Giải Vật Lí 10 Bài 40 : Thực hành : Xác định hệ số căng bề mặt của chất lỏng
Bài 40 : Thực hành : Xác định hệ số căng bề mặt của chất lỏng
Video Giải Vật Lí 10 Bài 40 : Thực hành : Xác định hệ số căng bề mặt của chất lỏng - Thầy Lê Xuân Vượng (Giáo viên VietJack)
I - MỤC ĐÍCH
- Khảo sát hiện tượng căng bề mặt của chất lỏng.
- Xác định hệ số căng bề mặt của nước.
II - DỤNG CỤ THÍ NGHIỆM
1. Lực kế 0,1N có độ chia nhỏ nhất 0,001N.
2. Vòng kim loại (nhôm) có dây treo.
3. Hai cốc nhựa A, B đựng nước, nối thông nhau bằng một ống cao su Silicon (Hình 40.1 SGK).
4. Thước kẹp có độ chia nhỏ nhất 0,1mm, hoặc 0,05; 0,02 mm, Giới hạn đo 150mm (Hình 40.3 SGK).
5. Giá treo có cơ cấu nâng hạ cốc đựng chất lỏng.
III - CƠ SỞ LÍ THUYẾT
Mặt thoáng của chất lỏng luôn có các lực căng, theo phương tiếp tuyến với mặt thoáng. Những lực căng này làm cho mặt thoáng của chất lỏng có khuynh hướng co lại đến diện tích nhỏ nhất. Chúng được gọi là những lực căng bề mặt (hay còn gọi là lực căng mặt ngoài) của chất lỏng.
Có nhiều phương pháp đo lực căng bề mặt. Trong bài này ta dùng một lực kế nhạy (loại 0,1N), treo một chiếc vòng bằng nhôm có tính dính ướt hoàn toàn đối với chất lỏng cần đo (Hình 40.2SGK).
Nhúng đáy vòng chạm vào mặt chất lỏng, rồi kéo lên mặt thoáng. Khi đáy vòng vừa được nâng lên trên mặt thoáng, nó không bị bứt ngay ra khỏi chất lỏng: một màng chất lỏng xuất hiện, bám quanh chu vi ngoài và chu vi trong của vòng, có khuynh hướng kéo vòng vào chất lỏng. Lực Fc do màng chất lỏng tác dụng vào vòng đúng bằng tổng lực căng bề mặt của chất lỏng tác dụng lên chu vi ngoài và chu vi trong của vòng.
Do vòng bị chất lỏng dính ướt hoàn toàn, nên khi kéo vòng lên khỏi mặt thoáng và có một màng chất lỏng căng giữa đáy vòng và mặt thoáng, thì lực căng Fc có cùng phương chiều với trọng lực P của vòng. Giá trị lực F đo được trên lực kế bằng tổng của hai lực này:
F = Fc + P
Đo P và F ta xác định được lực căng bề mặt Fc tác dụng lên vòng.
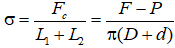
Gọi L1 là chu vi ngoài và L2 là chu vi trong của chiếc vòng, ta tính được hệ số căng bề mặt σ của chất lỏng ở nhiệt độ nghiên cứu theo công thức:
ở đây D và d là đường kính ngoài và đường kính trong của vòng
IV - GIỚI THIỆU DỤNG CỤ ĐO
1. Chiếc vòng nhôm dùng trong thí nghiệm này là loại vật rắn có tính dính ướt hoàn toàn đối với chất lỏng cần nghiên cứu (nước). Trước khi đo cần lau sạch các chất bẩn bám vào mặt vòng, để có kết quả đo chính xác.
2. Thước kẹp dùng đo chu vi ngoài và chu vi trong của chiếc vòng.
Thước kẹp: gồm thước chính và du xích.
- Đọc phần chính (trên thước chính);
- Đọc phần lẽ: vạch trùng x độ chia nhỏ nhất(trên du xích);
- Kết quả: phần chính + phần lẻ.
V - TRÌNH TỰ THÍ NGHIỆM
BÁO CÁO THỰC HÀNH
Họ và tên:...................................................Lớp:................; Ngày:...........................
