Bài tập trắc nghiệm trang 215, 216 Sách bài tập Đại số 10
Ôn tập cuối năm
Bài tập trắc nghiệm trang 215, 216 Sách bài tập Đại số 10:
Bài 22: Tìm k sao cho phương trình sau đây có nghiệm kép: x2 + kx + 2k = 0.
A. k = 0; k = 8 B. k = 8
C. k = 10; k = 2 D. k = 0; k = 1
Lời giải:
Giả Δ = 0
Đáp án: A
Bài 23: Cho phương trình kx2 + (k + 5)x + k + 8 = 0.
Xác định k để phương trình có một nghiệm bằng -1
A. k = 1 B. k = -3
C. k = 2 D. k = 5
Lời giải:
Thay x = -1 vào phương trình.
Đáp án: B
Bài 24: Tính giá trị biểu thức
A. 1/8 B. -1/8
C. 1/5 D. 2/5
Lời giải:
Nhân biểu thức đã cho với sinπ/7.
Đáp án: A
Bài 25: Giá trị của biểu thức cos4a - sin4a.cot2a là:
A. 1/2 B. -1
C. -1/3 D. -2
Lời giải:
Áp dụng công thức cotx = cosx/sinx và cos2x = 2cos2x – 1.
Đáp án: B
Bài 26: Cho phương trình: 3x2 - 5x - 2 = 0
Tổng bình phương các nghiệm của nó là:
A. 13/25 B. 4/15
C. 37/9 D. 25/9
Lời giải:
x1 2 + x2 2 = (x1 + x2 )2 - 2x1 x2 = 37/9.
Đáp án: C
Bài 27: Cho phương trình x2 - 3x + 2 = 0, hãy tính tổng lập phương các nghiệm của nó.
A. 11 B. 15
C. 7 D. 9
Lời giải:
x1 3 + x2 3 = (x1 + x2 )( x1 2 - x1 x2 + x2 2)
= (x1 + x2 )[ (x1 + x2 )2-3x1 x2 ] = 9.
Đáp án: D
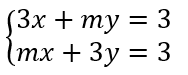
Bài 28: Với giá trị nào của tham số m, hệ phương trình
có vô số nghiệm?
A. m = 2 B. m = 3
C. m = 4 D. m = 5
Lời giải:
Đáp án: B
Bài 29: Biểu thức
bằng:
A. cos2a B. sin2a
C. tan2a D. cot2a
Lời giải:
Đáp án: B
Bài 30: Tập nghiệm của bất phương trình 3x2 - 7x + 4 ≤ 0 là:
A. [1; 4/3] B. (-∞; 1)
C. (4/3; +∞) D. Z
Lời giải:
Phương trình 3x^2 – 7x + 4 = 0 có hai nghiệm 1 và 4/3. Phần đồ thị của parabol y = 3x^2 – 7x + 4 ở giữa khoảng (1; 4/3) nằm dưới trục hoành.
Đáp án: A
Bài 31: Tập nghiệm của bất phương trình x2 - 3x + 5 > 0 là:
A. (-∞; 2) B. (0; +∞)
C. (-∞; +∞) D. ∅
Lời giải:
C
Đáp án: Vì x^2 – 3x + 5 = (x- 3/2)^2 + 11/4 > 0 ∀x ∈ R.
Bài 32: Tìm m để parabol (P) y = x2 - 4x + 3 + m đi qua điểm M(1; 3)
A. m = -5 B. m = 1
C. m = 2 D. m = 3
Lời giải:
(P) đi qua điểm M(1;3) ⇒ 3 = 1 – 4 + 3 + m ⇒ m = 3.
Đáp án: D
Bài 33: Tìm tất cả các giá trị của m để phương trình (m - 3)x + 2 - 3m = 0 có nghiệm.
A. m ≠ 2 B. m = 2
C. m ≠ 3 D. m = 4
Lời giải:
Đáp án: C
Bài 34: Cho đường thẳng (d): y = (m - 1)x + 3; (d'): y = (2 - m)x - 4
A. m = 3/2 B. m = 2/3
C. m = 1 D. m = -2
Lời giải:
Đáp án: A
Bài 35: Tính sin75ο.
