Vật Lí 9 Bài 11: Bài tập vận dụng định luật Ôm và công thức tính điện trở của dây dẫn
Giải sgk Vật Lí 9 Bài 11: Bài tập vận dụng định luật Ôm và công thức tính điện trở của dây dẫn
Video Giải bài tập Vật Lí 9 Bài 11: Bài tập vận dụng định luật Ôm và công thức tính điện trở của dây dẫn - Thầy Đặng Tài Quang (Giáo viên VietJack)
Bài 1 trang 32 SGK Vật Lý 9 (Video giải tại ): Một dây dẫn bằng nicrom dài 30m, tiết diện 0,3mm2 được mắc vào hiệu điện thế 220V. Tính cường độ dòng điện chạy qua dây dẫn này.
Tóm tắt:
Dây nicrom có ρ = 1,1.10-6Ω.m; l = 30m; S = 0,3mm2 = 0,3.10-6m2; U = 220V;
I = ?
Lời giải:
Bài 2 trang 32 SGK Vật Lý 9 (Video giải tại ): Một bóng đèn khi sáng hơn bình thường có điện trở R1 = 7,5Ω và cường độ dòng điện chạy qua đèn khi đó là I = 0,6 A. Bóng đèn này được mắc nối tiếp với một biến trở và chúng được mắc vào hiệu điện thế U = 12V như sơ đồ hình 11.1
a) Phải điều chỉnh biến trở có trị số điện trở R2 là bao nhiêu để bóng đèn sáng bình thường?
b)Biến trở này có điện trở lớn nhất là Rb = 30Ω với cuộn dây dẫn được làm bằng hợp kim nikelin có tiết diện S = 1mm2. Tính chiều dài l của dây dẫn dùng làm biến trở này.
Tóm tắt:
RĐ = R1 = 7,5Ω và IĐ đm = I = 0,6A; đèn nối tiếp biến trở; U = 12V
a) Để đèn sáng bình thường, Rb = R2 = ?
b) Rb max = 30Ω, dây nikelin ρ = 0,4.10-6Ω.m, S = 1mm2 = 1.10-6m2, l = ?
Lời giải:
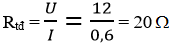
a) Cách giải 1: Để bóng đèn sáng bình thường thì cường độ dòng điện qua mạch phải đúng là 0,6 A. Khi ấy điện trở tương đương của mạch là:
Theo sơ đồ hình 11.1 thì Rtđ = R1 + R2
Từ đó tính được R2 = Rtđ - R1 = 20 - 7,5 = 12,5Ω
Cách giải 2
Vì đèn và biến trở ghép nối tiếp nên để đèn sáng bình thường thì Ib = IĐ = IĐ đm = 0,6A và UĐ = UĐ đm = IĐ đm . R1 = 0,6.7,5 = 4,5V
Mặt khác UĐ + Ub = U = 12V → Ub = 12 – UĐ = 12 – 4,5 = 7,5V
Giá trị của biến trở khi này là:
b) Từ công thức
suy ra
Bài 3 trang 33 SGK Vật Lý 9 (Video giải tại ): Một bóng đèn có điện trở R1 = 600Ω được mắc song song với bóng đèn thứ hai có điện trở R2 = 900Ω vào hiệu điện thế UMN = 220V như sơ đồ hình 11.2. Dây nối từ M tới A và từ N tới B là dây đồng, có chiều dài tổng cộng là l = 200m và có tiết diện S = 0,2mm2 . Bỏ qua điện trở của dây nối từ hai bóng đèn tới A và B.
a) Tính điện trở của đoạn mạch MN.
b) Tính hiệu điện thế dặt vào hai đầu của mỗi đèn.
Tóm tắt:
Đèn 1: R1 = 600Ω; Đèn 2: R2 = 900Ω; UMN = 220V; dây đồng ρ = 1,7.10-8Ω.m và lMA + lNB = l = 200m; S = 0,2mm2 = 0,2.10-6m2
a) RMN = ?
b) UĐ1 = ?; UĐ2 = ?
