Bài tập trắc nghiệm trang 74, 75, 76 Sách bài tập Đại số 10
Bài 3: Phương trình và hệ phương trình bậc nhất nhiều ẩn
Bài tập trắc nghiệm trang 74, 75, 76 Sách bài tập Đại số 10:
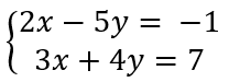
Bài 3.32: Hệ phương trình sau có nghiệm là:
Lời giải:
Cách giải hệ hai phương trình bậc nhất hai ẩn khá đơn giản nhưng tốn thời gian.
- Nếu dùng máy tính cầm tay thì có thể tìm ngay ra đáp số.
- Đối với bài này, có thể xét từng phương án. Với phương án A thì vế trái của phương trình đầu dương, còn vế phải âm nên phương án A bị loại. Với phương án B thì vế trái của phương trình thứ hai âm, còn vế phải dương nên phương án B bị loại. Phương án D có các giá trị nguyên nên tính toán dễ, thay vào thấy phương trình đầu thỏa mãn nhưng phương trình thứ hai thì không.
Đáp án: C
Bài 3.33: Nghiệm của hệ phương trình sau là:
A. x = 2, y = -3 B. x = -2, y = 3
C. x = -1, y = -2 D. x = 1, y = 5
Lời giải:
Chú ý. Đối với những hệ phương trình có hệ số thập phân như thế này ta nên nhân với 10 để có hệ phương trình hệ số nguyên:
Thay vào ta thấy phương án A sai, còn phương án B đúng. Vậy đáp án là B.
Đáp án: B
Bài 3.34: Hệ phương trình sau vô nghiệm khi tham số m nhận giá trị:
A. m = 4 B. m = -3
C. m = 2 D. m = -12
Lời giải:
Phương trình cuối vô nghiệm khi m = -12.
Đáp án: D
Bài 3.35: Một công ti kinh doanh xe buýt có 35 xe gồm hai loại: loại xe chở được 45 khách và loại xe chở được 12 khách. Nếu dùng tất cả số xe đó tối đa công ti chở một lần được 1113 khách. Vậy công ti có số xe mỗi loại là:
A. 20 xe 45 chỗ, 15 xe 12 chỗ.
B. 17 xe 45 chỗ, 18 xe 12 chỗ.
C. 21 xe 45 chỗ, 14 xe 12 chỗ.
D. 19 xe 45 chỗ, 16 xe 12 chỗ.
Lời giải:
Gọi x là số xe chở được 45 khách, y là số xe chở được 12 khách. Ta có hệ phương trình
Nếu dùng máy tính cầm tay, ta nhập hệ phương trình vào máy, sẽ cho ngay kết quả là phương án C.
Nếu không dùng máy tính, ta có thể xét các phương án, với nhận xét là số xe 45 chỗ càng nhiều thì tổng số khách trở được càng lớn. Bắt đầu từ phương án A vì có số xe 45 chỗ là 20 dễ tính nhẩm, ta được tổng số khách chở được là 1080, ít hơn số 1113, nên phương án A bị loại. Các phương án B và D có số xe 45 chỗ ít hơn 20 nên số khách chở được càng ít hơn, nên B và D cũng bị loại.
Đáp án: C
Bài 3.36: Hệ phương trình
có nghiệm là:
Lời giải:
Nếu dùng máy tính cầm tay, ta nhập hệ phương trình vào máy, sẽ cho ngay kết quả là phương án A. Còn nếu không dùng máy tính, ta có thể nhìn vào dấu của nghiệm trong các phương án và dấu của các hệ số trong hệ phương trình để ước lượng.
Phương án B sai vì với x < 0, y > 0, z > 0 thì vế trái của phương trình thứ nhất âm, trong khi vế phải dương. Tương tự, phương án C bị loại nếu xét đến phương trình thứ hai, còn phương án D bị loại nếu xét đến phương trình thứ ba.
Đáp án: A
Bài 3.37: Một khách sạn có 102 phòng gồm ba loại: phòng 3 người, phòng 2 người và phòng 1 người. Nếu đầy khách tất cả các phòng thì khách sạn đón được 211 khách. Còn nếu cải tạo lại các phòng bằng cách: sửa các phòng 2 người thành 3 người, còn phòng 3 người sửa lại thành phòng 2 người và giữ nguyện phòng 1 người thì tối đa một lần có thể đón 224 khách.
Vậy số phòng từng loại hiện nay của khách sạn là:
A. 50 phòng 3 người, 41 phòng 2 người, 11 phòng 1 người.
B. 32 phòng 3 người, 45 phòng 2 người, 25 phòng 1 người.
C. 41 phòng 3 người, 51 phòng 2 người, 10 phòng 1 người.
D. 25 phòng 3 người, 59 phòng 2 người, 18 phòng 1 người.
Lời giải:
Gọi x là số phòng 3 người, y là số phòng 2 người, z là số phòng 1 người, ta được hệ phương trình
Cách 1. Dùng máy tính cầm tay.
Cách 2. Khử z để đưa về hệ phương trình hai ẩn. Trừ vế theo vế phương trình (2) cho phương trình (1) và phương trình (2) cho phương trình (3) ta được hệ phương trình
Từ đó thay vào (1) ta được z = 25.
Vậy đáp án là B.
Cách 3. Tính nhẩm.
Với phương án A, vế trái của phương trình (2) bằng 243 nên bị loại. Với phương án C, vế trái của phương trình (3) bằng 245 nên bị loại. Tương tự với phương án D, vế trái của phương trình (3) bằng 245 nên loại.
