tập trang 33-34
- Bài 9: Căn bậc ba
- Ôn tập chương I
- Bài 1: Nhắc lại và bổ sung các khái niệm về hàm số
Tủ sách VIETJACK luyện thi vào 10 cho 2k11 (2026):
Đã có app VietJack trên điện thoại, giải bài tập SGK, SBT Soạn văn, Văn mẫu, Thi online, Bài giảng....miễn phí. Tải ngay ứng dụng trên Android và iOS.
Theo dõi chúng tôi miễn phí trên mạng xã hội facebook và youtube:Loạt bài Video Giải bài tập Toán lớp 9 hay, chi tiết của chúng tôi được các Thầy / Cô giáo biên soạn bám sát chương trình sách giáo khoa Toán 9 Tập 1, Tập 2 Đại số & Hình học.
Nếu thấy hay, hãy động viên và chia sẻ nhé! Các bình luận không phù hợp với nội quy bình luận trang web sẽ bị cấm bình luận vĩnh viễn.
- Giải Tiếng Anh 9 Global Success
- Giải sgk Tiếng Anh 9 Smart World
- Giải sgk Tiếng Anh 9 Friends plus
- Lớp 9 Kết nối tri thức
- Soạn văn 9 (hay nhất) - KNTT
- Soạn văn 9 (ngắn nhất) - KNTT
- Giải sgk Toán 9 - KNTT
- Giải sgk Khoa học tự nhiên 9 - KNTT
- Giải sgk Lịch Sử 9 - KNTT
- Giải sgk Địa Lí 9 - KNTT
- Giải sgk Giáo dục công dân 9 - KNTT
- Giải sgk Tin học 9 - KNTT
- Giải sgk Công nghệ 9 - KNTT
- Giải sgk Hoạt động trải nghiệm 9 - KNTT
- Giải sgk Âm nhạc 9 - KNTT
- Giải sgk Mĩ thuật 9 - KNTT
- Lớp 9 Chân trời sáng tạo
- Soạn văn 9 (hay nhất) - CTST
- Soạn văn 9 (ngắn nhất) - CTST
- Giải sgk Toán 9 - CTST
- Giải sgk Khoa học tự nhiên 9 - CTST
- Giải sgk Lịch Sử 9 - CTST
- Giải sgk Địa Lí 9 - CTST
- Giải sgk Giáo dục công dân 9 - CTST
- Giải sgk Tin học 9 - CTST
- Giải sgk Công nghệ 9 - CTST
- Giải sgk Hoạt động trải nghiệm 9 - CTST
- Giải sgk Âm nhạc 9 - CTST
- Giải sgk Mĩ thuật 9 - CTST
- Lớp 9 Cánh diều
- Soạn văn 9 Cánh diều (hay nhất)
- Soạn văn 9 Cánh diều (ngắn nhất)
- Giải sgk Toán 9 - Cánh diều
- Giải sgk Khoa học tự nhiên 9 - Cánh diều
- Giải sgk Lịch Sử 9 - Cánh diều
- Giải sgk Địa Lí 9 - Cánh diều
- Giải sgk Giáo dục công dân 9 - Cánh diều
- Giải sgk Tin học 9 - Cánh diều
- Giải sgk Công nghệ 9 - Cánh diều
- Giải sgk Hoạt động trải nghiệm 9 - Cánh diều
- Giải sgk Âm nhạc 9 - Cánh diều
- Giải sgk Mĩ thuật 9 - Cánh diều


Giải bài tập SGK & SBT
Tài liệu giáo viên
Sách
Khóa học
Thi online
Hỏi đáp

