Vật Lí 10 Bài 35 : Biến dạng cơ của vật rắn
Vật Lí 10 Bài 35 : Biến dạng cơ của vật rắn
Video Giải Vật Lí 10 Bài 35 : Biến dạng cơ của vật rắn - Thầy Lê Xuân Vượng (Giáo viên VietJack)
C1 ( trang 188 sgk Vật Lý 10) - Video giải tại 3.40 Nếu giữ chặt đầu A của thanh thép AB và tác dụng vào đầu B một lực nén đủ lớn để gây ra biến dạng thì độ dài l và tiết diện ngang S của thanh này thay đổi như thế nào?
Trả lời:
Thanh thép co lại, chiều dài giảm đi đồng thời tiết diện của thanh ở đoạn giữa tăng lên, thanh thép bị phình ra.
C2 ( trang 189 sgk Vật Lý 10) - Video giải tại 7.45 Dùng kìm kéo dãn một lò xo nhỏ(lấy trong ruột bút chì), rồi buông ra:
- Lần đầu kéo nhẹ để lò xo dãn ít;
- Lần sau kéo mạnh để lò xo dãn dài gấp khoảng 2-3 lần độ dài ban đầu.
Quan sát xem trường hợp nào lò xo biến dạng đàn hồi?
Trả lời:
Lần đầu kéo nhẹ, lò xo dãn ít rồi thả thì lò xo biến dạng đàn hồi.
Lần sau kéo mạnh, lò xo dãn nhiều, thả thì lò xo không còn đàn hồi.
C3 ( trang 189 sgk Vật Lý 10) - Video giải tại 11.17 Một thanh thép chịu tác dụng một lực F→ và bị biến dạng. Nếu tiết diện ngang S của thanh càng lớn thì mức độ biến dạng của thanh càng lớn hay càng nhỏ?
Trả lời:
Với lực tác dụng F→ không đổi, độ biến dạng của thanh thép càng nhỏ khi tiết diện của nó càng lớn và ngược lại.
C4 ( trang 190 sgk Vật Lý 10) - Video giải tại 23.19 Theo định luật III Niu-tơn, lực F→đh trong vật rắn phải có phương, chiều và độ lớn như thế nào so với lực F→ gây ra biến dạng của vật?
Trả lời:
Lực đàn hồi trong vật rắn phải cùng phương, cùng độ lớn với ngoại lực nhưng ngược chiều.
Bài 1 (trang 191 SGK Vật Lý 10) - Video giải tại 26.55 Biến dạng đàn hồi của vật rắn là gì? Viết công thức xác định ứng suất và nói rõ đơn vị của nó.
Lời giải:
Biến dạng đàn hồi của vật rắn là trong biến dạng vật rắn lấy lại được kích thước ban đầu.
Công thức xác định ứng suất:
. Đơn vị đo: paxcan (Pa) hoặc N/m2
Bài 2 (trang 191 SGK Vật Lý 10) - Video giải tại 28.19 Phát biểu và viết công thức của định luật Húc về biến dạng cơ của vật rắn.
Lời giải:
- Định luật Húc: Trong giới hạn đàn hồi, độ biến dạng tỉ đối của vật rắn (hình trụ đồng chất) tỉ lệ thuận với ứng suất ứng tác dụng vào vật đó.
- Công thức:
Bài 3 (trang 191 SGK Vật Lý 10) - Video giải tại 28.56 Từ định luật Húc về biến dạng cơ của vật rắn, hãy suy ra công thức của lực đàn hồi trong vật rắn.
Lời giải:
Trong giới hạn đàn hồi, độ biến dạng tỉ đối của vật rắn hình trụ tỉ lệ với ứng suất gây ra nó:
Có thể viết:
là hệ số tỉ lệ (E là suất đàn hồi đơn vị là Pa)
Suy ra:
(E là suất đàn hồi, đơn vị là Pa ; S: Diện tích tiết diện của vật rắn đồng chất, hình trụ. lo: Chiều dài ban đầu của vật).
