Vật Lí 9 Bài 45: Ảnh của một vật tạo bởi thấu kính phân kì
Giải sgk Vật Lí 9 Bài 45: Ảnh của một vật tạo bởi thấu kính phân kì
Video Giải bài tập Vật Lí 9 Bài 45: Ảnh của một vật tạo bởi thấu kính phân kì - Thầy Đặng Tài Quang (Giáo viên VietJack)
Bài C1 trang 122 SGK Vật Lý 9 (Video giải tại 0:48): Hãy làm thí nghiệm để chứng tỏ rằng không thể hứng được ảnh của vật trên màn với mọi vị trí của vật.
Lời giải:
+ Đặt vật ở một vị trí bất kì trước thấu kính phân kì.
+ Đặt màn hứng ở trước thấu kính. Từ từ đưa màn ra xa thấu kính và quan sát xem có ảnh trên màn hay không.
+ Thay đổi vị trí của vật và cũng làm tương tự, ta vẫn được kết quả là không có vị trí nào của vật để thu được ảnh trên màn quan sát.
Bài C2 trang 122 SGK Vật Lý 9 (Video giải tại 2:46): Làm thế nào để quan sát được ảnh của vật tạo bởi thấu kính phân kì? Ảnh đó là ảnh thật hay ảnh ảo? Cùng chiều hay ngược chiều với vật?
Lời giải:
+ Muốn quan sát được ảnh của một vật tạo bởi thấu kính phân kì, ta đặt mắt trên đường truyền của chùm tia ló.
+ Ảnh của một vật tạo bởi thấu kính phân kì là ảnh ảo, cùng chiều với vật và nhỏ hơn vật
Bài C3 trang 122 SGK Vật Lý 9 (Video giải tại 4:42): Dựa vào kiến thức đã học ở bài trước, hãy nêu cách dựng ảnh của vật AB qua thấu kính phân kì, biết AB vuông góc với trục chính, A nằm trên trục chính.
Lời giải:
Muốn dựng ảnh của một vật AB qua thấu kính phân kì khi AB vuông góc với trục chính, A nằm trên trục chính, ta làm như sau:
Dùng hai trong ba tia sáng đã học để dựng ảnh B’ của điểm B.
+ Tia BI đi song song với trục chính nên cho tia ló có đường kéo dài đi qua F
+ Tia tới BO là tia đi quang tâm O nên cho tia ló đi thẳng
+ Hai tia ló trên có đường kéo dài giao nhau tại B’, ta thu được ảnh ảo B’ của B qua thấu kính.
+ Từ B’ hạ vuông góc với trục của thấu kính, cắt trục chính tại điểm A’. A’ là ảnh của điểm A. A’B’ là ảnh ảo của AB tạo bởi thấu kính phân kỳ.
Nhận xét: Khi tịnh tiến AB luôn vuông góc với trục chính thì tại mọi vị trí, tia BI là không đổi, cho tia ló IK cũng không đổi. Do đó tia BO luôn cắt IK kéo dài tại B’ nằm trên đoạn FI. Chính vì vậy A’B’ luôn ở trong khoảng tiêu cự, cùng chiều và nhỏ hơn AB.
Bài C4 trang 122 SGK Vật Lý 9 (Video giải tại 8:35): Trên hình 45.2 cho biết vật AB được đặt vuông góc với trục chính của thấu kính phân kì có tiêu cự f = 12cm. Điểm A nằm trên trục chính và cách quang tâm O một khoảng OA = 24cm.
+ Hãy dưng ảnh A'B' của vật AB tạo bởi thấu kính đã cho
+ Dựa vào hình vẽ, hãy lập luận để chứng tỏ rằng ảnh này luôn nằm trong khoảng tiêu cự của thấu kính.
Lời giải:
** Muốn dựng ảnh của một vật AB qua thấu kính phân kì khi AB vuông góc với trục chính, A nằm trên trục chính, ta làm như sau:
Dùng hai trong ba tia sáng đã học để dựng ảnh B’ của điểm B.
+ Tia BI đi song song với trục chính nên cho tia ló có đường kéo dài đi qua F
+ Tia tới BO là tia đi quang tâm O nên cho tia ló đi thẳng
+ Hai tia ló trên có đường kéo dài giao nhau tại B’, ta thu được ảnh ảo B’ của B qua thấu kính.