Lời giải:
a) Điện trở của dây nối từ M tới A và từ N tới B là
Điện trở tương đương của R1 và R2 mắc song song là:
Điện trở của đoạn mạch MN là RMN = Rdây nối + R12 = 17 + 360 = 377Ω
b) Cách 1: Cường độ dòng điện mạch chính khi đó là:
Hiệu điện thế đặt vào hai đầu mỗi đèn là
U = Imạch chính.R12 = 0,583.360 = 210V
Cách 2: Vì dây nối từ M tới A và từ N tới B coi như một điện trở tổng cộng bên ngoài Rd mắc nối tiếp với cụm hai đèn (R1//R2) nên ta có hệ thức:
(U12 là hiệu điện thế hai đầu mỗi đèn: U12 = UĐ1 = UĐ2)
Mà Ud + U12 = UMN = 220V
Vậy hiệu điện thế đặt vào hai đầu của mỗi đèn là UĐ1 = UĐ2 = 210V
Xem thêm các bài Giải bài tập Vật Lí 9 (có video) hay khác:
- Bài 10: Biến trở - Điện trở dùng trong kĩ thuật
- Bài 12: Công suất điện
- Bài 13: Điện năng - Công của dòng điện
- Bài 14: Bài tập về công suất điện và điện năng sử dụng
- Bài 15: Thực hành: Xác định công suất của các dụng cụ điện
Tủ sách VIETJACK luyện thi vào 10 cho 2k11 (2026):
Đã có app VietJack trên điện thoại, giải bài tập SGK, SBT Soạn văn, Văn mẫu, Thi online, Bài giảng....miễn phí. Tải ngay ứng dụng trên Android và iOS.
Theo dõi chúng tôi miễn phí trên mạng xã hội facebook và youtube:Loạt bài Video Giải bài tập Vật Lí 9 chi tiết của chúng tôi được các Thầy/Cô biên soạn công phu bám sát nội dung sgk Vật Lí lớp 9.
Nếu thấy hay, hãy động viên và chia sẻ nhé! Các bình luận không phù hợp với nội quy bình luận trang web sẽ bị cấm bình luận vĩnh viễn.
- Giải Tiếng Anh 9 Global Success
- Giải sgk Tiếng Anh 9 Smart World
- Giải sgk Tiếng Anh 9 Friends plus
- Lớp 9 Kết nối tri thức
- Soạn văn 9 (hay nhất) - KNTT
- Soạn văn 9 (ngắn nhất) - KNTT
- Giải sgk Toán 9 - KNTT
- Giải sgk Khoa học tự nhiên 9 - KNTT
- Giải sgk Lịch Sử 9 - KNTT
- Giải sgk Địa Lí 9 - KNTT
- Giải sgk Giáo dục công dân 9 - KNTT
- Giải sgk Tin học 9 - KNTT
- Giải sgk Công nghệ 9 - KNTT
- Giải sgk Hoạt động trải nghiệm 9 - KNTT
- Giải sgk Âm nhạc 9 - KNTT
- Giải sgk Mĩ thuật 9 - KNTT
- Lớp 9 Chân trời sáng tạo
- Soạn văn 9 (hay nhất) - CTST
- Soạn văn 9 (ngắn nhất) - CTST
- Giải sgk Toán 9 - CTST
- Giải sgk Khoa học tự nhiên 9 - CTST
- Giải sgk Lịch Sử 9 - CTST
- Giải sgk Địa Lí 9 - CTST
- Giải sgk Giáo dục công dân 9 - CTST
- Giải sgk Tin học 9 - CTST
- Giải sgk Công nghệ 9 - CTST
- Giải sgk Hoạt động trải nghiệm 9 - CTST
- Giải sgk Âm nhạc 9 - CTST
- Giải sgk Mĩ thuật 9 - CTST
- Lớp 9 Cánh diều
- Soạn văn 9 Cánh diều (hay nhất)
- Soạn văn 9 Cánh diều (ngắn nhất)
- Giải sgk Toán 9 - Cánh diều
- Giải sgk Khoa học tự nhiên 9 - Cánh diều
- Giải sgk Lịch Sử 9 - Cánh diều
- Giải sgk Địa Lí 9 - Cánh diều
- Giải sgk Giáo dục công dân 9 - Cánh diều
- Giải sgk Tin học 9 - Cánh diều
- Giải sgk Công nghệ 9 - Cánh diều
- Giải sgk Hoạt động trải nghiệm 9 - Cánh diều
- Giải sgk Âm nhạc 9 - Cánh diều
- Giải sgk Mĩ thuật 9 - Cánh diều


Giải bài tập SGK & SBT
Tài liệu giáo viên
Sách
Khóa học
Thi online
Hỏi đáp