Chú ý: Với
là hệ số đàn hồi hay độ cứng của thanh rắn, thì lực đàn hồi tính theo biểu thức:
Bài 4 (trang 192 SGK Vật Lý 10) - Video giải tại 30.52 Mức độ biến dạng của thanh rắn (bị kéo hoặc nén) phụ thuộc yếu tố nào dưới đây?
A. Độ lớn của lực tác dụng.
B. Độ dài ban đầu của thanh.
C. Tiết diện ngang của thanh.
D. Độ lớn của lực tác dụng và tiết diện ngang của thanh.
Lời giải:
Chọn D.
Bài 5 (trang 192 SGK Vật Lý 10) - Video giải tại 31.56 Trong giới hạn đàn hồi, độ biến dạng tỉ đối của thanh rắn tỉ lệ thuận với đại lượng nào dưới đây?
A. Tiết diện ngang của thanh
B. Ứng suất tác dụng vào thanh
C. Độ dài ban đầu của thanh
D. Cả ứng suất và độ dài ban đầu của thanh.
Lời giải:
Chọn B.
Trong giới hạn đàn hồi, độ biến dạng tỉ đối của vật rắn hình trụ tỉ lệ với ứng suất gây ra nó:
Bài 6 (trang 192 SGK Vật Lý 10) - Video giải tại 32.46 Độ cứng (hay hệ số đàn hồi) của vật rắn (hình trụ đồng chất) phụ thuộc những yếu tố nào dưới đây?
A. Chất liệu của vật rắn
B. Tiết diện của vật rắn
C. Độ dài ban đầu của vật rắn
D. Cả ba yếu tố trên.
Lời giải:
Chọn D.
là hệ số đàn hồi hay độ cứng của thanh rắn .
Trong đó:
E là suất đàn hồi, đơn vị là Pa;
S là diện tích tiết diện của vật rắn đồng chất, hình trụ.
lo là chiều dài ban đầu của vật
Bài 7 (trang 192 SGK Vật Lý 10) - Video giải tại 33.41 Một sợi dây thép đường kính 1,5 mm có độ dài ban đầu là 5,2 m. Tính hệ số đàn hồi của sợi dây thép, biết suất đàn hồi của thép là E = 2.1011 Pa.
Lời giải:
d = 1,5mm = 1,5.10-3m; l0 = 5,2m; E = 2.1011 Pa; Hệ số đàn hồi k = ?
Bài 8 (trang 192 SGK Vật Lý 10) - Video giải tại 36.34 Một thanh rắn đồng chất tiết diện đều có hệ số đàn hồi là 100 N/m, đầu trên gắn cố định và đầu dưới treo một vật nặng để thanh bị biến dạng đàn hồi. Biết gia tốc rơi tự do g = 10 m/s2. Muốn thanh rắn dài thêm 1 cm, vật nặng phải có khối lượng là bao nhiêu?
Lời giải:
k = 100 N/m
Δl = 1 cm = 0,01m
g = 10 m/s2
m = ?
Khi thanh rắn cân bằng ở trạng thái biến dạng, ta có:
Fđh = mg ⇔ k|Δl| = mg
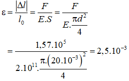
Bài 9 (trang 192 SGK Vật Lý 10) - Video giải tại 38.33 Một thanh thép tròn đường kính 20 mm có suất đàn hồi E = 2.1011 Pa. Giữ chặt một đầu thanh và nén đầu còn lại bằng một lực F = 1,57.105 N để thanh này biến dạng đàn hồi. Tính độ biến dạng tỉ đối của thanh.