+ Từ B’ hạ vuông góc với trục của thấu kính, cắt trục chính tại điểm A’. A’ là ảnh của điểm A. A’B’ là ảnh ảo của AB tạo bởi thấu kính phân kỳ. (Hình 45.2a)
** Ta dựa vào tia đi song song trục chính và tia đi qua quang tâm để dựng ảnh A'B' của AB. Khi tịnh tiến AB luôn vuông góc với trục chính thì tại mọi vị trí, tia BI luôn không đổi, cho tia ló IK cũng không đổi. Do đó tia BO luôn cắt tia IK kéo dài tại B' nằm trong đoạn FI → Hình chiếu A’ của B’ lên trục chính nằm trong đoạn OF. Chính vì vậy, ảnh A'B' luôn nằm trong khoảng tiêu cự của thấu kính.
Bài C5 trang 123 SGK Vật Lý 9 (Video giải tại 16:27): Đặt vật AB trước một thấu kính có tiêu cự f = 12cm. Vật AB cách thấu kính 1 khoảng d = 8cm, A nằm trên trục chính. Hãy dựng ảnh A'B' của AB. Dựa vào hình vẽ để nêu nhận xét về độ lớn của ảnh so với vật trong 2 trường hợp:
- Thấu kính là hội tụ.
- Thấu kính là phân kì.
Lời giải:
Đặt vật AB trong khoảng tiêu cự.
+ Ảnh của vật AB tạo bởi thấu kính hội tụ lớn hơn vật (H.45.3a).
+ Ảnh của vật AB tạo bởi thấu kính phân kì nhỏ hơn vật (H.45.3).
Bài C6 trang 123 SGK Vật Lý 9 (Video giải tại 21:45): Từ bài toán trên, hãy cho biết ảnh ảo của một vật tạo bởi thấu kính hội tụ và thấu kính phân kì có đặc điểm gì giống nhau, khác nhau. Từ đó hãy nêu cách nhận biết nhanh chóng một thấu kính là hội tụ hay phân kì.
Lời giải:
*) So sánh ảnh ảo của một vật tạo bởi thấu kính hội tụ và thấu kính phân kì:
- Giống nhau: Cùng chiều với vật.
- Khác nhau:
+ Đối với thấu kính hội tụ thì ảnh lớn hơn vật và ở xa thấu kính hơn vật.
+ Đốì với thâu kính phân kì thì ảnh nhỏ hơn vật và ở gần thấu kính hơn vật.
*) Cách nhận biết nhanh chóng một thấu kính hội tụ hay phân kì: Đưa thấu kính lại gần dòng chữ trên trang sách. Nếu nhìn qua thấu kính thấy hình ảnh dòng chữ cùng chiều, to hơn so với khi nhìn trực tiếp thì đó là thấu kính hội tụ. Ngược lại, nếu nhìn thấy hình ảnh dòng chữ cùng chiều, nhỏ hơn so với nhìn trực tiếp thì đó là thẩu kính phân kì.
Bài C7 trang 123 SGK Vật Lý 9 (Video giải tại 25:54): Vận dụng kiến thức hình học, tính khoảng cách từ ảnh đến thấu kính và chiều cao của ảnh trong hai trường hợp ở C5 khi vật có chiều cao h = 6mm.
Lời giải:
Ta đặt: OA = d; OA’ = d’; OF = OF’ = f
- Thấu kính là hội tụ.
Trên hình 45.3a, xét hai cặp tam giác đồng dạng:
ΔA’B’F’ và ΔOIF’; ΔOAB và ΔOA’B’.
Từ hệ thức đồng dạng ta có:
Vì AB = OI (tứ giác BIOA là hình chữ nhật)
↔ dd' + df = d'f (2)
Chia cả hai vế của (2) cho tích d.d’.f ta được:
(đây được gọi là công thức thấu kính cho trường hợp ảnh ảo)
Thay d = 8cm, f = 12cm ta tính được: OA’ = d’ = 24cm
Thay vào (*) ta được:
+ Thấu kính là phân kỳ.
Trên hình 45.3b, xét hai cặp tam giác đồng dạng:
ΔA’B’F và ΔOIF; ΔOAB và ΔOA’B’.
Từ hệ thức đồng dạng ta có:
Vì AB = OI (tứ giác BIOA là hình chữ nhật)
↔ df' – dd' = d'f (2)
Chia cả hai vế của (2) cho tích d.d’.f ta được:
(đây được gọi là công thức thấu kính phân kỳ)
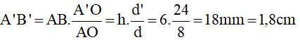
Thay d = 8cm, f = 12cm ta tính được: OA’ = d’ = 4,8cm
Thay vào (**) ta được: = 3,6mm = 0,36cm
Bài C8 trang 123 SGK Vật Lý 9 (Video giải tại 43:24): Hãy trả lời câu hỏi nêu ra ở phần mở bài.
