Bài tập trắc nghiệm trang 204, 205, 206, 207, 208, 209 Sách bài tập Hình học 10
Ôn tập cuối năm
Bài tập trắc nghiệm trang 204, 205, 206, 207, 208, 209 Sách bài tập Hình học 10:
Bài 1: Cho hình bình hành ABCD. Tổng vectơ
là:
Lời giải:
Áp dụng quy tắc hình bình hành ta có:
Đáp án: A
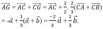
Bài 2: Cho tam giác ABC có trọng tâm là G. Đặt
. Vectơ AG bằng:
Lời giải:
Đáp án: B
Bài 3: Cho E, F lần lượt là trung điểm của cạnh AB và AC của tam giác ABC không cân tại A. Tập hợp các điểm M thỏa mãn
là:
A. Đường trung trực của EF B. Đường thẳng BA
C. Đường trung trực của BC D. Đường thẳng BC
Lời giải:
Vậy tập hợp các điểm M là đường trung trực của EF.
Đáp án: A
Bài 4: Cho tam giác ABC. Gọi I là điểm trên cạnh BC sao cho BI = 2IC. Khẳng định nào sau đây là đúng?
Lời giải:
Đáp án: A
Bài 5: Cho tam giác ABC đều cạnh a. Gọi G là trọng tâm tam giác ABC. Trong các đẳng thức sau đẳng thức nào sai?
Lời giải:
Gọi M là trung điểm BC, ta có: |GB→ + GC→| = 2|GM→| = 1/3a√3. Mệnh đề C sai.
Đáp án: C
Bài 6: Trong mặt phẳng Oxy, cho hai điểm A(0;3), B(3;1). Tọa độ điểm M thỏa mãn
là:
A. (6;-7) B. (-6;7)
C. (-6;-1) D. (6;-1)
Lời giải:
Đáp án: D
Bài 7: Trong mặt phẳng Oxy, cho hình bình hành ABCD có A(-2;0), B(3;-2) và G(-1;2) là trọng tâm tam giác ADC. Tọa độ đỉnh D là:
A. (-2;4) B. (3;4)
C. (3;-4) D. (-3;4)
Lời giải:
G là trọng tâm tam giác ADC ⇔ DG→ = 1/3 DB→
Đáp án: D
Bài 8: Cho
. Tìm tọa độ
Lời giải:
x→ = b→ - c→ - a→ = (5; -5).
Đáp án: C
Bài 9: Trong mặt phẳng Oxy, cho tam giác MNP có M(1;1), N(5;3) và P thuộc trục Oy, trọng tâm G của tam giác nằm trên trục Ox. Tọa độ của điểm P là:
A. (2;0) B. (0;-2)
C. (2;-4) D. (0;-4)
Lời giải:
P thuộc trục Oy nên xP = 0. Trọng tâm G của tam giác nằm trên trục Ox nên yG = 0, suy ra yP = -4.
Đáp án: D
Bài 10: Trong các khẳng định sau, tìm khẳng định sai:
A. sin 90ο > sin 180ο B. sin 90ο13' > sin 90ο14'
C. sin 45ο > sin 46ο D. sin 110ο > sin 112ο
Lời giải:
0o < 45o < 46o < 90o nên sin45o < sin46o.
Đáp án: C
Bài 11: Giá trị của biểu thức mcos 90ο + psin 180ο bằng:
A. m B. n
C. p D. m + n
Lời giải:
cos90o = 0, sin180o = 0, sin90o = 1.
Đáp án: B
Bài 12: Để tính cos 120ο, một học sinh thực hiện các bước như sau:
Lập luận trên không đúng từ bước nào?
A. (I) B. (II) C. (III) D. (IV)
Lời giải:
Vì 90o < 120o < 180o nên cos120o < 0.
Đáp án: D
Bài 13: Giá trị của biểu thức S = sin23ο + sin215ο + sin275ο + sin287ο bằng:
A. S = 1 B. S = 0
C. S = 2 D. S = 4
Lời giải:
sin87o = cos3o, sin75o = cos15o nên S = 2.
Đáp án: C
Bài 14: Rút gọn biểu thức S = cos(90ο - x)sin(180ο - x) - sin(90ο - x)cos(180ο - x) ta được:
A. S = 1 B. S = 0
C. S = sin2x - cos2x D. S = 2sinxcosx
Lời giải:
Áp dụng công thức sina.cosb – sinb.cosa = sin(a – b) ta có S = 1.