Tên bài thực hành:
1. Trả lời câu hỏi
a) Nêu ví dụ về hiện tượng dính ướt và hiện tượng không dính ướt của chất lỏng ?
Trả lời:
- Hiện tượng dính ướt: Vì thủy tinh bị nước dính ướt, nên giọt nước nhỏ trên mặt bản thủy tinh lan rộng thành một hình có dạng bất kì.
- Hiện tượng không dính ướt: thủy tinh không bị thủy ngân dính ướt, nên giọt thủy ngân nhỏ trên mặt bản thủy tinh vo tròn lại và bị dẹt xuống do tác dụng của trọng lực.
b) Lực căng bề mặt là gì ? Nêu phương pháp dùng lực kế xác định lực căng bề mặt và xác định hệ số căng bề mặt ? Viết công thức thực nghiệm xác định hệ sốcăng bề mặt theo phương pháp này ?
Trả lời:
- Lực căng bề mặt: là lực tác dụng lên một đoạn đường nhỏ bất kì trên bề mặt chất lỏng luôn có phương vuông góc với đoạn đường này và tiếp tuyến với bề mặt chất lỏng, có chiều làm giảm diện tích bề mặt chất lỏng và có độ lớn f tỉ lệ thuận với độ dài l của đoạn đường đó: f = σl.
σ là hệ số căng bề mặt (suất căng bề mặt), đơn vị N/m.
Giá trị của σ phụ thuộc vào nhiệt độ và bản chất của chất lỏng: σ giảm khi nhiệt độ tăng.
- Phương pháp xác định:
Nhúng đáy vòng chạm vào mặt chất lỏng, rồi kéo lên mặt thoáng. Khi đáy vòng vừa được nâng lên trên mặt thoáng, nó không bị bứt ngay ra khỏi chất lỏng: một màng chất lỏng xuất hiện, bám quanh chu vi ngoài và chu vi trong của vòng, có khuynh hướng kéo vòng vào chất lỏng. Lực Fc do màng chất lỏng tác dụng vào vòng đúng bằng tổng lực căng bề mặt của chất lỏng tác dụng lên chu vi ngoài và chu vi trong của vòng.
Do vòng bị chất lỏng dính ướt hoàn toàn, nên khi kéo vòng lên khỏi mặt thoáng và có một màng chất lỏng căng giữa đáy vòng và mặt thoáng, thì lực căng Fc có cùng phương chiều với trọng lực P của vòng. Giá trị lực F đo được trên lực kế bằng tổng của hai lực này:
F = Fc + P
Đo P và F ta xác định được lực căng bề mặt Fc tác dụng lên vòng.
- Công thức thực nghiệm xác định hệ số căng bề mặt:
2. Kết quả
* Bảng 40.1
| Độ chia nhỏ nhất của lực kế: 0,001N | ||||
| Lần đo | P (N) | F(N) | Fc = F – P (N) | ΔFc(N) |
| 1 | 0,047 | 0,061 | 0,014 | 0,001 |
| 2 | 0,046 | 0,061 | 0,015 | 0 |
| 3 | 0,046 | 0,062 | 0,016 | 0,001 |
| 4 | 0,047 | 0,062 | 0,015 | 0 |
| 5 | 0,046 | 0,060 | 0,014 | 0,001 |
| Giá trị trung bình | 0,0464 | 0,0612 | 0,0148 | 0,0006 |
* Bảng 40.2
| Độ chia nhỏ nhất của thước kẹp: 0,05mm | ||||
| Lần đo | D (mm) | ΔD(mm) | d (mm) | Δd(mm) |
| 1 | 51,5 | 0,16 | 50,03 | 0,004 |
| 2 | 51,6 | 0,06 | 50,02 | 0,006 |
| 3 | 51,78 | 0,12 | 50,03 | 0,004 |
| 4 | 51,7 | 0,04 | 50,02 | 0,006 |
| 5 | 51,7 | 0,04 | 50,03 | 0,004 |
| Giá trị trung bình | 51,66 | 0,08 | 50,03 | 0,005 |
a) Các kết quả tính được được ghi như trong bảng 40.1 và 40.2
b) Giá trị trung bình của hệ số căng bề mặt của nước:
c) Tính sai số tỉ đối của phép đo:
Trong đó:
(ΔF’ là sai số dụng cụ của lực kế, lấy bằng một nữa độ chia nhỏ nhất của lực kế → ΔF’ = = 0,0005)
(ΔD’ và Δd’ là sai số dụng cụ của thước kẹp, lấy bằng một nữa độ chia nhỏ nhất của thước kẹp => ΔD’ = Δd’ = 0,05 : 2 = 0,025 mm).
