Toán 9 Luyện tập trang 54
Giải sgk Toán 9 Luyện tập trang 54
Video Giải bài tập Toán lớp 9 Luyện tập trang 54
a) 4x2 + 2x – 5 = 0;
b) 9x2 – 12x + 4 = 0;
c) 5x2 + x + 2 = 0;
d) 159x2 – 2x – 1 = 0.
Lời giải
a) Phương trình 4x2 + 2x – 5 = 0
Có a = 4; b = 2; c = -5, a.c < 0
⇒ Phương trình có hai nghiệm x1; x2
Theo hệ thức Vi-et ta có:
b) Phương trình 9x2 – 12x + 4 = 0
Có a = 9; b' = -6; c = 4 ⇒ Δ’ = (-6)2 – 4.9 = 0
⇒ Phương trình có nghiệm kép x1 = x2.
Theo hệ thức Vi-et ta có:
c) Phương trình 5x2 + x + 2 = 0
Có a = 5; b = 1; c = 2 ⇒ Δ = 12 – 4.2.5 = -39 < 0
⇒ Phương trình vô nghiệm.
d) Phương trình 159x2 – 2x – 1 = 0
Có a = 159; b = -2; c = -1; a.c < 0
⇒ Phương trình có hai nghiệm phân biệt x1; x2.
Theo hệ thức Vi-et ta có:
a) x2 – 2x + m = 0;
b) x2 + 2(m – 1)x + m2 = 0.
Lời giải
a) Phương trình x2 – 2x + m = 0
Có a = 1; b = -2; c = m nên b’= -1
⇒ Δ’ = (-1)2 – 1.m = 1 – m
Phương trình có nghiệm ⇔ Δ’ ≥ 0 ⇔ 1 – m ≥ 0 ⇔ m ≤ 1.
Khi đó, theo định lý Vi-et:
Vậy với m ≤ 1, phương trình có hai nghiệm có tổng bằng 2; tích bằng m.
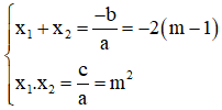
b) Phương trình x2 + 2(m – 1)x + m2 = 0
Có a = 1; b = 2(m – 1); c = m2 nên b’ = m-1
⇒ Δ’ = b'2 – ac = (m – 1)2 – m2 = - 2m + 1.
Phương trình có nghiệm ⇔ Δ’ ≥ 0 ⇔ - 2m + 1 ≥ 0 ⇔ m ≤ 1/2.
Khi đó, theo định lý Vi-et:
Vậy với m ≤ ½, phương trình có hai nghiệm có tổng bằng -2(m – 1), tích bằng m2.
Bài 31 trang 54 SGK Toán 9 Tập 2 - Video giải tại 9:02) : Tính nhẩm nghiệm của các phương trình:
Lời giải
a) 1,5x2 – 1,6x + 0,1 = 0
Có a = 1,5; b = -1,6; c = 0,1
⇒ a + b + c = 1,5 – 1,6 + 0,1 = 0
⇒ Phương trình có hai nghiệm x1 = 1; x2 = c/a = 1/15.
d) (m – 1)x2 – (2m + 3)x + m + 4 = 0
Có a = m – 1 ; b = - (2m + 3) ; c = m + 4
⇒ a + b + c = (m – 1) – (2m + 3) + m + 4 = m -1 – 2m – 3 + m + 4 = 0
⇒ Phương trình có hai nghiệm
a) u + v = 42, uv = 441
b) u + v = -42, uv = -400
c) u – v = 5, uv = 24
Lời giải
a) S = 42; P = 441 ⇒ S2 – 4P = 422 – 4.441 = 0
⇒ u và v là hai nghiệm của phương trình: x2 – 42x + 441 = 0
Có: Δ’ = (-21)2 – 441 = 0
⇒ Phương trình có nghiệm kép x1 = x2 = -b’/a = 21.
Vậy u = v = 21.
b) S = -42; P = -400 ⇒ S2 – 4P = (-42)2 – 4.(-400) = 3364 > 0
⇒ u và v là hai nghiệm của phương trình: x2 + 42x – 400 = 0
Có Δ’ = 212 – 1.(-400) = 841
⇒ Phương trình có hai nghiệm phân biệt:
Vậy u = 8; v = -50 hoặc u = -50; v = 8.
c) u – v = 5 ⇒ u + (-v) = 5
u.v = 24 ⇒ u.(-v) = -uv = -24.
Ta tìm u và –v. Từ đó, ta dễ dàng tính được u và v.
