Báo cáo thí nghiệm: Thực hành đo suất điện động và điện trở trong của nguồn điện
Bài 16: Thực hành: Đo suất điện động và điện trở trong của nguồn điện
Báo cáo thí nghiệm: Đo suất điện động và điện trở trong của nguồn điện
Tên bài thực hành: Đo suất điện động và điện trở trong của nguồn điện.
I. Mục đích thí nghiệm:
+ Để xác định suất điện động và điện trở trong của một pin.
+ Củng cố kỹ năng sử dụng vôn kế, ampe kế; tính toán sai số và sử dụng đồ thị; rèn luyện kỹ năng hoạt động theo nhóm trong thực hành thí nghiệm.
+ Nắm rõ vai trò của điện trở trong và mối liên hệ của nó với mạch ngoài trong thực tế.
II. Cơ sở lý thuyết
+ Định luật Ôm đối với toàn mạch:
Cường độ dòng điện chạy trong mạch điện kín tỉ lệ thuận với suất điện động của nguồn điện và tỉ lệ nghịch với điện trở toàn phần của mạch đó.
Với R là điện trở mạch ngoài, r là điện trở trong của nguồn điện.
- Độ giảm thế trên đoạn mạch: U = I.R
- Suất điện động của nguồn điện: ℰ = I.(R + r)
+ Định luật Ôm đối với đoạn mạch chứa nguồn điện:
UAB = VA - VB = ℰ - r.I
III. Tiến trình thí nghiệm
a) Phương án 1
* Chuẩn bị dụng cụ gồm:
- Mooth pin cũ (gần hết điện, loại 1,5V), một pin mới cùng loại.
- Một biến trở, một vôn kế 3-6V, một ampe kế 0,5-3A (hoặc miliampe kế)
- Một ngắt điện, bảng điện, dây nối
* Tiến trình thí nghiệm:
- Kiểm tra dụng cụ và vẽ sơ đồ mạch điện:
- Lắp rắp mạch điện, kiểm tra mạch (chú ý chọn thang đo thích hợp của vôn kế và ampe kế)
- Đầu tiên làm thí nghiệm với pin cũ
+ Điều chỉnh biến trở tới hai giá trị bất kỳ, đọc các cặp số đo tương ứng của vôn kế và ampe kế U1, I1 và U2, I2.
+ Thực hiện lặp lại 3 lần như trên.
- Lặp lại cách đo với pin mới, chú ý không làm đoạn mạch pin khi chỉnh biến trở.
- Ghi kết quả thí nghiệm vào bảng.
- Lập hệ hai phương trình: U1 = ℰ - r.I1 và U2 = ℰ - r.I2
- Giải hệ phương trình, tìm giá trị trung bình với sai số của ℰ và r.
b) Phương án 2.
Dựa trên đồ thị U = f(I) của phương trình định luật Ôm đối với đoạn mạch: U = ℰ - r.I
- Mắc mạch điện theo sơ đồ hình 16.3 SGK
- Mở khóa K, đặt R ở vị trí có điện trở lớn nhất.
- Đóng K, ghi giá trị của U, I đo được nhờ vôn kế và ampe kế.
- Dịch chuyển biến trở R đến các vị trí khác, ghi các cặp giá trị U, I tương ứng với từng vị trí.
- Lập bảng số liệu, vẽ đồ thị U = f(I) theo các cặp giá trị.
- Từ bảng số liệu, đánh dấu các điểm thực nghiệm trên hệ trục tọa độ.
- Vẽ đường thẳng đi gần nhất các điểm thực nghiệm. Đây chính là đồ thị của phương trình: U = ℰ - r.I
- Kéo dài đồ thị cho cắt trục tung U(V). Giao cho điểm chính là trị số của suất điện động ℰ.
- Chọn hai điểm trên đồ thị, xác định các giá trị U, I tương ứng, ta tính được điện trở trong: r = ΔU/ΔI
- Có thể ước lượng sai số theo đồ thị.
IV. Kết quả thí nghiệm:
1. Phương án 1:
Bảng số liệu 16.1
| Đại lượng | U1 (V) | I1 (A) | U2 (V) | I2 (A) | ℰ (V) | r (Ω) |
| Đo lần 1 | 0,95 | 0,5 | 1,22 | 0,2 | 1,40 | 0,9 |
| Đo lần 2 | 1,25 | 0,1 | 0,95 | 0,4 | 1,35 | 1 |
| Đo lần 3 | 1,14 | 0,4 | 1,22 | 0,3 | 1,46 | 0,8 |
Giá trị trung bình của ℰ
Sai số của ℰ
Giá trị trung bình của r:
Sai số của r:
