Giải Vật Lí 11 Bài 25 (sách mới) | Kết nối tri thức
Với lời giải Vật Lí 11 Bài 25 sách mới Kết nối tri thức hay chi tiết giúp học sinh lớp 11 dễ dàng làm bài tập Vật Lí 11 Bài 25.
Giải Vật Lí 11 Bài 25 (sách mới) | Kết nối tri thức
Giải Vật Lí 11 Bài 25 Kết nối tri thức
Lưu trữ: Giải Vật Lí 11 Bài 25 (sách cũ)
Video Giải Vật Lí 11 Bài 25: Tự cảm - Thầy Lê Xuân Vượng (Giáo viên VietJack)
C1 trang 153 SGK: Hãy thiết lập công thức :
Trả lời:
Xét cuộn dây có chiều dài l, tiết diện S, được quấn N vòng dây.
Khi có dòng điện i chạy qua cuộn dây, trong lòng cuộn dây xuất hiện từ trường B
Từ trường này gây ra từ thông xuyên qua ống dây.
Từ thông này chính là từ thông riêng của cuộn dây nên: Φ = L.i (2)
với L là độ tự cảm của cuộn dây.
Từ (1) và (2) suy ra độ tự cảm của cuộn dây:
C2 trang 155 SGK: Trong mạch điện vẽ trên hình 25.4 SGK, khóa K đang đóng ở vị trí a. Nếu chuyển K sang vị trí b thì điện trở R nóng nên. Hãy giải thích.
Trả lời:
- Khi K ở chốt a), không có dòng điện qua R.
- Khi ngắt K khỏi chốt a), cường độ dòng điện qua ống dây giảm đột ngột về 0, khi đó trong ống dây xảy ra hiện tượng tự cảm. Suất điện động cảm ứng xuất hiện có tác dụng chống lại nguyên nhân sinh ra nó,tức là chống lại sự giảm cường độ dòng điện qua L. Trong ống dây xuất hiện dòng điện cảm ứng cùng chiều với iL ban đầu.
- Khi đó chuyển khóa K sang chốt b, dòng điện cảm ứng này chạy qua R làm điện trở R nóng lên.
C3 trang 156 SGK: Chứng tỏ rằng hai vế của phương trình sau có cùng đơn vị là Jun (J)
Trả lời:
Theo công thức suất điện động tự cảm:
→ Độ tự cảm L có đơn vị là: (V.s)/A
Do đó đơn vị của (Li2)/2 là:
Đơn vị [A.s] là đơn vị của điện lượng (q) ⇒ [V.(A.s)] = [V.C]
[V.C] là đơn vị của công nên [V.C] = J.
Vậy hai vế của biểu thức có cùng đơn vị là Jun (J)
Bài 1 (trang 157 SGK Vật Lý 11): Trong những trường hợp nào có hiện tượng tự cảm?
Lời giải:
Khi trong mạch điện có cường độ dòng điện biến thiên thì trong mạch sẽ có hiện tượng tự cảm :
- Trong mạch điện một chiều, hiện tượng tự cảm xảy ra khi đóng mạch hay mở mạch.
- Trong mạch điện xoay chiều, luôn xảy ra hiện tượng tự cảm.
Bài 2 (trang 157 SGK Vật Lý 11): Phát biểu định nghiã từ thông riêng, độ tự cảm của một mạch kín.
Lời giải:
- Một mạch kín (C) có dòng điện i. Dòng điện i gây ra một từ trường, từ trương này gây ra một từ thông Φ qua (C) gọi là từ thông riêng của mạch. Φ = Li.
- Độ tự cảm L của một mạch kín là một đại lượng chỉ phụ thuộc vào cấu tạo và kích thước của mạch kín.
- Một ống dây điện chiều dài l, tiết diện S, gồm N vòng dây, có cường độ i,chạy qua, độ tự cảm của ống dây:
- Độ tự cảm của ống dây có nõi sắt:
μ : độ từ thẩm , đặc trưng cho từ tính của nõi sắt.
Bài 3 (trang 157 SGK Vật Lý 11): Độ lớn của suất điện động tự cảm phụ thuộc vào những đại lượng nào?
Lời giải:
Độ lớn của suất điện động tự cảm phụ thuộc vào độ tự cảm của ống dây (L) và tốc độ biến thiên cường độ dòng điện qua ống dây Δi/Δt.
Bài 4 (trang 157 SGK Vật Lý 11): Chọn câu đúng
Một ống dây có độ tự cảm L, ống dây thứ hai có số vòng dây tăng gấp đôi và diện tích mỗi vòng dây giảm một nửa so với ống dây thứ nhất. Nếu hai ống dây có chiều dài như nhau thì độ tự cảm của ống dây thứ hai là:
A. L.
B. 2L.
C. L/2.
D. 4L.
Lời giải:
Ta có độ tự cảm trong ống dây thứ nhất :
Độ tự cảm của ống dây thứ hai:
Đáp án: B
Bài 5 (trang 157 SGK Vật Lý 11): Phát biều nào dưới đây là sai?
Suất điện động tự cảm có giá trị lớn khi.
A.dòng điện tăng nhanh.
B.dòng điện giảm nhanh.
C.dòng điện có giá trị lớn.
D.dòng điện biến thiên nhanh.