=> ΔFc = 0,0006 + 2. 0,0005 = 0,0016
=> = 10,81%
Và ΔD = 0,08 + 0,025 = 0,105 mm; Δd = 0,005 + 0,025 = 0,03 mm
Như vậy trong trường hợp này ta phải lấy π = 3,1412 để cho
khi đó ta có thể bỏ qua
=>
=> = 10,81% + 0,133% = 10,943%
d) Tính sai số tuyệt đối của phép đo:
= 0,0463.10,943% = 0,0051
e) Viết kết quả xác định hệ số căng bề mặt của nước:
= 0,463 ± 0,0051(N/m)
Câu hỏi
Bài 1 (trang 222 SGK Vật Lý 10). Có thể dùng lực kế nhạy để đo lực căng bề mặt và hệ số căng bề mặt của chất lỏng không dính ướt theo phương pháp nêu trong bài được không?
Trả lời:
Ta có thể sử dụng lực kế nhạy để đo lực căng bề mặt và hệ số căng bề mặt của chất lỏng không dính ướt theo phương pháp nêu trong bài.
Bài 2 (trang 222 SGK Vật Lý 10). Trong bài thí nghiệm này, tại sao khi mức nước trong bình A hạ thấp dần thì giá trị chỉ trên lực kế lại tăng dần?
Trả lời:
Khi nước trong bình A hạ thấp dần thì lực đẩy Ac-xi-met Fa sẽ giảm dần, vì vậy nó sẽ dần nhỏ hơn trọng lực P của vòng nhôm, P > Fa ⇒ vòng nhôm hạ thấp dần đến khi dây giữ vòng đạt đến giới hạn đàn hồi. Mặt khác, do vòng nhôm không dính ướt nên lực căng bề mặt của nước níu giữ bề mặt vòng nhôm khiến nó bị kéo xuống, đến khi giá trị lực căng bề mặt của nước đạt cực đại, lực tương tác giữa các phân tử nước không còn đủ sức hút nên chúng bị " đứt" "buông tha" cho vòng nhôm.
Bài 3 (trang 222 SGK Vật Lý 10). So sánh giá trị của hệ số căng bề mặt xác định được trong thí nghiệm này với giá trị hệ số căng bề mặt σ của nước cất ở 20ºC ghi trong Bảng 37.1, sách giáo khoa? Nếu có sai lệch thì nguyên nhân từ đâu?
Trả lời:
Hệ số căng bề mặt trong thí nghiệm thường nhỏ hơn giá trị thực tế trong SGK (σ = 0,073N/m) vì trong SGK làm thí nghiệm ở môi trường lí tưởng nước cất, còn trong phòng thí nghiệm độ tinh khiết của nước và của vòng nhôm không lí tưởng, có sai số trong quá trình đo. Ngoài ra σ còn phụ thuộc vào nhiệt độ của môi trường.
Bài 4 (trang 222 SGK Vật Lý 10). Sai số của phép đo hệ số căng bề mặt σ trong bài thực hành chủ yếu gây ra do nguyên nhân nào?
Trả lời:
Sai số hệ thống: sai số dụng cụ đo.
Sai số ngẫu nhiên:
+ Sai số trong quá trình đo: không làm đúng thí nghiệm, kĩ năng thực hành kém, điều kiện thực hành gặp trở ngại: gió, sức cản không khí,…
+ Sai số trong quá trình tính toán: lấy tròn số khi tính, tính sai,…
+ Sai số do nhiệt độ môi trường có thể biến động nhẹ trong thời điểm làm thực nghiệm.
