Bài tập trắc nghiệm trang 135, 136, 137, 138, 139 Sách bài tập Hình học 12
Câu hỏi trắc nghiệm chương 3
Bài tập trắc nghiệm trang 135, 136, 137, 138, 139 Sách bài tập Hình học 12:
Các bài tập dưới đây cho trong không gian Oxyz
Bài 3.68: Cho mặt phẳng (α) đi qua hai điểm E(4; -1; 1), F(3; 1; -1) và song song với trục Ox. Phương trình tổng quát của (α) là:
A. x + y = 0 B. y + z = 0
C. x + y + z = 0 D. x + z = 0
Bài 3.69: Gọi (α) là mặt phẳng đi qua hai điểm A(1; 2; 3) và song song với mặt phẳng (β): x - 4y + z + 12 = 0. Phương trình tổng quát của (α) là:
A. x - 4y + z + 4 = 0 B. x - 4y + z - 4 = 0
C. x - 4y + z - 12 = 0 D. x - 4y + z + 3 = 0
Bài 3.70: Cho điểm I(2; 6; -3) và các mặt phẳng:
(α): x - 2 = 0
(β): y - 6 = 0
(γ): z + 3 = 0
Khẳng định nào sau đây là sai?
A. (α) đi qua I B. (β) // (xOz)
C. (γ) // Oz D. (α) ⊥ (β)
Bài 3.71: Phương trình của mặt phẳng chứa Oy và điểm Q(1; 4; -3) là:
A. 3x + z = 0 B. x + 3z = 0
C. 3x + y = 0 D. 3x - z = 0
Bài 3.72: Cho mặt phẳng (α): 2y + z = 0. Khẳng định nào sau đây là đúng?
A. (α) // Ox B. (α) // Oy
C. (α) // (yOz) D. (α) ⊃ Ox.
Bài 3.73: Cho ba điểm A(2; 1; -1), B(-1; 0; 4), C(0; -2; -1). Phương trình của mặt phẳng đi qua điểm A và vuông góc với đường thẳng BC là:
A. x - 2y - 5z + 5 = 0 B. x - 2y - 5z - 5 = 0
C. x - 2y - 5z = 0 D. 2x - y + 5z - 5 = 0
Bài 3.74: Gọi (γ) là mặt phẳng đi qua điểm M(3; -1; -5) và vuông góc với hai mặt phẳng: (α): 3x - 2y + 2z + 7 = 0, (β): 5x - 4y + 3z + 1 = 0.
Phương trình tổng quát của (γ) là:
A. 2x + y - 2z - 15 = 0 B. 2x + y - 2z + 15 = 0
C. x + y + z + 3 = 0 D. 2x + y - 2z - 16 = 0
Bài 3.75: Cho đường thẳng d có phương trình tham số:
Phương trình chính tắc của d là:
C. x - 2 = y = z + 3
D. x + 2 = y = z - 3
Bài 3.76: Cho đường thẳng d có phương trình tham số:
Phương trình chính tắc của d là:
C. 2x + y + z - 5 = 0
D. x + y + z - 3 = 0
Bài 3.77: Phương trình chính tắc của đường thẳng đi qua hai điểm A(1; 2; -3) và B(3; -1; 1) là:
Bài 3.78: Tọa độ giao điểm M của đường thẳng d và mặt phẳng (α): 3x + 5y - z - 2 = 0 là:
A. (1; 0; 1) B. (0; 0; -2)
C. (1; 1; 6) D. (12; 9; 1)
Bài 3.79: Cho đường thẳng d và mặt phẳng (α): x + 3y + z + 1 = 0
Khẳng định nào sau đây là đúng?
A. d // (α) B. d cắt (α)
C. d ⊂ (α) D. d ⊥ (α)
Bài 3.80: Cho đường thẳng d và mặt phẳng (α): x + y + z - 4 = 0
Khẳng định nào sau đây là đúng?