Lời giải:
Vì suất điện động tự cảm phụ thuộc vào tốc độ biến thiên cường độ dòng điện, mà không phụ thuộc vào giá trị độ lớn của cường độ dòng điện.
Đáp án: C
Bài 6 (trang 157 SGK Vật Lý 11): Tính độ tự cảm của một ống dây hình trụ có chiều dài 0,5m gồm 1000 vòng dây, mỗi vòng dây có đường kính 20 cm.
Lời giải:
Độ tự cảm của ống dây:
Đáp án: L=0,08 (H)
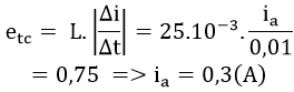
Bài 7 (trang 157 SGK Vật Lý 11): Suất điện động tự cảm 0,75V xuất hiện trong một cuộn cảm có L=25mH; tại đó cường độ dòng điện giảm từ giá trị ia xuống 0 trong 0,01s. Tính ia
Lời giải:
Ta có độ lớn suất điện động tự cảm trong cuộn dây.
Đáp án: ia=0,3A
Bài 8 (trang 11 SGK Vật Lý 11): Trong mạch điện hình 25.5, cuộn cảm L có điện trở bằng không. Dòng điện qua L bằng 1,2A; độ tự cảm L = 0,2H. Chuyển K sang vị trí b, tính nhiệt lượng tỏa ra trong R.
Tóm tắt
I = 1,2A; L = 0,2H
K chuyển sang b, tìm QR = ?
Lời giải:
Khi dòng điện qua cuộn cảm, trong cuộn cảm tích lũy năng lượng:
Khi chuyển khóa K từ vị trí a sang vị trí b thì cường độ dòng điện trong cuộn cảm giảm, xảy ra hiện tượng tự cảm.
Năng lượng từ trường trong ống dây, chuyển sang cho điện trở R dưới dạng nhiệt năng, làm điện trở nóng lên.
Nhiệt lượng tỏa ra trên R: QR = W = 0,144J
Xem thêm các bài Giải bài tập Vật Lí 11 (có video) hay khác:
Tủ sách VIETJACK shopee lớp 10-11 (cả 3 bộ sách):
Đã có app VietJack trên điện thoại, giải bài tập SGK, SBT Soạn văn, Văn mẫu, Thi online, Bài giảng....miễn phí. Tải ngay ứng dụng trên Android và iOS.
Theo dõi chúng tôi miễn phí trên mạng xã hội facebook và youtube:Nếu thấy hay, hãy động viên và chia sẻ nhé! Các bình luận không phù hợp với nội quy bình luận trang web sẽ bị cấm bình luận vĩnh viễn.
- Giải Tiếng Anh 11 Global Success
- Giải sgk Tiếng Anh 11 Smart World
- Giải sgk Tiếng Anh 11 Friends Global
- Lớp 11 - Kết nối tri thức
- Soạn văn 11 (hay nhất) - KNTT
- Soạn văn 11 (ngắn nhất) - KNTT
- Giải sgk Toán 11 - KNTT
- Giải sgk Vật Lí 11 - KNTT
- Giải sgk Hóa học 11 - KNTT
- Giải sgk Sinh học 11 - KNTT
- Giải sgk Lịch Sử 11 - KNTT
- Giải sgk Địa Lí 11 - KNTT
- Giải sgk Giáo dục KTPL 11 - KNTT
- Giải sgk Tin học 11 - KNTT
- Giải sgk Công nghệ 11 - KNTT
- Giải sgk Hoạt động trải nghiệm 11 - KNTT
- Giải sgk Giáo dục quốc phòng 11 - KNTT
- Giải sgk Âm nhạc 11 - KNTT
- Lớp 11 - Chân trời sáng tạo
- Soạn văn 11 (hay nhất) - CTST
- Soạn văn 11 (ngắn nhất) - CTST
- Giải sgk Toán 11 - CTST
- Giải sgk Vật Lí 11 - CTST
- Giải sgk Hóa học 11 - CTST
- Giải sgk Sinh học 11 - CTST
- Giải sgk Lịch Sử 11 - CTST
- Giải sgk Địa Lí 11 - CTST
- Giải sgk Giáo dục KTPL 11 - CTST
- Giải sgk Hoạt động trải nghiệm 11 - CTST
- Giải sgk Âm nhạc 11 - CTST
- Lớp 11 - Cánh diều
- Soạn văn 11 Cánh diều (hay nhất)
- Soạn văn 11 Cánh diều (ngắn nhất)
- Giải sgk Toán 11 - Cánh diều
- Giải sgk Vật Lí 11 - Cánh diều
- Giải sgk Hóa học 11 - Cánh diều
- Giải sgk Sinh học 11 - Cánh diều
- Giải sgk Lịch Sử 11 - Cánh diều
- Giải sgk Địa Lí 11 - Cánh diều
- Giải sgk Giáo dục KTPL 11 - Cánh diều
- Giải sgk Tin học 11 - Cánh diều
- Giải sgk Công nghệ 11 - Cánh diều
- Giải sgk Hoạt động trải nghiệm 11 - Cánh diều
- Giải sgk Giáo dục quốc phòng 11 - Cánh diều
- Giải sgk Âm nhạc 11 - Cánh diều


Giải bài tập SGK & SBT
Tài liệu giáo viên
Sách
Khóa học
Thi online
Hỏi đáp