Lời giải:
d = 20 mm = 20.10-3m
E = 2.1011 Pa
Fnén = 1,57.105 N
Ta có:
→ Độ biến dạng tỉ đối của thanh:
Xem thêm các bài Giải bài tập Vật Lí 10 (có video) hay khác:
- Bài 36 : Sự nở vì nhiệt của vật rắn
- Bài 37 : Các hiện tượng bề mặt của chất lỏng
- Bài 38 : Sự chuyển thể của các chất
- Bài 39 : Độ ẩm của không khí
- Bài 40 : Thực hành : Xác định hệ số căng bề mặt của chất lỏng
Để học tốt lớp 10 các môn học sách mới:
- Giải bài tập Lớp 10 Kết nối tri thức
- Giải bài tập Lớp 10 Chân trời sáng tạo
- Giải bài tập Lớp 10 Cánh diều
Tủ sách VIETJACK shopee lớp 10-11 (cả 3 bộ sách):
Đã có app VietJack trên điện thoại, giải bài tập SGK, SBT Soạn văn, Văn mẫu, Thi online, Bài giảng....miễn phí. Tải ngay ứng dụng trên Android và iOS.
Theo dõi chúng tôi miễn phí trên mạng xã hội facebook và youtube:Nếu thấy hay, hãy động viên và chia sẻ nhé! Các bình luận không phù hợp với nội quy bình luận trang web sẽ bị cấm bình luận vĩnh viễn.
- Giải Tiếng Anh 10 Global Success
- Giải Tiếng Anh 10 Friends Global
- Giải sgk Tiếng Anh 10 iLearn Smart World
- Giải sgk Tiếng Anh 10 Explore New Worlds
- Lớp 10 - Kết nối tri thức
- Soạn văn 10 (hay nhất) - KNTT
- Soạn văn 10 (ngắn nhất) - KNTT
- Soạn văn 10 (siêu ngắn) - KNTT
- Giải sgk Toán 10 - KNTT
- Giải sgk Vật lí 10 - KNTT
- Giải sgk Hóa học 10 - KNTT
- Giải sgk Sinh học 10 - KNTT
- Giải sgk Địa lí 10 - KNTT
- Giải sgk Lịch sử 10 - KNTT
- Giải sgk Kinh tế và Pháp luật 10 - KNTT
- Giải sgk Tin học 10 - KNTT
- Giải sgk Công nghệ 10 - KNTT
- Giải sgk Hoạt động trải nghiệm 10 - KNTT
- Giải sgk Giáo dục quốc phòng 10 - KNTT
- Lớp 10 - Chân trời sáng tạo
- Soạn văn 10 (hay nhất) - CTST
- Soạn văn 10 (ngắn nhất) - CTST
- Soạn văn 10 (siêu ngắn) - CTST
- Giải Toán 10 - CTST
- Giải sgk Vật lí 10 - CTST
- Giải sgk Hóa học 10 - CTST
- Giải sgk Sinh học 10 - CTST
- Giải sgk Địa lí 10 - CTST
- Giải sgk Lịch sử 10 - CTST
- Giải sgk Kinh tế và Pháp luật 10 - CTST
- Giải sgk Hoạt động trải nghiệm 10 - CTST
- Lớp 10 - Cánh diều
- Soạn văn 10 (hay nhất) - Cánh diều
- Soạn văn 10 (ngắn nhất) - Cánh diều
- Soạn văn 10 (siêu ngắn) - Cánh diều
- Giải sgk Toán 10 - Cánh diều
- Giải sgk Vật lí 10 - Cánh diều
- Giải sgk Hóa học 10 - Cánh diều
- Giải sgk Sinh học 10 - Cánh diều
- Giải sgk Địa lí 10 - Cánh diều
- Giải sgk Lịch sử 10 - Cánh diều
- Giải sgk Kinh tế và Pháp luật 10 - Cánh diều
- Giải sgk Tin học 10 - Cánh diều
- Giải sgk Công nghệ 10 - Cánh diều
- Giải sgk Hoạt động trải nghiệm 10 - Cánh diều
- Giải sgk Giáo dục quốc phòng 10 - Cánh diều


Giải bài tập SGK & SBT
Tài liệu giáo viên
Sách
Khóa học
Thi online
Hỏi đáp