Các bài giải bài tập Vật Lí 10 Chương 7 khác:
- Bài 1: Chuyển động cơ
- Bài 2: Chuyển động thẳng đều
- Bài 3: Chuyển động thẳng biến đổi đều
- Bài 4: Sự rơi tự do
- Bài 5: Chuyển động tròn đều
Để học tốt lớp 10 các môn học sách mới:
- Giải bài tập Lớp 10 Kết nối tri thức
- Giải bài tập Lớp 10 Chân trời sáng tạo
- Giải bài tập Lớp 10 Cánh diều
Tủ sách VIETJACK shopee lớp 10-11 (cả 3 bộ sách):
Đã có app VietJack trên điện thoại, giải bài tập SGK, SBT Soạn văn, Văn mẫu, Thi online, Bài giảng....miễn phí. Tải ngay ứng dụng trên Android và iOS.
Theo dõi chúng tôi miễn phí trên mạng xã hội facebook và youtube:Nếu thấy hay, hãy động viên và chia sẻ nhé! Các bình luận không phù hợp với nội quy bình luận trang web sẽ bị cấm bình luận vĩnh viễn.
- Giải Tiếng Anh 10 Global Success
- Giải Tiếng Anh 10 Friends Global
- Giải sgk Tiếng Anh 10 iLearn Smart World
- Giải sgk Tiếng Anh 10 Explore New Worlds
- Lớp 10 - Kết nối tri thức
- Soạn văn 10 (hay nhất) - KNTT
- Soạn văn 10 (ngắn nhất) - KNTT
- Soạn văn 10 (siêu ngắn) - KNTT
- Giải sgk Toán 10 - KNTT
- Giải sgk Vật lí 10 - KNTT
- Giải sgk Hóa học 10 - KNTT
- Giải sgk Sinh học 10 - KNTT
- Giải sgk Địa lí 10 - KNTT
- Giải sgk Lịch sử 10 - KNTT
- Giải sgk Kinh tế và Pháp luật 10 - KNTT
- Giải sgk Tin học 10 - KNTT
- Giải sgk Công nghệ 10 - KNTT
- Giải sgk Hoạt động trải nghiệm 10 - KNTT
- Giải sgk Giáo dục quốc phòng 10 - KNTT
- Lớp 10 - Chân trời sáng tạo
- Soạn văn 10 (hay nhất) - CTST
- Soạn văn 10 (ngắn nhất) - CTST
- Soạn văn 10 (siêu ngắn) - CTST
- Giải Toán 10 - CTST
- Giải sgk Vật lí 10 - CTST
- Giải sgk Hóa học 10 - CTST
- Giải sgk Sinh học 10 - CTST
- Giải sgk Địa lí 10 - CTST
- Giải sgk Lịch sử 10 - CTST
- Giải sgk Kinh tế và Pháp luật 10 - CTST
- Giải sgk Hoạt động trải nghiệm 10 - CTST
- Lớp 10 - Cánh diều
- Soạn văn 10 (hay nhất) - Cánh diều
- Soạn văn 10 (ngắn nhất) - Cánh diều
- Soạn văn 10 (siêu ngắn) - Cánh diều
- Giải sgk Toán 10 - Cánh diều
- Giải sgk Vật lí 10 - Cánh diều
- Giải sgk Hóa học 10 - Cánh diều
- Giải sgk Sinh học 10 - Cánh diều
- Giải sgk Địa lí 10 - Cánh diều
- Giải sgk Lịch sử 10 - Cánh diều
- Giải sgk Kinh tế và Pháp luật 10 - Cánh diều
- Giải sgk Tin học 10 - Cánh diều
- Giải sgk Công nghệ 10 - Cánh diều
- Giải sgk Hoạt động trải nghiệm 10 - Cánh diều
- Giải sgk Giáo dục quốc phòng 10 - Cánh diều


Giải bài tập SGK & SBT
Tài liệu giáo viên
Sách
Khóa học
Thi online
Hỏi đáp

