Vật Lí 10 Bài 25 : Động năng
Vật Lí 10 Bài 25 : Động năng
Video Giải Vật Lí 10 Bài 25 : Động năng - Thầy Lê Xuân Vượng (Giáo viên VietJack)
C1 ( trang 134 sgk Vật Lý 10) - Video giải tại 1:52 Dòng nào ở cột 1 ứng với dòng nào ở cột 2?
Trả lời:
A – 1;
B – 1;
C – 2;
D – 3;
E – 1.
Máy kéo, cần cẩu, lũ quét: thực hiện công
Lò nung: truyền nhiệt.
Mặt Trời: phát ra các tia nhiệt.
C2 ( trang 134 sgk Vật Lý 10) - Video giải tại 4:45 Chứng tỏ những vật sau đây có động năng, và những vật ấy có thể sinh công như thế nào?
a) Viên đạn đang bay.
b) Búa đang chuyển động.
c) Dòng nước lũ đang chảy mạnh.
Bảng 25.1: Vài ví dụ về động năng
Trả lời:
a) Viên đạn có khối lượng m, đang bay với vận tốc v thì có thể xuyên vào gỗ, vào tấm bia và sinh công. Ta nói viên đạn có động năng.
b) Búa đang chuyển động đập vào đinh, làm cho đinh đóng sâu vào gỗ, sinh công. Ta nói búa có động năng khi đang chuyển động.
c) Dòng nước lũ đang chuyển động mạnh với vận tốc chảy rất lớn có thể cuốn trôi, vỡ đổ nhà của… ta nói dòng nước có động năng.
C3 ( trang 135 sgk Vật Lý 10) - Video giải tại 15:12 Chứng minh rằng đơn vị Jun cũng bằng kg.m2/s2.
Trả lời:
Động năng là năng lượng nên đơn vị động năng là Jun (J).
Mặt khác từ công thức động năng:
ta có đơn vị động năng còn là:
Bài 1 (trang 136 SGK Vật Lý 10) - Video giải tại 20:40 Nêu định nghĩa và công thức của động năng
Lời giải:
Động năng: là dạng năng lượng của một vật có được do nó đang chuyển động,
Bài 2 (trang 136 SGK Vật Lý 10) - Video giải tại 21:14 Khi nào động năng của vật
a. Biến thiên?
b. tăng lên?
c. giảm đi?
Lời giải:
- Khi lực tác dụng lên vật sinh công dương (A > 0) thì động năng của vật tăng lên (Wđ2 > Wđ1).
- Ngược lại khi lực tác dụng lên vật sinh công âm (A < 0) thì động năng của vật giảm đi (Wđ2 < Wđ1).
- Nói chung, khi lực sinh công thì động năng của vật biến thiên.
Bài 3 (trang 136 SGK Vật Lý 10) - Video giải tại 24:30 Câu nào sai trong các câu sau?
Động năng của vật không đổi khi vật:
A. Chuyển động thẳng đều
B. Chuyển động với gia tốc không đổi
C. Chuyển động tròn đều
D. Chuyển động cong đều
Lời giải:
Chọn B. chuyển động có gia tốc không đổi là chuyển động thẳng biến đổi đều, vận tốc biến đổi tức động năng cũng biến đổi.
Bài 4 (trang 136 SGK Vật Lý 10) - Video giải tại 26:27 Động năng của một vật tăng khi:
A. Gia tốc của vật a >0
B. Vận tốc của vật v >0
C. Các lực tác dụng lên vật sinh công dương
D. Gia tốc của vật tăng
Chọn đáp án đúng
Lời giải:
Chọn C. Động năng của vật tăng khi các lực tác dụng lên vật sinh công dương.
Công của các lực tác dụng lên vật và độ biến thiên động năng của vật:
Với A12 là tổng công của tất cả các lực tác dụng lên vật
Động năng của vật tăng → A12 > 0 → lực tác dụng lên vật sinh công dương
Bài 5 (trang 136 SGK Vật Lý 10) - Video giải tại 27:59 Một vật trọng lượng 1,0 N có động năng 1,0 J. Lấy g = 10 m/s2 . Khi đó vận tốc của vật bằng bao nhiêu?
A. 0,45 m/s ; B. 1,0 m/s
C. 1,4 m/s ; D. 4,4 m/s
Lời giải:
Chọn D.
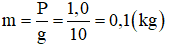
Khối lượng của vật là:
Vận tốc của vật là:
Bài 6 (trang 136 SGK Vật Lý 10) - Video giải tại 30:17 Một ô tô có khối lượng 1000 kg chuyển động với vận tốc 80 km/h. Động năng của ô tô có giá trị nào sau đây?
A. 2,52.104 J ; B. 2,47.105 J
C. 2,42.106 J ; D. 3,20.106 J
Lời giải:
Chọn B.