Đáp án: A
Bài 15: Cho tam giác ABC vuông tại A, AB = a, BC = 2a. Tích vô hướng
bằng:
A. 3a2 B. a2 C. -a2 D. -3a2
Lời giải:
Đáp án: D
Bài 16: Trong mặt phẳng Oxy cho các điểm A(1;1), B(2;4), C(10;-2). Góc BAC bằng bao nhiêu?
A. 90ο B. 60ο C. 45ο D. 30ο
Lời giải:
Đáp án: D
Bài 17: Trong mặt phẳng Oxy cho các điểm A(1;1), B(2;4), C(10;-2). Tích vô hướng
bằng:
A. 30 B. 10 C. -10 D. -30
Lời giải:
BA→ = (-1; -3), BC→ = (8; -6) nên BA→. BC→ = -8 + 18 = 10.
Đáp án: B
Bài 18: Tam giác ABC có các cạnh a, b, c. cosB bằng biểu thức nào sau đây?
Lời giải:
Áp dụng định lý côsin ta chọn D.
Đáp án: D
Bài 19: Độ dài trung tuyến mc ứng với cạnh c của tam giác ABC bằng biểu thức nào sau đây?
Lời giải:
Áp dụng công thức b2 + a2 = 2mc2 + c2/2.
Đáp án: C
Bài 20: Gọi S là diện tích ta, giác ABC. Trong các khẳng định sau, tìm khẳng định đúng.
A. S = a.ha B. S = abcosC/2
C. S = abc/4R D. S = absinC
Lời giải:
Đáp án: C
Bài 21: Tam giác ABC có ba cạnh thỏa mãn hệ thức: a2 = b2 - c2 - ac. Góc B bằng bao nhiêu?
A. 150ο B. 120ο
C. 60ο D. 30ο
Lời giải:
Ta có cosB = (-1)/2.
Đáp án: B
Bài 22: Tam giác ABC có các cạnh là a = 6, b = 4√2, c = 2. M là điểm trên cạnh BC sao cho BM = 3. Độ dài đoạn AM bằng bao nhiêu?
A. 3 B. 9 C. 4 D. (√108)/2
Lời giải:
Ta có M là trung điểm BC. Áp dụng công thức b2 + c2 = 2ma2 + a2/2.
Đáp án: A
Bài 23: Cho tam giác ABC có ba cạnh thỏa mãn hệ thức: b + c = 2a. Trong các mệnh đề sau, mện đề nào đúng?
A. cosB + cosC = 2cosA B. sinB + sinC = 2sinA
C. sinB + sinC = (sinA)/2 D. sinB + cosC = 2sinA
Lời giải:
Thay b = 2R.sinB, c = 2R.sinC, a = 2R.sinA.
Đáp án: B
Bài 24: Gọi S = m2a + m2b + m2c là tổng bình phương độ dài ba trung tuyến của tam giác ABC. Trong các khẳng định sau, khẳng định nào đúng?
A. S = 3(a2 + b2 + c2)/4 B. S = (a2 + b2 + c2)
C. S = 3(a2 + b2 + c2)/2 D. S = 3(a2 + b2 + c2)
Lời giải:
Thay ma2 = 1/2(b2 + c2 - a2/2), 〖m_b〗2 = 1/2(a2 + c2 - b2/2), 〖m_c〗2 = 1/2(a2 + b2 - c2/2).
Đáp án: A
Bài 25: Cho tam giác ABC, biết cạnh a = 17,4; góc B = 44ο33'; góc C = 64ο. Cạnh b bằng bao nhiêu?
A. 16,5 B. 12,9
C. 15,6 D. 22,1
Lời giải:
Đáp án: B
Bài 26: Cho tam giác ABC biết các cạnh a = 16,8; góc B = 56ο13'; góc C = 71ο. Cạnh c bằng bao nhiêu?
A. 29,9 B. 14,1
C. 17,5 D. 19,9
Lời giải:
Đáp án: D
Bài 27: Cho tam giác ABC biết các cạnh a = 49,4; b = 26,4; góc C = 47ο20'. Cạnh c bằng bao nhiêu?
A. 64 B. 37
C. 28,5 D. 136,9
Lời giải:
Áp dụng công thức c2 = a2 + b2 – 2ac.cosC.