Đáp án: B
Bài 3.38: Một số có ba chữ số. Nếu lấy số đó chia cho tổng các chữ số của nó thì được thương là 17 và dư 5. Nếu đổi hai chữ số hàng chục và hàng trăm cho nhau thì được số mới mà chia cho tổng các chữ số của nó thì được thương là 30 và dư là 4. Nếu đổi hai chữ số hàng chục và hàng đơn vị của số mới này cho nhau thì được một số mà chia cho tổng các chữ số của nó thì được thương là 34 và dư là 3. Vậy số đã cho ban đầu là:
A. 172 B. 296
C. 124 D. 587
Lời giải:
Gọi ba chữ số của số đó theo thứ tự hàng trăm, hàng chục, hàng đơn vị là a, b, c (0 < a ≤ 9; 0 ≤ b, c ≤ 9). Ta được hệ phương trình
Giải hệ phương trình này tốn nhiều thời gian, không đáp ứng yêu cầu của một bài trắc nghiệm.
Do đó ta phải xét các phương án
- Với phương án A, tổng các chữ số là 10, do đó chia 172 cho 10 được thương là 17 và dư là 2 nên phương án A bị loại.
- Với phương án B, tổng các chữ số là 17. Đổi chữ số hàng trăm cho chữ số hàng chục ta được số 926, số này chia cho 17 không thể có thương là 30, nên phương án B bị loại.
- Với phương án D, nếu đổi chữ số hàng trăm với chữ số hàng chục ta được 857, chia số này cho tổng các chữ số là 20 không thể có thương là 34 nên phương án D bị loại.
Đáp án: C
Các bài giải sách bài tập Đại số 10 khác:
Bài 3.28 trang 74 Sách bài tập Đại số 10: Giải các hệ phương trình sau bằng....
Bài 3.29 trang 74 Sách bài tập Đại số 10: Giải các hệ phương trình sau bằng....
Bài 3.30 trang 74 Sách bài tập Đại số 10: Một chủ của hàng bán lẻ mang 1500000 đồng....
Bài 3.31 trang 74 Sách bài tập Đại số 10: Tìm giá trị của m để các hệ phương trình....
Để học tốt lớp 10 các môn học sách mới:
- Giải bài tập Lớp 10 Kết nối tri thức
- Giải bài tập Lớp 10 Chân trời sáng tạo
- Giải bài tập Lớp 10 Cánh diều
Tủ sách VIETJACK shopee lớp 10-11 (cả 3 bộ sách):
Đã có app VietJack trên điện thoại, giải bài tập SGK, SBT Soạn văn, Văn mẫu, Thi online, Bài giảng....miễn phí. Tải ngay ứng dụng trên Android và iOS.
Theo dõi chúng tôi miễn phí trên mạng xã hội facebook và youtube:Nếu thấy hay, hãy động viên và chia sẻ nhé! Các bình luận không phù hợp với nội quy bình luận trang web sẽ bị cấm bình luận vĩnh viễn.
- Giải Tiếng Anh 10 Global Success
- Giải Tiếng Anh 10 Friends Global
- Giải sgk Tiếng Anh 10 iLearn Smart World
- Giải sgk Tiếng Anh 10 Explore New Worlds
- Lớp 10 - Kết nối tri thức
- Soạn văn 10 (hay nhất) - KNTT
- Soạn văn 10 (ngắn nhất) - KNTT
- Soạn văn 10 (siêu ngắn) - KNTT
- Giải sgk Toán 10 - KNTT
- Giải sgk Vật lí 10 - KNTT
- Giải sgk Hóa học 10 - KNTT
- Giải sgk Sinh học 10 - KNTT
- Giải sgk Địa lí 10 - KNTT
- Giải sgk Lịch sử 10 - KNTT
- Giải sgk Kinh tế và Pháp luật 10 - KNTT
- Giải sgk Tin học 10 - KNTT
- Giải sgk Công nghệ 10 - KNTT
- Giải sgk Hoạt động trải nghiệm 10 - KNTT
- Giải sgk Giáo dục quốc phòng 10 - KNTT
- Lớp 10 - Chân trời sáng tạo
- Soạn văn 10 (hay nhất) - CTST
- Soạn văn 10 (ngắn nhất) - CTST
- Soạn văn 10 (siêu ngắn) - CTST
- Giải Toán 10 - CTST
- Giải sgk Vật lí 10 - CTST
- Giải sgk Hóa học 10 - CTST
- Giải sgk Sinh học 10 - CTST
- Giải sgk Địa lí 10 - CTST
- Giải sgk Lịch sử 10 - CTST
- Giải sgk Kinh tế và Pháp luật 10 - CTST
- Giải sgk Hoạt động trải nghiệm 10 - CTST
- Lớp 10 - Cánh diều
- Soạn văn 10 (hay nhất) - Cánh diều
- Soạn văn 10 (ngắn nhất) - Cánh diều
- Soạn văn 10 (siêu ngắn) - Cánh diều
- Giải sgk Toán 10 - Cánh diều
- Giải sgk Vật lí 10 - Cánh diều
- Giải sgk Hóa học 10 - Cánh diều
- Giải sgk Sinh học 10 - Cánh diều
- Giải sgk Địa lí 10 - Cánh diều
- Giải sgk Lịch sử 10 - Cánh diều
- Giải sgk Kinh tế và Pháp luật 10 - Cánh diều
- Giải sgk Tin học 10 - Cánh diều
- Giải sgk Công nghệ 10 - Cánh diều
- Giải sgk Hoạt động trải nghiệm 10 - Cánh diều
- Giải sgk Giáo dục quốc phòng 10 - Cánh diều


Giải bài tập SGK & SBT
Tài liệu giáo viên
Sách
Khóa học
Thi online
Hỏi đáp