A. d cắt (α) B. d // (α)
C. d ⊂ (α) D. d ⊥ (α)
Bài 3.81: Hãy tìm kết luận đúng về vị trí tương đối giữa hai đường thẳng:
A. d cắt d' B. d ≡ d'
C. d chéo với d' D. d // d'
Bài 3.82: Giao điểm giữa hai đường thẳng:
A. (-3; -2; 6) B. (5; -1; 20)
C. (3; 7; 18) D. (3; -2; 1)
Bài 3.83: Tìm m để hai đường thẳng sau đây cắt nhau:
A. m = 0 B. m = 1
C. m = -1 D. m = 2
Bài 3.84: Khoảng cách từ điểm M(-2; -4; 3) đến mặt phẳng (α): 2x - y + 2z - 3 = 0 là:
A. 3 B. 2
C. 1 D. 11
Bài 3.85: Gọi H là hình chiếu vuông góc của điểm A(2; -1; -1) đến mặt phẳng (α): 16x - 12y - 15z - 4 = 0. Độ dài của đoạn AH là:
A. 55 B. 11/5
C. 11/25 D. 22/5
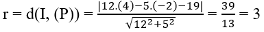
Bài 3.86: Cho mặt cầu tâm I(4; 2; -2) bán kính r tiếp xúc với mặt phẳng (P): 12x - 5z - 19 = 0. Bán kính r bằng:
A. 39 B. 3
C. 13 D. 39/√(13)
Bài 3.87: Cho hai mặt phẳng song song:
(α): x + y - z + 5 = 0
và (β): 2x + 2y - 2z + 3 = 0
Khoảng cách giữa (α) và (β) là:
A. 2/(√3) B. 2
C. 7/2 D. 7/(2√3)
Bài 3.88: Khoảng cách từ điểm M(2; 0; 1) đến đường thẳng d là:
A. √(12) B. √3
C. √2 D. 12/(√6)
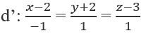
Bài 3.89: Bán kính của mặt cầu tâm I(1; 3; 5) và tiếp xúc với đường thẳng là:
A. √(14) B. 14
C. √7 D. 7
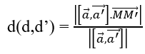
Bài 3.90: Khoảng cách giữa hai đường thẳng:
A. √6 B. (√6)/2
C. 1/(√6) D. √2
Bài 3.91: Tọa độ hình chiếu vuông góc của điểm M(2; 0; 1) trên đường thẳng
A. (1; 0; 2) B. (2; 2; 3)
C. (0; -2; 1) D. (-1; -4; 0)
Bài 3.92: Cho mặt phẳng (α): 3x - 2y - z + 5 = 0
và đường thẳng
Gọi (β) là mặt phẳng chứa Δ và song song với (α). Khoảng cách giữa (α) và (β) là:
A. 9/14 B. 9/(√(14))
C. 3/14 D. 3/(√(14))
Lời giải:
Đáp án và hướng dẫn giải
| 3.68. B | 3.69. A | 3.70. C | 3.71. A | 3.72. D |
| 3.73. B | 3.74. A | 3.75. A | 3.76. B | 3.77. C |
| 3.78. B | 3.79. A | 3.80. C | 3.81. D | 3.82. C |
| 3.83. A | 3.84. C | 3.85. B | 3.86. B | 3.87. D |
| 3.88. C | 3.89. A | 3.90. B | 3.91. A | 3.92. B |
Bài 3.68: Chọn B.
Mặt phẳng (α) có hai vectơ chỉ phương là
EF→ = (-1; 2; -2) và j→ = (1; 0; 0)
nên vectơ pháp tuyến n→ = [EF→, i→] = (0; -2; -2) = -2(0; 1; 1)
Suy ra phương trình (α) là y + z = 0.
Bài 3.69: Chọn A.
(α) có vectơ pháp tuyến là (1; -4; 1) và đi qua điểm A nên có phương trình là (x - 1) - 4(y - 2) + (z - 3) = 0 hay x - 4y + z + 4 = 0
Bài 3.70: Chọn C.
(γ) vuông góc với Oz, vậy mệnh đề (γ) // Oz sai.
Bài 3.71: Chọn A.
Mặt phẳng chứa trục Oy và điểm Q sẽ có hai vectơ chỉ phương là: OQ→ = (1; 4; -3) và j→ = (0; 1; 0) nên có vectơ pháp tuyến là [OQ→, j→] = (3; 0; 1)
Và mặt phẳng đi qua gốc O nên có phương trình là: 3x + z = 0
Bài 3.72: Chọn D.
