Bài tập trắc nghiệm trang 203, 204, 205 SBT Đại số và Giải tích 11
Bài 2: Quy tắc tính đạo hàm
Bài tập trắc nghiệm trang 203, 204, 205 Sách bài tập Đại số 11:
Bài 5.30: Tính y', biết y = x5 - 4x3 - x2 + x/2
A. y' = 5x4 - 12x2 - 2x + 1/2
B. y' = 5x4 - 10x2 + 1/2
C. y' = 5x4 - 2x
D. y' = 5x4 + 12x4 - 2x - 1/2
Lời giải:
Chọn đáp án: A
Bài 5.31:
. Tìm y'.
Lời giải:
Chọn đáp án: B
Bài 5.32: Tính đạo hàm của hàm số
Lời giải:
Chọn đáp án: B
Bài 5.33: Cho hàm số
. Tính y'.
Lời giải:
Chọn đáp án: D
Bài 5.34: Cho f(x) = 5 - 3x - x2. Tính f'(0), f'(-2).
A. -3; 0 B. -2; 1 C. -3; 1 D. 3; 2
Lời giải:
Chọn đáp án: C
Bài 5.35: Cho hàm số
. Tìm y'.
Lời giải:
Chọn đáp án: D
Bài 5.36: Cho f(x) = x5 + x3 - 2x + 3. Tính f'(1), f'(0).
A. 6; 2 B. 6; -2 C. 6; 6 D. -2; 6
Lời giải:
Chọn đáp án: B
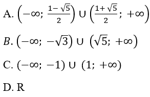
Bài 5.37: Giải bất phương trình φ'(x) < 0 với
Lời giải:
Chọn đáp án: A
Bài 5.38: Tính h'(x), biết rằng
A. 2 B. -1 C. 1/2 D. 4
Lời giải:
Chọn đáp án: D
Các bài giải sách bài tập Đại số & Giải tích 11 khác:
- Bài 5.26 trang 203 Sách bài tập Đại số 11: Tính φ'(2), biết rằng φ(x)....
- Bài 5.27 trang 203 Sách bài tập Đại số 11: Chứng minh rằng nếu S(r) là diện tích....
- Bài 5.28 trang 203 Sách bài tập Đại số 11: Chứng minh rằng nếu V(R) là thể tích....
- Bài 5.29 trang 203 Sách bài tập Đại số 11: Giả sử V là thể tích hình trụ tròn xoay....
Tủ sách VIETJACK shopee lớp 10-11 (cả 3 bộ sách):
Đã có app VietJack trên điện thoại, giải bài tập SGK, SBT Soạn văn, Văn mẫu, Thi online, Bài giảng....miễn phí. Tải ngay ứng dụng trên Android và iOS.
Theo dõi chúng tôi miễn phí trên mạng xã hội facebook và youtube:Nếu thấy hay, hãy động viên và chia sẻ nhé! Các bình luận không phù hợp với nội quy bình luận trang web sẽ bị cấm bình luận vĩnh viễn.
- Giải Tiếng Anh 11 Global Success
- Giải sgk Tiếng Anh 11 Smart World
- Giải sgk Tiếng Anh 11 Friends Global
- Lớp 11 - Kết nối tri thức
- Soạn văn 11 (hay nhất) - KNTT
- Soạn văn 11 (ngắn nhất) - KNTT
- Giải sgk Toán 11 - KNTT
- Giải sgk Vật Lí 11 - KNTT
- Giải sgk Hóa học 11 - KNTT
- Giải sgk Sinh học 11 - KNTT
- Giải sgk Lịch Sử 11 - KNTT
- Giải sgk Địa Lí 11 - KNTT
- Giải sgk Giáo dục KTPL 11 - KNTT
- Giải sgk Tin học 11 - KNTT
- Giải sgk Công nghệ 11 - KNTT
- Giải sgk Hoạt động trải nghiệm 11 - KNTT
- Giải sgk Giáo dục quốc phòng 11 - KNTT
- Giải sgk Âm nhạc 11 - KNTT
- Lớp 11 - Chân trời sáng tạo
- Soạn văn 11 (hay nhất) - CTST
- Soạn văn 11 (ngắn nhất) - CTST
- Giải sgk Toán 11 - CTST
- Giải sgk Vật Lí 11 - CTST
- Giải sgk Hóa học 11 - CTST
- Giải sgk Sinh học 11 - CTST
- Giải sgk Lịch Sử 11 - CTST
- Giải sgk Địa Lí 11 - CTST
- Giải sgk Giáo dục KTPL 11 - CTST
- Giải sgk Hoạt động trải nghiệm 11 - CTST
- Giải sgk Âm nhạc 11 - CTST
- Lớp 11 - Cánh diều
- Soạn văn 11 Cánh diều (hay nhất)
- Soạn văn 11 Cánh diều (ngắn nhất)
- Giải sgk Toán 11 - Cánh diều
- Giải sgk Vật Lí 11 - Cánh diều
- Giải sgk Hóa học 11 - Cánh diều
- Giải sgk Sinh học 11 - Cánh diều
- Giải sgk Lịch Sử 11 - Cánh diều
- Giải sgk Địa Lí 11 - Cánh diều
- Giải sgk Giáo dục KTPL 11 - Cánh diều
- Giải sgk Tin học 11 - Cánh diều
- Giải sgk Công nghệ 11 - Cánh diều
- Giải sgk Hoạt động trải nghiệm 11 - Cánh diều
- Giải sgk Giáo dục quốc phòng 11 - Cánh diều
- Giải sgk Âm nhạc 11 - Cánh diều


Giải bài tập SGK & SBT
Tài liệu giáo viên
Sách
Khóa học
Thi online
Hỏi đáp

