Giải Cùng em học Toán lớp 5 Tập 1 Tuần 2 Tiết 1 trang 8
Giải Cùng em học Toán lớp 5 Tập 1 Tuần 2 Tiết 1 trang 8
Bài 1 (trang 8 Cùng em học Toán lớp 5 Tập 1):
Tính:
Hướng dẫn giải:
Cách tính :
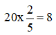
Bài 2 (trang 8 Cùng em học Toán lớp 5 Tập 1):
Tính:
Hướng dẫn giải:
Giải thích :
Viết số tự nhiên dưới dạng phân số có mẫu số là 1 rồi thực hiện như thông thường.
Bài 3 (trang 8 Cùng em học Toán lớp 5 Tập 1):
Tính:
Hướng dẫn giải:
Cách tính:
Bài 4 (trang 8 Cùng em học Toán lớp 5 Tập 1):
Mẹ làm 20 chiếc bánh rán rất ngon, trong đó có
số bánh rán là bánh ngọt,
số bánh rán là bánh mặn, số bánh rán còn lại là bánh vừng. Hỏi mẹ đã làm bao nhiêu chiếc bánh vừng.
Hướng dẫn giải:
Số chiếc bánh rán ngọt là:
(chiếc)
Số chiếc bánh rán mặn là:
(chiếc)
Số chiếc bánh rán vừng là:
20 – 8 – 5 = 7 (chiếc)
Đáp số: 7 chiếc.
Các bài Giải bài tập Cùng em học Toán lớp 5 Tập 1 khác:
Xem thêm các bài Để học tốt Toán lớp 5 hay khác:
Tủ sách VIETJACK shopee lớp 1-5 (2025):
Đã có app VietJack trên điện thoại, giải bài tập SGK, SBT Soạn văn, Văn mẫu, Thi online, Bài giảng....miễn phí. Tải ngay ứng dụng trên Android và iOS.
Theo dõi chúng tôi miễn phí trên mạng xã hội facebook và youtube:Loạt bài Giải bài tập Cùng em học Toán lớp 5 Tập 1 & Tập 2 của chúng tôi được biên soạn bám sát nội dung sách Cùng em học Toán lớp 5 Tập 1 & Tập 2 giúp bạn học tốt môn Toán 5 hơn.
Nếu thấy hay, hãy động viên và chia sẻ nhé! Các bình luận không phù hợp với nội quy bình luận trang web sẽ bị cấm bình luận vĩnh viễn.
- Giải Tiếng Anh lớp 5 Global Success
- Giải sgk Tiếng Anh lớp 5 Smart Start
- Giải sgk Tiếng Anh lớp 5 Family and Friends
- Lớp 5 Kết nối tri thức
- Giải sgk Tiếng Việt lớp 5 - KNTT
- Giải Vở bài tập Tiếng Việt lớp 5 - KNTT
- Giải sgk Toán lớp 5 - KNTT
- Giải Vở bài tập Toán lớp 5 - KNTT
- Giải sgk Đạo đức lớp 5 - KNTT
- Giải sgk Khoa học lớp 5 - KNTT
- Giải sgk Lịch Sử và Địa Lí lớp 5 - KNTT
- Giải sgk Hoạt động trải nghiệm lớp 5 - KNTT
- Giải sgk Tin học lớp 5 - KNTT
- Giải sgk Công nghệ lớp 5 - KNTT
- Giải sgk Âm nhạc lớp 5 - KNTT
- Giải sgk Mĩ thuật lớp 5 - KNTT
- Lớp 5 Chân trời sáng tạo
- Giải sgk Tiếng Việt lớp 5 - CTST
- Giải Vở bài tập Tiếng Việt lớp 5 - CTST
- Giải sgk Toán lớp 5 - CTST
- Giải Vở bài tập Toán lớp 5 - CTST
- Giải sgk Đạo đức lớp 5 - CTST
- Giải sgk Khoa học lớp 5 - CTST
- Giải sgk Lịch Sử và Địa Lí lớp 5 - CTST
- Giải sgk Hoạt động trải nghiệm lớp 5 - CTST
- Giải sgk Tin học lớp 5 - CTST
- Giải sgk Công nghệ lớp 5 - CTST
- Giải sgk Âm nhạc lớp 5 - CTST
- Giải sgk Mĩ thuật lớp 5 - CTST
- Lớp 5 Cánh diều
- Giải sgk Tiếng Việt lớp 5 - Cánh diều
- Giải Vở bài tập Tiếng Việt lớp 5 - Cánh diều
- Giải sgk Toán lớp 5 - Cánh diều
- Giải Vở bài tập Toán lớp 5 - Cánh diều
- Giải sgk Đạo đức lớp 5 - Cánh diều
- Giải sgk Khoa học lớp 5 - Cánh diều
- Giải sgk Lịch Sử và Địa Lí lớp 5 - Cánh diều
- Giải sgk Hoạt động trải nghiệm lớp 5 - Cánh diều
- Giải sgk Tin học lớp 5 - Cánh diều
- Giải sgk Công nghệ lớp 5 - Cánh diều
- Giải sgk Âm nhạc lớp 5 - Cánh diều
- Giải sgk Mĩ thuật lớp 5 - Cánh diều


Giải bài tập SGK & SBT
Tài liệu giáo viên
Sách
Khóa học
Thi online
Hỏi đáp

