Bài 2.49 trang 85 SBT Đại số và Giải tích 11
Bài 5: Xác suất của biến cố
Bài 2.49 trang 85 Sách bài tập Đại số 11: Kết quả (b,c)của việc gieo con súc sắc cân đối và đồng chất hai lần, trong đó b là số chấm xuất hiện trong lần gieo đầu, c là số chấm xuất hiện ở lần gieo thứ hai, được thay vào phương trình bậc hai x2 + bx + c = 0
Tính xác suất để
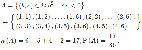
a) Phương trình vô nghiệm;
b) Phương trình có nghiệm kép;
c) Phương trình có nghiệm.
Lời giải:
Không gian mẫu Ω = {(b, c): 1 ≤ b, c ≤ 6}. Kí hiệu A, B, C là các biến cố cần tìm xác suấtứng với các câu a), b), c). Ta có Δ = b2 − 4c
a)
b)
c)
Các bài giải sách bài tập Đại số & Giải tích 11 khác:
- Bài 2.50 trang 85 Sách bài tập Đại số 11: Một hộp chứa 10 quả cầu được đánh số....
- Bài 2.51 trang 85 Sách bài tập Đại số 11: Trong kì kiểm tra chất lượng ở hai khối....
- Bài 2.52 trang 86 Sách bài tập Đại số 11: Cho A và B là hai biến cố độc lập....
- Bài tập trắc nghiệm trang 86 Sách bài tập Đại số 11: Bài 2.54: Có 30 đề thi trong đó có 10 đề khó....
Tủ sách VIETJACK shopee lớp 10-11 (cả 3 bộ sách):
Đã có app VietJack trên điện thoại, giải bài tập SGK, SBT Soạn văn, Văn mẫu, Thi online, Bài giảng....miễn phí. Tải ngay ứng dụng trên Android và iOS.
Theo dõi chúng tôi miễn phí trên mạng xã hội facebook và youtube:Nếu thấy hay, hãy động viên và chia sẻ nhé! Các bình luận không phù hợp với nội quy bình luận trang web sẽ bị cấm bình luận vĩnh viễn.
- Giải Tiếng Anh 11 Global Success
- Giải sgk Tiếng Anh 11 Smart World
- Giải sgk Tiếng Anh 11 Friends Global
- Lớp 11 - Kết nối tri thức
- Soạn văn 11 (hay nhất) - KNTT
- Soạn văn 11 (ngắn nhất) - KNTT
- Giải sgk Toán 11 - KNTT
- Giải sgk Vật Lí 11 - KNTT
- Giải sgk Hóa học 11 - KNTT
- Giải sgk Sinh học 11 - KNTT
- Giải sgk Lịch Sử 11 - KNTT
- Giải sgk Địa Lí 11 - KNTT
- Giải sgk Giáo dục KTPL 11 - KNTT
- Giải sgk Tin học 11 - KNTT
- Giải sgk Công nghệ 11 - KNTT
- Giải sgk Hoạt động trải nghiệm 11 - KNTT
- Giải sgk Giáo dục quốc phòng 11 - KNTT
- Giải sgk Âm nhạc 11 - KNTT
- Lớp 11 - Chân trời sáng tạo
- Soạn văn 11 (hay nhất) - CTST
- Soạn văn 11 (ngắn nhất) - CTST
- Giải sgk Toán 11 - CTST
- Giải sgk Vật Lí 11 - CTST
- Giải sgk Hóa học 11 - CTST
- Giải sgk Sinh học 11 - CTST
- Giải sgk Lịch Sử 11 - CTST
- Giải sgk Địa Lí 11 - CTST
- Giải sgk Giáo dục KTPL 11 - CTST
- Giải sgk Hoạt động trải nghiệm 11 - CTST
- Giải sgk Âm nhạc 11 - CTST
- Lớp 11 - Cánh diều
- Soạn văn 11 Cánh diều (hay nhất)
- Soạn văn 11 Cánh diều (ngắn nhất)
- Giải sgk Toán 11 - Cánh diều
- Giải sgk Vật Lí 11 - Cánh diều
- Giải sgk Hóa học 11 - Cánh diều
- Giải sgk Sinh học 11 - Cánh diều
- Giải sgk Lịch Sử 11 - Cánh diều
- Giải sgk Địa Lí 11 - Cánh diều
- Giải sgk Giáo dục KTPL 11 - Cánh diều
- Giải sgk Tin học 11 - Cánh diều
- Giải sgk Công nghệ 11 - Cánh diều
- Giải sgk Hoạt động trải nghiệm 11 - Cánh diều
- Giải sgk Giáo dục quốc phòng 11 - Cánh diều
- Giải sgk Âm nhạc 11 - Cánh diều


Giải bài tập SGK & SBT
Tài liệu giáo viên
Sách
Khóa học
Thi online
Hỏi đáp