Mặt phẳng (α) chứa điểm O và có vectơ (0; 2; 1) vuông góc với i→ = (1; 0; 0) nên (α) ⊃ Ox
Bài 3.73: Chọn B.
Mặt phẳng (α) chứa điểm A và có vectơ pháp tuyến là BC→ = (1; -2; -5) nên có phương trình là:
1(x - 2) - 2(y - 1) - 5(z + 1) = 0 hay x - 2y - 5z - 5 = 0
Bài 3.74: Chọn A.
Mặt phẳng (γ) có hai vectơ chỉ phương là (3; -2; 2) và (5; -4; 3) nên có vectơ pháp tuyến là (2; 1; -2). Phương trình (γ) có dạng là:
2(x - 3) - 2(y - 1) - 5(z + 1) = 0 hay 2x + y - 2z - 15 = 0
Bài 3.75: Chọn A.
Đường thẳng d đi qua điểm M(2; 0; -3) và có vectơ chỉ phương là a→ nên phương trình chính tắc là:
Bài 3.76: Chọn B.
Đường thẳng d đi qua điểm M(2; 1; 0) và có vectơ chỉ phương là a→ = (-1; 1; 1) nên có phương trình chính tắc là:
Bài 3.77: Chọn C.
Đường thẳng AB đi qua điểm A(1; 2; -3) và có vectơ chỉ phương là a→ = (-1; 1; 1) nên có phương trình chính tắc là:
Bài 3.78: Chọn B.
Thay tọa độ điểm M(12 + 4t; 9 + 3t; 1 + t) thuộc d vào phương trình mặt phẳng (α), ta được phương trình theo t:
3(12 + 4t) + 5(9 + 3t) - (1 + t) - 2 = 0. Giải phương trình ta được t = -3.
Vậy d cắt (α) tại M(0; 0; -2).
Bài 3.79: Chọn A.
Đường thẳng d có vectơ chỉ phương là (1; -1; 2) vuông góc với vectơ pháp tuyến (1; 3; 1) của mặt phẳng (α) và điểm cố định M(1; 2; 1) của d không thuộc (α). Vậy d // (α)
Bài 3.80: Chọn C.
Đường thẳng d có vectơ chỉ phương là (1; 2; -3) vuông góc với vectơ pháp tuyến (1; 1; 1) của mặt phẳng (α) và điểm cố định M(1; 1; 2) của d nằm trên (α). Vậy d ⊂ (α)
Bài 3.81: Chọn D.
Hai đường thẳng d và d' có hai vectơ chỉ phương tỉ lệ:
(2; 2; -2) = 2(1; 1; -1) và một điểm của đường này không nằm trên đường kia. Suy ra d // d'.
Bài 3.82: Chọn C.
Giải hệ phương trình:
Ta được t = 3; t' = -2. Vậy giao điểm của d và d' là M(3; 7; 18).
Bài 3.83: Chọn A.
Hai đường thẳng d và d' có hai vectơ chỉ phương không tỉ lệ là:
a→ = (m; 1; 2), a'→ = (-1; 2; -1).
Hai điểm M(1; 0; -1) và M'(1; 2; 3) lần lượt thuộc d và d'.
Ta có MM'→ = (0; 2; 4)
d và d' cắt nhau ⇔ [a→.a'→].MM'→ = 0
⇔ 2(m - 2) + 4(2m + 1) = 0
⇔ m = 0
Bài 3.84: Chọn C.
Ta có:
Bài 3.85: Chọn B.
Ta có:
Bài 3.86: Chọn B.
Mặt cầu tâm I bán kính r tiếp xúc với mặt phẳng (P) khi
Bài 3.87: Chọn D.
Lấy điểm M(0; 0; 5) thuộc (α). Ta có khoảng cách giữa (α) và (β) bằng khoảng cách từ M đến (β) và bằng 7/(2√3).
Bài 3.88: Chọn C.
Lấy điểm A(1; 0; 2) trên d và một vectơ chỉ phương của d là a→ = (1; 2; 1)
AM→ = (1; 0; -1)
Bài 3.89: Chọn A.
Bán kính của mặt cầu tâm I(1; 3; 5) và tiếp xúc với đường thẳng d bằng khoảng cách từ I đến d bằng √(14).