Lời giải:
Đáp án: B
Bài 36: Biểu thức
bằng
A. cos a B. sin a
C. tan a D. cot a
Lời giải:
Đáp án: C
Đang biên soạn.
Các bài giải sách bài tập Đại số 10 khác:
Bài 19 trang 214 Sách bài tập Đại số 10: Không dùng bảng số và máy tính....
Bài 20 trang 214 Sách bài tập Đại số 10: Chứng minh rằng....
Để học tốt lớp 10 các môn học sách mới:
- Giải bài tập Lớp 10 Kết nối tri thức
- Giải bài tập Lớp 10 Chân trời sáng tạo
- Giải bài tập Lớp 10 Cánh diều
Tủ sách VIETJACK shopee lớp 10-11 (cả 3 bộ sách):
Đã có app VietJack trên điện thoại, giải bài tập SGK, SBT Soạn văn, Văn mẫu, Thi online, Bài giảng....miễn phí. Tải ngay ứng dụng trên Android và iOS.
Theo dõi chúng tôi miễn phí trên mạng xã hội facebook và youtube:Nếu thấy hay, hãy động viên và chia sẻ nhé! Các bình luận không phù hợp với nội quy bình luận trang web sẽ bị cấm bình luận vĩnh viễn.
- Giải Tiếng Anh 10 Global Success
- Giải Tiếng Anh 10 Friends Global
- Giải sgk Tiếng Anh 10 iLearn Smart World
- Giải sgk Tiếng Anh 10 Explore New Worlds
- Lớp 10 - Kết nối tri thức
- Soạn văn 10 (hay nhất) - KNTT
- Soạn văn 10 (ngắn nhất) - KNTT
- Soạn văn 10 (siêu ngắn) - KNTT
- Giải sgk Toán 10 - KNTT
- Giải sgk Vật lí 10 - KNTT
- Giải sgk Hóa học 10 - KNTT
- Giải sgk Sinh học 10 - KNTT
- Giải sgk Địa lí 10 - KNTT
- Giải sgk Lịch sử 10 - KNTT
- Giải sgk Kinh tế và Pháp luật 10 - KNTT
- Giải sgk Tin học 10 - KNTT
- Giải sgk Công nghệ 10 - KNTT
- Giải sgk Hoạt động trải nghiệm 10 - KNTT
- Giải sgk Giáo dục quốc phòng 10 - KNTT
- Lớp 10 - Chân trời sáng tạo
- Soạn văn 10 (hay nhất) - CTST
- Soạn văn 10 (ngắn nhất) - CTST
- Soạn văn 10 (siêu ngắn) - CTST
- Giải Toán 10 - CTST
- Giải sgk Vật lí 10 - CTST
- Giải sgk Hóa học 10 - CTST
- Giải sgk Sinh học 10 - CTST
- Giải sgk Địa lí 10 - CTST
- Giải sgk Lịch sử 10 - CTST
- Giải sgk Kinh tế và Pháp luật 10 - CTST
- Giải sgk Hoạt động trải nghiệm 10 - CTST
- Lớp 10 - Cánh diều
- Soạn văn 10 (hay nhất) - Cánh diều
- Soạn văn 10 (ngắn nhất) - Cánh diều
- Soạn văn 10 (siêu ngắn) - Cánh diều
- Giải sgk Toán 10 - Cánh diều
- Giải sgk Vật lí 10 - Cánh diều
- Giải sgk Hóa học 10 - Cánh diều
- Giải sgk Sinh học 10 - Cánh diều
- Giải sgk Địa lí 10 - Cánh diều
- Giải sgk Lịch sử 10 - Cánh diều
- Giải sgk Kinh tế và Pháp luật 10 - Cánh diều
- Giải sgk Tin học 10 - Cánh diều
- Giải sgk Công nghệ 10 - Cánh diều
- Giải sgk Hoạt động trải nghiệm 10 - Cánh diều
- Giải sgk Giáo dục quốc phòng 10 - Cánh diều


Giải bài tập SGK & SBT
Tài liệu giáo viên
Sách
Khóa học
Thi online
Hỏi đáp