Ta có: v = 80 km/h = 200/9 m/s
Áp dụng công thức tính động năng
Bài 7 (trang 136 SGK Vật Lý 10) - Video giải tại 32:38 Tính động năng của một vận động viên có khối lượng 70 kg chạy đều hết quãng đường 400 m trong thời gian 45s.
Lời giải:
Động năng của vận động viên là:
Bài 8 (trang 136 SGK Vật Lý 10) - Video giải tại 34:38 Một vật khối lượng m = 2kg đang nằm yên trên một mặt phẳng ngang không ma sát. Dưới tác dụng cả lực nằm ngang 5N, vật chuyển động và đi được 10m. Tính vận tốc của vật ở cuối chuyển dời ấy.
Lời giải:
Gia tốc của vật thu được là:
Vận tốc của vật khi đi được 10m là v thỏa mãn:
Từ đó rút ra được:
Xem thêm các bài Giải bài tập Vật Lí 10 (có video) hay khác:
- Bài 26 : Thế năng
- Bài 27 : Cơ năng
- Bài 28 : Cấu tạo chất. Thuyết động học phân tử chất khí
- Bài 29 : Quá trình đẳng nhiệt. Định luật Bôi-lơ-Ma-ri-ốt
- Bài 30 : Quá trình đẳng tích. Định luật Sác-lơ
Để học tốt lớp 10 các môn học sách mới:
- Giải bài tập Lớp 10 Kết nối tri thức
- Giải bài tập Lớp 10 Chân trời sáng tạo
- Giải bài tập Lớp 10 Cánh diều
Tủ sách VIETJACK shopee lớp 10-11 (cả 3 bộ sách):
Đã có app VietJack trên điện thoại, giải bài tập SGK, SBT Soạn văn, Văn mẫu, Thi online, Bài giảng....miễn phí. Tải ngay ứng dụng trên Android và iOS.
Theo dõi chúng tôi miễn phí trên mạng xã hội facebook và youtube:Nếu thấy hay, hãy động viên và chia sẻ nhé! Các bình luận không phù hợp với nội quy bình luận trang web sẽ bị cấm bình luận vĩnh viễn.
- Giải Tiếng Anh 10 Global Success
- Giải Tiếng Anh 10 Friends Global
- Giải sgk Tiếng Anh 10 iLearn Smart World
- Giải sgk Tiếng Anh 10 Explore New Worlds
- Lớp 10 - Kết nối tri thức
- Soạn văn 10 (hay nhất) - KNTT
- Soạn văn 10 (ngắn nhất) - KNTT
- Soạn văn 10 (siêu ngắn) - KNTT
- Giải sgk Toán 10 - KNTT
- Giải sgk Vật lí 10 - KNTT
- Giải sgk Hóa học 10 - KNTT
- Giải sgk Sinh học 10 - KNTT
- Giải sgk Địa lí 10 - KNTT
- Giải sgk Lịch sử 10 - KNTT
- Giải sgk Kinh tế và Pháp luật 10 - KNTT
- Giải sgk Tin học 10 - KNTT
- Giải sgk Công nghệ 10 - KNTT
- Giải sgk Hoạt động trải nghiệm 10 - KNTT
- Giải sgk Giáo dục quốc phòng 10 - KNTT
- Lớp 10 - Chân trời sáng tạo
- Soạn văn 10 (hay nhất) - CTST
- Soạn văn 10 (ngắn nhất) - CTST
- Soạn văn 10 (siêu ngắn) - CTST
- Giải Toán 10 - CTST
- Giải sgk Vật lí 10 - CTST
- Giải sgk Hóa học 10 - CTST
- Giải sgk Sinh học 10 - CTST
- Giải sgk Địa lí 10 - CTST
- Giải sgk Lịch sử 10 - CTST
- Giải sgk Kinh tế và Pháp luật 10 - CTST
- Giải sgk Hoạt động trải nghiệm 10 - CTST
- Lớp 10 - Cánh diều
- Soạn văn 10 (hay nhất) - Cánh diều
- Soạn văn 10 (ngắn nhất) - Cánh diều
- Soạn văn 10 (siêu ngắn) - Cánh diều
- Giải sgk Toán 10 - Cánh diều
- Giải sgk Vật lí 10 - Cánh diều
- Giải sgk Hóa học 10 - Cánh diều
- Giải sgk Sinh học 10 - Cánh diều
- Giải sgk Địa lí 10 - Cánh diều
- Giải sgk Lịch sử 10 - Cánh diều
- Giải sgk Kinh tế và Pháp luật 10 - Cánh diều
- Giải sgk Tin học 10 - Cánh diều
- Giải sgk Công nghệ 10 - Cánh diều
- Giải sgk Hoạt động trải nghiệm 10 - Cánh diều
- Giải sgk Giáo dục quốc phòng 10 - Cánh diều


Giải bài tập SGK & SBT
Tài liệu giáo viên
Sách
Khóa học
Thi online
Hỏi đáp