Bài 3.90: Chọn B.
d đi qua điểm M(1; -1; 1) và có vectơ chỉ phương a→ = (2; -1; 0);
d' đi qua điểm M'(2; -2; 3) và có vectơ chỉ phương a'→ = (-1; 1; 1)
Dùng công thức:
Ta được khoảng cách giữa hai đường thẳng d và d' bằng (√6)/2.
Bài 3.91: Chọn A.
Đường thẳng Δ:
có phương trình tham số là:
Gọi H(1 + t; 2t; 2 + t) là một điểm trên Δ. Ta có: H là hình chiếu vuông góc của M trên Δ khi: MH→.aΔ→ = 0. Ta tìm được t = 0. Suy ra H(1; 0; 2)
Bài 3.92: Chọn B.
Khoảng cách giữa (α) và (β) bằng khoảng cách từ điểm M(1; 7; 3) trên (β) đến (α). Ta có:
Đã có app VietJack trên điện thoại, giải bài tập SGK, SBT Soạn văn, Văn mẫu, Thi online, Bài giảng....miễn phí. Tải ngay ứng dụng trên Android và iOS.
Theo dõi chúng tôi miễn phí trên mạng xã hội facebook và youtube:Nếu thấy hay, hãy động viên và chia sẻ nhé! Các bình luận không phù hợp với nội quy bình luận trang web sẽ bị cấm bình luận vĩnh viễn.
- Giải Tiếng Anh 12 Global Success
- Giải sgk Tiếng Anh 12 Smart World
- Giải sgk Tiếng Anh 12 Friends Global
- Lớp 12 Kết nối tri thức
- Soạn văn 12 (hay nhất) - KNTT
- Soạn văn 12 (ngắn nhất) - KNTT
- Giải sgk Toán 12 - KNTT
- Giải sgk Vật Lí 12 - KNTT
- Giải sgk Hóa học 12 - KNTT
- Giải sgk Sinh học 12 - KNTT
- Giải sgk Lịch Sử 12 - KNTT
- Giải sgk Địa Lí 12 - KNTT
- Giải sgk Giáo dục KTPL 12 - KNTT
- Giải sgk Tin học 12 - KNTT
- Giải sgk Công nghệ 12 - KNTT
- Giải sgk Hoạt động trải nghiệm 12 - KNTT
- Giải sgk Giáo dục quốc phòng 12 - KNTT
- Giải sgk Âm nhạc 12 - KNTT
- Giải sgk Mĩ thuật 12 - KNTT
- Lớp 12 Chân trời sáng tạo
- Soạn văn 12 (hay nhất) - CTST
- Soạn văn 12 (ngắn nhất) - CTST
- Giải sgk Toán 12 - CTST
- Giải sgk Vật Lí 12 - CTST
- Giải sgk Hóa học 12 - CTST
- Giải sgk Sinh học 12 - CTST
- Giải sgk Lịch Sử 12 - CTST
- Giải sgk Địa Lí 12 - CTST
- Giải sgk Giáo dục KTPL 12 - CTST
- Giải sgk Tin học 12 - CTST
- Giải sgk Hoạt động trải nghiệm 12 - CTST
- Giải sgk Âm nhạc 12 - CTST
- Lớp 12 Cánh diều
- Soạn văn 12 Cánh diều (hay nhất)
- Soạn văn 12 Cánh diều (ngắn nhất)
- Giải sgk Toán 12 Cánh diều
- Giải sgk Vật Lí 12 - Cánh diều
- Giải sgk Hóa học 12 - Cánh diều
- Giải sgk Sinh học 12 - Cánh diều
- Giải sgk Lịch Sử 12 - Cánh diều
- Giải sgk Địa Lí 12 - Cánh diều
- Giải sgk Giáo dục KTPL 12 - Cánh diều
- Giải sgk Tin học 12 - Cánh diều
- Giải sgk Công nghệ 12 - Cánh diều
- Giải sgk Hoạt động trải nghiệm 12 - Cánh diều
- Giải sgk Giáo dục quốc phòng 12 - Cánh diều
- Giải sgk Âm nhạc 12 - Cánh diều


Giải bài tập SGK & SBT
Tài liệu giáo viên
Sách
Khóa học
Thi online
Hỏi đáp