Lời giải:
Bạn Đông bị cận thị nặng. Nếu Đông bỏ kính ra, ta nhìn thây mắt bạn to hơn khi nhìn thấy mắt bạn đang đeo kính, vì kính của bạn là thấu kính phân kì. Khi ta nhìn mắt bạn qua thấu kính phân kì, ta đã nhìn thấy ảnh ảo của mắt, nhỏ hơn mắt khi không đeo kính.
Xem thêm các bài Giải bài tập Vật Lí 9 (có video) hay khác:
- Bài 44: Thấu kính phân kì
- Bài 46: Thực hành : Đo tiêu cự của thấu kính hội tụ
- Bài 47: Sự tạo ảnh trong máy ảnh
- Bài 48: Mắt
- Bài 49: Mắt cận và mắt lão
Tủ sách VIETJACK luyện thi vào 10 cho 2k11 (2026):
Đã có app VietJack trên điện thoại, giải bài tập SGK, SBT Soạn văn, Văn mẫu, Thi online, Bài giảng....miễn phí. Tải ngay ứng dụng trên Android và iOS.
Theo dõi chúng tôi miễn phí trên mạng xã hội facebook và youtube:Loạt bài Video Giải bài tập Vật Lí 9 chi tiết của chúng tôi được các Thầy/Cô biên soạn công phu bám sát nội dung sgk Vật Lí lớp 9.
Nếu thấy hay, hãy động viên và chia sẻ nhé! Các bình luận không phù hợp với nội quy bình luận trang web sẽ bị cấm bình luận vĩnh viễn.
- Giải Tiếng Anh 9 Global Success
- Giải sgk Tiếng Anh 9 Smart World
- Giải sgk Tiếng Anh 9 Friends plus
- Lớp 9 Kết nối tri thức
- Soạn văn 9 (hay nhất) - KNTT
- Soạn văn 9 (ngắn nhất) - KNTT
- Giải sgk Toán 9 - KNTT
- Giải sgk Khoa học tự nhiên 9 - KNTT
- Giải sgk Lịch Sử 9 - KNTT
- Giải sgk Địa Lí 9 - KNTT
- Giải sgk Giáo dục công dân 9 - KNTT
- Giải sgk Tin học 9 - KNTT
- Giải sgk Công nghệ 9 - KNTT
- Giải sgk Hoạt động trải nghiệm 9 - KNTT
- Giải sgk Âm nhạc 9 - KNTT
- Giải sgk Mĩ thuật 9 - KNTT
- Lớp 9 Chân trời sáng tạo
- Soạn văn 9 (hay nhất) - CTST
- Soạn văn 9 (ngắn nhất) - CTST
- Giải sgk Toán 9 - CTST
- Giải sgk Khoa học tự nhiên 9 - CTST
- Giải sgk Lịch Sử 9 - CTST
- Giải sgk Địa Lí 9 - CTST
- Giải sgk Giáo dục công dân 9 - CTST
- Giải sgk Tin học 9 - CTST
- Giải sgk Công nghệ 9 - CTST
- Giải sgk Hoạt động trải nghiệm 9 - CTST
- Giải sgk Âm nhạc 9 - CTST
- Giải sgk Mĩ thuật 9 - CTST
- Lớp 9 Cánh diều
- Soạn văn 9 Cánh diều (hay nhất)
- Soạn văn 9 Cánh diều (ngắn nhất)
- Giải sgk Toán 9 - Cánh diều
- Giải sgk Khoa học tự nhiên 9 - Cánh diều
- Giải sgk Lịch Sử 9 - Cánh diều
- Giải sgk Địa Lí 9 - Cánh diều
- Giải sgk Giáo dục công dân 9 - Cánh diều
- Giải sgk Tin học 9 - Cánh diều
- Giải sgk Công nghệ 9 - Cánh diều
- Giải sgk Hoạt động trải nghiệm 9 - Cánh diều
- Giải sgk Âm nhạc 9 - Cánh diều
- Giải sgk Mĩ thuật 9 - Cánh diều


Giải bài tập SGK & SBT
Tài liệu giáo viên
Sách
Khóa học
Thi online
Hỏi đáp

