Bài tập trắc nghiệm trang 109, 110 Sách bài tập Đại số 10
Bài 2: Bất phương trình và hệ bất phương trình một ẩn
Bài tập trắc nghiệm trang 109, 110 Sách bài tập Đại số 10:
Bài 4.30: Trong các khẳng định sau đây, khẳng định nào đúng?
A. Nếu cộng hai vế của một bất phương trình với cùng một số thì ta được một bất phương trình tương đương với bất phương trình đã cho.
B. Nếu nhân hai vế của một bất phương trình với cùng một số thì ta được một bất phương trình tương đương với bất phương trình đã cho.
C. Nếu chia hai vế của một bất phương trình với cùng một số thì ta được một bất phương trình tương đương với bất phương trình đã cho.
D. Nếu bình phương hai vế của một bất phương trình với cùng một số thì ta được một bất phương trình mới tương đương với bất phương trình đã cho.
Lời giải:
Sử dụng tính chất “cộng hay trừ hai vế một bất đẳng thức với cùng một số và giữ nguyên chiều bất đẳng thức ta được một bất đẳng thức tương đương”.
Đáp án: A
Bài 4.31: Trong các bất phương trình sau đây, bất phương trình nào có nghiệm?
Lời giải:
Dễ thấy bất phương trình trong phương án C đúng với x = 0
Đáp án: C
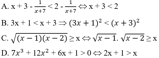
Bài 4.32: Trong các khẳng định sau đây, khẳng định nào đúng?
Lời giải:
Có 7x3 + 12x2 + 6x + 1 = (x + 1)(7x2 + 5x + 1)
Nên bất phương trình 7x3 + 12x2 + 6x + 1 > 0 ⇔ x + 1 > 0 ⇔ 2x + 1 > x.
Đáp án: D
Bài 4.33: Tập nghiệm của bất phương trình sau là:
A. S = (-1; 4) ∪ (4; +∞) B. S = [4; +∞)
C. S = [-1; +∞) D. S = (-1; +∞)
Lời giải:
Khi x = 4 căn thức triệt tiêu nên x = 4 không là nghiệm của bất phương trình, do đó B, C, D đều sai.
Đáp án: A
Các bài giải sách bài tập Đại số 10 khác:
Bài 4.26 trang 108 Sách bài tập Đại số 10: Giải các bất phương trình sau....
Bài 4.27 trang 109 Sách bài tập Đại số 10: Giải các bất phương trình sau....
Bài 4.28 trang 109 Sách bài tập Đại số 10: Giải hệ bất phương trình sau....
Bài 4.29 trang 109 Sách bài tập Đại số 10: Giải và biện luận bất phương trình....
Để học tốt lớp 10 các môn học sách mới:
- Giải bài tập Lớp 10 Kết nối tri thức
- Giải bài tập Lớp 10 Chân trời sáng tạo
- Giải bài tập Lớp 10 Cánh diều
Tủ sách VIETJACK shopee lớp 10-11 (cả 3 bộ sách):
Đã có app VietJack trên điện thoại, giải bài tập SGK, SBT Soạn văn, Văn mẫu, Thi online, Bài giảng....miễn phí. Tải ngay ứng dụng trên Android và iOS.
Theo dõi chúng tôi miễn phí trên mạng xã hội facebook và youtube:Nếu thấy hay, hãy động viên và chia sẻ nhé! Các bình luận không phù hợp với nội quy bình luận trang web sẽ bị cấm bình luận vĩnh viễn.
- Giải Tiếng Anh 10 Global Success
- Giải Tiếng Anh 10 Friends Global
- Giải sgk Tiếng Anh 10 iLearn Smart World
- Giải sgk Tiếng Anh 10 Explore New Worlds
- Lớp 10 - Kết nối tri thức
- Soạn văn 10 (hay nhất) - KNTT
- Soạn văn 10 (ngắn nhất) - KNTT
- Soạn văn 10 (siêu ngắn) - KNTT
- Giải sgk Toán 10 - KNTT
- Giải sgk Vật lí 10 - KNTT
- Giải sgk Hóa học 10 - KNTT
- Giải sgk Sinh học 10 - KNTT
- Giải sgk Địa lí 10 - KNTT
- Giải sgk Lịch sử 10 - KNTT
- Giải sgk Kinh tế và Pháp luật 10 - KNTT
- Giải sgk Tin học 10 - KNTT
- Giải sgk Công nghệ 10 - KNTT
- Giải sgk Hoạt động trải nghiệm 10 - KNTT
- Giải sgk Giáo dục quốc phòng 10 - KNTT
- Lớp 10 - Chân trời sáng tạo
- Soạn văn 10 (hay nhất) - CTST
- Soạn văn 10 (ngắn nhất) - CTST
- Soạn văn 10 (siêu ngắn) - CTST
- Giải Toán 10 - CTST
- Giải sgk Vật lí 10 - CTST
- Giải sgk Hóa học 10 - CTST
- Giải sgk Sinh học 10 - CTST
- Giải sgk Địa lí 10 - CTST
- Giải sgk Lịch sử 10 - CTST
- Giải sgk Kinh tế và Pháp luật 10 - CTST
- Giải sgk Hoạt động trải nghiệm 10 - CTST
- Lớp 10 - Cánh diều
- Soạn văn 10 (hay nhất) - Cánh diều
- Soạn văn 10 (ngắn nhất) - Cánh diều
- Soạn văn 10 (siêu ngắn) - Cánh diều
- Giải sgk Toán 10 - Cánh diều
- Giải sgk Vật lí 10 - Cánh diều
- Giải sgk Hóa học 10 - Cánh diều
- Giải sgk Sinh học 10 - Cánh diều
- Giải sgk Địa lí 10 - Cánh diều
- Giải sgk Lịch sử 10 - Cánh diều
- Giải sgk Kinh tế và Pháp luật 10 - Cánh diều
- Giải sgk Tin học 10 - Cánh diều
- Giải sgk Công nghệ 10 - Cánh diều
- Giải sgk Hoạt động trải nghiệm 10 - Cánh diều
- Giải sgk Giáo dục quốc phòng 10 - Cánh diều


Giải bài tập SGK & SBT
Tài liệu giáo viên
Sách
Khóa học
Thi online
Hỏi đáp