Vậy: ℰ = 1,41±0,04 V; r = 0,9±0,1 Ω
2. Phương án 2.
* Bảng số liệu 16.2
| Đại lượng | U (V) | I (A) |
| Đo lần 1 | 1,42 | 0,05 |
| Đo lần 2 | 1,37 | 0,09 |
| Đo lần 3 | 1,31 | 0,15 |
| Đo lần 4 | 1,19 | 0,25 |
| Đo lần 5 | 1,05 | 0,41 |
* Vẽ đồ thị biểu diễn sự phụ thuộc của U theo I:
Nhận xét:
+ Dạng đồ thị của U = f(I) là một đường thẳng cắt hai trục tọa độ, phù hợp với đồ thị của phương trình: U = ℰ - r.I
+ Kéo dài đồ thị cho cắt trục tung U(V). Giao điểm chính là trị số của suất điện động ℰ. Từ đồ thị ta được: ℰ = 1,46V
+ Ta chọn hai điểm: U2 = 1,37 V, I2 = 0,09 A và U3 = 1,31 V, I3 = 0,15 A
→ Điện trở trong của nguồn là:
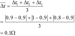
+ Ta có thể ước lượng sai số theo đồ thị:
Δℰ = 0,05V; Δr = 0,1Ω
Các bài giải bài tập Vật Lí 11 nâng cao Bài 16 Chương 2 khác:
Trả lời Câu hỏi (trang 84)
Câu 1 (trang 84 sgk Vật Lí 11 nâng cao): Tại sao trong thí nghiệm...
Bài 1 (trang 84 sgk Vật Lí 11 nâng cao): Hãy chọn một trong các...
Bài 2 (trang 84 sgk Vật Lí 11 nâng cao): Trong thí nghiệm trên...
- Giải Tiếng Anh 11 Global Success
- Giải sgk Tiếng Anh 11 Smart World
- Giải sgk Tiếng Anh 11 Friends Global
- Lớp 11 - Kết nối tri thức
- Soạn văn 11 (hay nhất) - KNTT
- Soạn văn 11 (ngắn nhất) - KNTT
- Giải sgk Toán 11 - KNTT
- Giải sgk Vật Lí 11 - KNTT
- Giải sgk Hóa học 11 - KNTT
- Giải sgk Sinh học 11 - KNTT
- Giải sgk Lịch Sử 11 - KNTT
- Giải sgk Địa Lí 11 - KNTT
- Giải sgk Giáo dục KTPL 11 - KNTT
- Giải sgk Tin học 11 - KNTT
- Giải sgk Công nghệ 11 - KNTT
- Giải sgk Hoạt động trải nghiệm 11 - KNTT
- Giải sgk Giáo dục quốc phòng 11 - KNTT
- Giải sgk Âm nhạc 11 - KNTT
- Lớp 11 - Chân trời sáng tạo
- Soạn văn 11 (hay nhất) - CTST
- Soạn văn 11 (ngắn nhất) - CTST
- Giải sgk Toán 11 - CTST
- Giải sgk Vật Lí 11 - CTST
- Giải sgk Hóa học 11 - CTST
- Giải sgk Sinh học 11 - CTST
- Giải sgk Lịch Sử 11 - CTST
- Giải sgk Địa Lí 11 - CTST
- Giải sgk Giáo dục KTPL 11 - CTST
- Giải sgk Hoạt động trải nghiệm 11 - CTST
- Giải sgk Âm nhạc 11 - CTST
- Lớp 11 - Cánh diều
- Soạn văn 11 Cánh diều (hay nhất)
- Soạn văn 11 Cánh diều (ngắn nhất)
- Giải sgk Toán 11 - Cánh diều
- Giải sgk Vật Lí 11 - Cánh diều
- Giải sgk Hóa học 11 - Cánh diều
- Giải sgk Sinh học 11 - Cánh diều
- Giải sgk Lịch Sử 11 - Cánh diều
- Giải sgk Địa Lí 11 - Cánh diều
- Giải sgk Giáo dục KTPL 11 - Cánh diều
- Giải sgk Tin học 11 - Cánh diều
- Giải sgk Công nghệ 11 - Cánh diều
- Giải sgk Hoạt động trải nghiệm 11 - Cánh diều
- Giải sgk Giáo dục quốc phòng 11 - Cánh diều
- Giải sgk Âm nhạc 11 - Cánh diều
Giải Bài tập (trang 84)
Tủ sách VIETJACK shopee lớp 10-11 (cả 3 bộ sách):
Đã có app VietJack trên điện thoại, giải bài tập SGK, SBT Soạn văn, Văn mẫu, Thi online, Bài giảng....miễn phí. Tải ngay ứng dụng trên Android và iOS.
Theo dõi chúng tôi miễn phí trên mạng xã hội facebook và youtube:Nếu thấy hay, hãy động viên và chia sẻ nhé! Các bình luận không phù hợp với nội quy bình luận trang web sẽ bị cấm bình luận vĩnh viễn.


Giải bài tập SGK & SBT
Tài liệu giáo viên
Sách
Khóa học
Thi online
Hỏi đáp

