Giải bài 6 trang 189 SGK Vật Lý 11
Bài 29: Thấu kính mỏng
Video Giải Bài 6 trang 189 SGK Vật Lý 11 - Thầy Lê Xuân Vượng (Giáo viên VietJack)
Bài 6 (trang 189 SGK Vật Lý 11): Tiếp theo bài tập 5
Cho biết đoạn dời vật là 12 cm.
Tiêu cự của thấu kính là bao nhiêu?
A. -8 cm
B. 18 cm
C. -20 cm
D. Một giá trị khác A, B, C.
Lời giải:
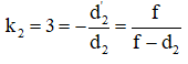
Ta có vật AB và ảnh A1B1 cùng thật và ngược chiều, nên k1 < 0; AB → A1B1
Tương ứng với vị trí sau của vật AB thật và ảnh A2B2 ảo cùng chiều nên k2 > 0.
Vật di chuyển lại gần nên d2 = d1 - 12
Từ (1) và (2) ta có: 4f = 36 + 2f → f = 18cm
Đáp án: B
Các bài giải bài tập Vật Lý 11 bài 29 khác:
Phần trả lời câu hỏi C SGK Vật Lý 11: C1: Hãy gọi tên phân biệt ba loại thấu kính lồi ...
Bài 1 (trang 189 SGK Vật Lý 11): Thấu kính là gì? Kể các loại thấu kính ....
Bài 2 (trang 189 SGK Vật Lý 11): Nêu tính chất quang học của quang tâm, ...
Bài 3 (trang 189 SGK Vật Lý 11): Tiêu cự, độ tụ của thấu kính là gì? ....
Bài 4 (trang 189 SGK Vật Lý 11): Chọn phát biểu đúng với vật thật đặt trước thấu kính:...
Bài 5 (trang 189 SGK Vật Lý 11): Một vật sáng đặt trước thấu kính, trên trục chính....
Bài 7 (trang 189 SGK Vật Lý 11): . Xét thấu kính hội tụ. Lấy trên trục chính các...
Bài 8 (trang 189 SGK Vật Lý 11): Người ta dùng một thấu kính hội tụ...
Bài 9 (trang 189 SGK Vật Lý 11): Vật sang AB được đặt song song với màn...
Bài 10 (trang 190 SGK Vật Lý 11): Một thấu kính hội tụ có tiêu cự f=20cm...
Bài 11 (trang 190 SGK Vật Lý 11): 11. Một thấu kính phân kì có độ tụ -5dp....
Bài 12 (trang 190 SGK Vật Lý 11): Trong hình 29.8, xy là trục chính...
Tủ sách VIETJACK shopee lớp 10-11 (cả 3 bộ sách):
Đã có app VietJack trên điện thoại, giải bài tập SGK, SBT Soạn văn, Văn mẫu, Thi online, Bài giảng....miễn phí. Tải ngay ứng dụng trên Android và iOS.
Theo dõi chúng tôi miễn phí trên mạng xã hội facebook và youtube:Nếu thấy hay, hãy động viên và chia sẻ nhé! Các bình luận không phù hợp với nội quy bình luận trang web sẽ bị cấm bình luận vĩnh viễn.
- Giải Tiếng Anh 11 Global Success
- Giải sgk Tiếng Anh 11 Smart World
- Giải sgk Tiếng Anh 11 Friends Global
- Lớp 11 - Kết nối tri thức
- Soạn văn 11 (hay nhất) - KNTT
- Soạn văn 11 (ngắn nhất) - KNTT
- Giải sgk Toán 11 - KNTT
- Giải sgk Vật Lí 11 - KNTT
- Giải sgk Hóa học 11 - KNTT
- Giải sgk Sinh học 11 - KNTT
- Giải sgk Lịch Sử 11 - KNTT
- Giải sgk Địa Lí 11 - KNTT
- Giải sgk Giáo dục KTPL 11 - KNTT
- Giải sgk Tin học 11 - KNTT
- Giải sgk Công nghệ 11 - KNTT
- Giải sgk Hoạt động trải nghiệm 11 - KNTT
- Giải sgk Giáo dục quốc phòng 11 - KNTT
- Giải sgk Âm nhạc 11 - KNTT
- Lớp 11 - Chân trời sáng tạo
- Soạn văn 11 (hay nhất) - CTST
- Soạn văn 11 (ngắn nhất) - CTST
- Giải sgk Toán 11 - CTST
- Giải sgk Vật Lí 11 - CTST
- Giải sgk Hóa học 11 - CTST
- Giải sgk Sinh học 11 - CTST
- Giải sgk Lịch Sử 11 - CTST
- Giải sgk Địa Lí 11 - CTST
- Giải sgk Giáo dục KTPL 11 - CTST
- Giải sgk Hoạt động trải nghiệm 11 - CTST
- Giải sgk Âm nhạc 11 - CTST
- Lớp 11 - Cánh diều
- Soạn văn 11 Cánh diều (hay nhất)
- Soạn văn 11 Cánh diều (ngắn nhất)
- Giải sgk Toán 11 - Cánh diều
- Giải sgk Vật Lí 11 - Cánh diều
- Giải sgk Hóa học 11 - Cánh diều
- Giải sgk Sinh học 11 - Cánh diều
- Giải sgk Lịch Sử 11 - Cánh diều
- Giải sgk Địa Lí 11 - Cánh diều
- Giải sgk Giáo dục KTPL 11 - Cánh diều
- Giải sgk Tin học 11 - Cánh diều
- Giải sgk Công nghệ 11 - Cánh diều
- Giải sgk Hoạt động trải nghiệm 11 - Cánh diều
- Giải sgk Giáo dục quốc phòng 11 - Cánh diều
- Giải sgk Âm nhạc 11 - Cánh diều


Giải bài tập SGK & SBT
Tài liệu giáo viên
Sách
Khóa học
Thi online
Hỏi đáp