Đáp án: B
Bài 28: Cho tam giác ABC biết các cạnh a = 24; b = 13; c = 15. Góc A bằng:
A. 33ο34' B. 117ο49'
C. 28ο37' D. 58ο24'
Lời giải:
Áp dụng công thức
Đáp án: B
Bài 29: Cho tam giác ABC biết các cạnh a = 13; b = 14; c = 15. Góc B bằng:
A. 59ο49' B. 53ο7'
C. 59ο29' D. 62ο22'
Lời giải:
Áp dụng công thức
Đáp án: C
Bài 30: Cho tam giác ABC có tọa độ các đỉnh là A(1;2), B(3;1), C(5;4). Phương trình đường cao vẽ từ A là:
A. 2x + 3y - 8 = 0 B. 3x - 2y - 5 = 0
C. 5x - 6y + 7 = 0 D. 3x - 2y + 5 = 0
Lời giải:
Đường cao vẽ từ A có vectơ pháp tuyến BC→ = (2;3) nên có phương trình là: 2(x – 1) + 3(y – 2) = 0 hay 2x + 3y – 8 = 0.
Đáp án: A
Bài 31: Cho tam giác ABC với A(-1;1), B(4;7), C(3;-2). Phương trình tham số của trung tuyến CM là:
Lời giải:
Ta có trung điểm của AB là điểm M(3/2; 4). Trung tuyến CM đi qua điểm C(3;-2) và có vectơ chỉ phương (CM→ = ((-3)/2;6) = (-3)/2(1; -4) nên có phương trình tham số:
Đáp án: B
Bài 32: Cho phương trình tham số của đường thẳng d:
. Phương trình tổng quát của đường thằng d là:
A. 2x + y - 1 = 0 B. 2x + y + 1 = 0
C. x + 2y + 2 = 0 D. x + 2y - 2 = 0
Lời giải:
2x + y – 1 = 0.
Đáp án: A
Bài 33: Phương trình nào sau đây là phương trình đường tròn?
A. x2 + 2y2 - 4x - 8y + 1 = 0 B. 4x2 + y2 - 10x - 6y - 2 = 0
C. x2 + y2 - 2x - 8y + 20 = 0 D. x2 + y2 - 4x + 6y - 12 = 0
Lời giải:
x2 + y2 – 4x + 6y – 12 = 0.
Đáp án: D
Bài 34: Cho đường tròn (C): x2 + y2 + 2x + 4y - 20 = 0. Trong các khẳng định sau, tìm khẳng định sai.
A. (C) có tâm I(1;2)
B. (C) có bán kính R = 5
C. (C) đi qua điểm M(2;2)
D. (C) không đi qua điểm A(1;1)
Lời giải:
(C) có tâm I(-1; -2). Mệnh đề A sai.
Đáp án: A
Bài 35: Cho đường tròn (C): x2 + y2 - 4x - 2y = 0 và đường thẳng Δ: x + 2y + 1 = 0.
Trong các khẳng định sau, tìm khẳng định đúng.
A. Δ đi qua tâm của (C).
B. Δ cắt (C) tại hai điểm.
C. Δ tiếp xúc (C).
D. Δ không có điểm chung với (C)
Lời giải:
Đường tròn (C) có tâm I(2;1) và có bán kính R = √5. Ta có:
Suy ra Δ tiếp xúc với (C).
Đáp án: C
Bài 36: Cho ba điểm A(3;5), B(2;3), C(6;2). Đường tròn ngoại tiếp tam giác ABC có phương trình là:
Lời giải:
Phương trình đường tròn ngoại tiếp tam giác ABC có dạng:
x2 + y2 – 2ax – 2by + c = 0. Thay tọa độ của ba điểm A, B, C vào ta được hệ phương trình:
Suy ra phương trình đường tròn ngoại tiếp tam giác ABC là
x2 + y2 - 25/6 x - 19/6 y + 68/3 = 0. Chọn C.
Đáp án:
Bài 37: Lập phương trình chính tắc của elip có hai đỉnh (-3;0), (3;0) và hai tiêu điểm (-1;0), (1;0) ta được:
Lời giải:
Đáp án: C
Bài 38: Cho elip (E): 4x2 + 9y2 = 36. Trong các khẳng định sau, tìm khẳng định sai.
A. (E) có trục lớn bằng 6. B. (E) có trục nhỏ bằng 4
C. (E) có tiêu cự bằng √5 D. (E) có tâm sai bằng (√5)/3
Lời giải:
(E) có tiêu cự bằng 2c = 2√5. Vậy mệnh đề C sai.
Đáp án: C
Bài 39: Cho elip (E):
và đường thẳng Δ: x + y + 5 = 0. Tích các khoảng cách từ hai tiêu điểm của (E) đến Δ bằng:
A. 16 B. 9
C. 81 D. 7
Lời giải:
(E) có hai tiêu điểm F1(-√7;0), F2(√7;0)
d(F1,Δ). d(F2,Δ) = 9.