S= u + (-v) = 5; P = u. (-v) = -24 ⇒ S2 – 4P = 52 – 4.(-24) = 121 > 0
⇒ u và –v là hai nghiệm của phương trình: x2 – 5x – 24 = 0
Có Δ = (-5)2 – 4.1.(-24) = 121
⇒ Phương trình có hai nghiệm phân biệt
⇒ u = 8; -v = -3 hoặc u = -3; -v = 8
⇒ u = 8; v = 3 hoặc u = -3; v = -8.
ax2 + bx + c = a( x - x1)(x - x2)
Áp dụng : phân tích đa thức thành nhân tử.
a) 2x2 - 5x + 3; b)3x2 + 8x + 2
Lời giải
* Chứng minh:
Phương trình ax2 + bx + c = 0 có hai nghiệm x1; x2
⇒ Theo định lý Vi-et:
Khi đó : a.(x – x1).(x – x2)
= a.(x2 – x1.x – x2.x + x1.x2)
= a.x2 – a.x.(x1 + x2) + a.x1.x2
=
= a.x2 + bx + c (đpcm).
* Áp dụng:
a) 2x2 – 5x + 3 = 0
Có a = 2; b = -5; c = 3
⇒ a + b + c = 2 – 5 + 3 = 0
⇒ Phương trình có hai nghiệm
Vậy:
b) 3x2 + 8x + 2 = 0
Có a = 3; b' = 4; c = 2
⇒ Δ’ = 42 – 2.3 = 10 > 0
⇒ Phương trình có hai nghiệm phân biệt:
Xem thêm các bài Giải bài tập Toán lớp 9 hay và chi tiết khác:
- Bài 7: Phương trình quy về phương trình bậc hai
- Luyện tập trang 56-57
- Bài 8: Giải bài toán bằng cách lập phương trình
- Luyện tập trang 59-60
- Ôn tập chương 4 (Câu hỏi - Bài tập)
Tủ sách VIETJACK luyện thi vào 10 cho 2k11 (2026):
Đã có app VietJack trên điện thoại, giải bài tập SGK, SBT Soạn văn, Văn mẫu, Thi online, Bài giảng....miễn phí. Tải ngay ứng dụng trên Android và iOS.
Theo dõi chúng tôi miễn phí trên mạng xã hội facebook và youtube:Loạt bài Video Giải bài tập Toán lớp 9 hay, chi tiết của chúng tôi được các Thầy / Cô giáo biên soạn bám sát chương trình sách giáo khoa Toán 9 Tập 1, Tập 2 Đại số & Hình học.
Nếu thấy hay, hãy động viên và chia sẻ nhé! Các bình luận không phù hợp với nội quy bình luận trang web sẽ bị cấm bình luận vĩnh viễn.
- Giải Tiếng Anh 9 Global Success
- Giải sgk Tiếng Anh 9 Smart World
- Giải sgk Tiếng Anh 9 Friends plus
- Lớp 9 Kết nối tri thức
- Soạn văn 9 (hay nhất) - KNTT
- Soạn văn 9 (ngắn nhất) - KNTT
- Giải sgk Toán 9 - KNTT
- Giải sgk Khoa học tự nhiên 9 - KNTT
- Giải sgk Lịch Sử 9 - KNTT
- Giải sgk Địa Lí 9 - KNTT
- Giải sgk Giáo dục công dân 9 - KNTT
- Giải sgk Tin học 9 - KNTT
- Giải sgk Công nghệ 9 - KNTT
- Giải sgk Hoạt động trải nghiệm 9 - KNTT
- Giải sgk Âm nhạc 9 - KNTT
- Giải sgk Mĩ thuật 9 - KNTT
- Lớp 9 Chân trời sáng tạo
- Soạn văn 9 (hay nhất) - CTST
- Soạn văn 9 (ngắn nhất) - CTST
- Giải sgk Toán 9 - CTST
- Giải sgk Khoa học tự nhiên 9 - CTST
- Giải sgk Lịch Sử 9 - CTST
- Giải sgk Địa Lí 9 - CTST
- Giải sgk Giáo dục công dân 9 - CTST
- Giải sgk Tin học 9 - CTST
- Giải sgk Công nghệ 9 - CTST
- Giải sgk Hoạt động trải nghiệm 9 - CTST
- Giải sgk Âm nhạc 9 - CTST
- Giải sgk Mĩ thuật 9 - CTST
- Lớp 9 Cánh diều
- Soạn văn 9 Cánh diều (hay nhất)
- Soạn văn 9 Cánh diều (ngắn nhất)
- Giải sgk Toán 9 - Cánh diều
- Giải sgk Khoa học tự nhiên 9 - Cánh diều
- Giải sgk Lịch Sử 9 - Cánh diều
- Giải sgk Địa Lí 9 - Cánh diều
- Giải sgk Giáo dục công dân 9 - Cánh diều
- Giải sgk Tin học 9 - Cánh diều
- Giải sgk Công nghệ 9 - Cánh diều
- Giải sgk Hoạt động trải nghiệm 9 - Cánh diều
- Giải sgk Âm nhạc 9 - Cánh diều
- Giải sgk Mĩ thuật 9 - Cánh diều


Giải bài tập SGK & SBT
Tài liệu giáo viên
Sách
Khóa học
Thi online
Hỏi đáp