Đáp án: B
Các bài giải sách bài tập Hình học 10 khác:
Bài 19 trang 203 Sách bài tập Hình học 10: Trong mặt phẳng tọa độ Oxy, cho hình chữ nhật ABCD....
Bài 20 trang 203 Sách bài tập Hình học 10: Trong mặt phẳng tọa độ Oxy, cho hai đường tròn....
Bài 21 trang 204 Sách bài tập Hình học 10: Trong mặt phẳng tọa độ Oxy, lập phương trình....
Bài 22 trang 204 Sách bài tập Hình học 10: Trong mặt phẳng tọa độ Oxy, cho hình chữ nhật ABCD....
Để học tốt lớp 10 các môn học sách mới:
- Giải bài tập Lớp 10 Kết nối tri thức
- Giải bài tập Lớp 10 Chân trời sáng tạo
- Giải bài tập Lớp 10 Cánh diều
Tủ sách VIETJACK shopee lớp 10-11 (cả 3 bộ sách):
Đã có app VietJack trên điện thoại, giải bài tập SGK, SBT Soạn văn, Văn mẫu, Thi online, Bài giảng....miễn phí. Tải ngay ứng dụng trên Android và iOS.
Theo dõi chúng tôi miễn phí trên mạng xã hội facebook và youtube:Nếu thấy hay, hãy động viên và chia sẻ nhé! Các bình luận không phù hợp với nội quy bình luận trang web sẽ bị cấm bình luận vĩnh viễn.
- Giải Tiếng Anh 10 Global Success
- Giải Tiếng Anh 10 Friends Global
- Giải sgk Tiếng Anh 10 iLearn Smart World
- Giải sgk Tiếng Anh 10 Explore New Worlds
- Lớp 10 - Kết nối tri thức
- Soạn văn 10 (hay nhất) - KNTT
- Soạn văn 10 (ngắn nhất) - KNTT
- Soạn văn 10 (siêu ngắn) - KNTT
- Giải sgk Toán 10 - KNTT
- Giải sgk Vật lí 10 - KNTT
- Giải sgk Hóa học 10 - KNTT
- Giải sgk Sinh học 10 - KNTT
- Giải sgk Địa lí 10 - KNTT
- Giải sgk Lịch sử 10 - KNTT
- Giải sgk Kinh tế và Pháp luật 10 - KNTT
- Giải sgk Tin học 10 - KNTT
- Giải sgk Công nghệ 10 - KNTT
- Giải sgk Hoạt động trải nghiệm 10 - KNTT
- Giải sgk Giáo dục quốc phòng 10 - KNTT
- Lớp 10 - Chân trời sáng tạo
- Soạn văn 10 (hay nhất) - CTST
- Soạn văn 10 (ngắn nhất) - CTST
- Soạn văn 10 (siêu ngắn) - CTST
- Giải Toán 10 - CTST
- Giải sgk Vật lí 10 - CTST
- Giải sgk Hóa học 10 - CTST
- Giải sgk Sinh học 10 - CTST
- Giải sgk Địa lí 10 - CTST
- Giải sgk Lịch sử 10 - CTST
- Giải sgk Kinh tế và Pháp luật 10 - CTST
- Giải sgk Hoạt động trải nghiệm 10 - CTST
- Lớp 10 - Cánh diều
- Soạn văn 10 (hay nhất) - Cánh diều
- Soạn văn 10 (ngắn nhất) - Cánh diều
- Soạn văn 10 (siêu ngắn) - Cánh diều
- Giải sgk Toán 10 - Cánh diều
- Giải sgk Vật lí 10 - Cánh diều
- Giải sgk Hóa học 10 - Cánh diều
- Giải sgk Sinh học 10 - Cánh diều
- Giải sgk Địa lí 10 - Cánh diều
- Giải sgk Lịch sử 10 - Cánh diều
- Giải sgk Kinh tế và Pháp luật 10 - Cánh diều
- Giải sgk Tin học 10 - Cánh diều
- Giải sgk Công nghệ 10 - Cánh diều
- Giải sgk Hoạt động trải nghiệm 10 - Cánh diều
- Giải sgk Giáo dục quốc phòng 10 - Cánh diều


Giải bài tập SGK & SBT
Tài liệu giáo viên
Sách
Khóa học
Thi online
Hỏi đáp

