Bài tập trắc nghiệm trang 179, 180 Sách bài tập Giải tích 12
Bài 3: Ứng dụng của tích phân trong hình học
Bài tập trắc nghiệm trang 179, 180 Sách bài tập Giải tích 12:
Bài 3.37: a) Cho hình phẳng R giới hạn bởi các đường sau đây:
y1 = f1(x), y2 = f2(x) là các hàm số liên tục trên đoạn [a;b], x = a và x = b. Hãy chỉ ra công thức sai trong việc tính diện tích hình R.
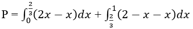
Bài 3.38: Diện tích hình phẳng P giới hạn bởi các đường: y1 = x, y2 = 2x, y3 = 2 - x bằng:
A. 1 B. 2/3
C. 2 D. 1/3
Bài 3.39: Diện tích của hình phẳng được giới hạn bởi các đường: y1 = x3; y2 = 4x, bằng:
A. 0 B. 4
C. 8 D. -8
Bài 3.40: Cho hình phẳng H giới hạn bởi các đường: y = f(x), y = 0, x = b và x = a (trong đó hàm số f(x) liên tục trên đoạn [b,a]). Thể tích khối tròn xoay tạo nên bởi phép quay H quanh trục Ox được cho bởi công thức:
Bài 3.41: Quay hình phẳng Q giới hạn bởi các đường: y1 = sinx và y2 = 2x/π quanh trục Ox, ta được một khối tròn xoay. Khi đó, thể tích khối tròn xoay này bằng:
A. 1/6 B. π/6
C. 8 D. π2/6
Bài 3.42: Quay hình phẳng G giới hạn bởi các đường: y = x3; y = 1, x = 0 xung quanh trục Oy. Khi đó thể tích của khối tròn xoay này bằng:
A. π B. 5π/3
C. 3π/5 D. 3/5
Lời giải:
Đáp án và hướng dẫn giải
| Bài | 3.37 | 3.38 | 3.39 | 3.40 | 3.41 | 3.42 |
| Đáp án | D | D | C | C | D | C |
Bài 3.37: Đáp án: D.
Vì A, B, C có cùng giá trị, D sai công thức.
Bài 3.38: Đáp án: D.
Diện tích:
Bài 3.39: Đáp án: C.
Thấy ngay A và D vô lý vậy chỉ cần kiểm tra hai kết quả B và C.
Bài 3.40: Đáp án: C.
Lưu ý ở đây b là cận dưới còn a là cận trên (b ≤ a), vậy A sai, B thiếu hệ số π, D có hệ số π2.
Bài 3.41: Đáp án: D.
Vì thể tích khối này được tính bởi
như vậy A và C dễ thấy là sai.
Bài 3.42: Đáp án: C
Các bài giải sách bài tập Giải tích 12 khác:
- Bài 3.33 trang 178 Sách bài tập Giải tích 12: Tính thể tích các khối tròn xoay....
- Bài 3.34 trang 178 Sách bài tập Giải tích 12: Tính thể tích khối tròn xoay tạo bởi....
- Bài 3.35 trang 178 Sách bài tập Giải tích 12: Một hình phẳng được giới hạn bởi....
- Bài 3.36 trang 179 Sách bài tập Giải tích 12: Trong các cặp hình phẳng giới hạn bởi....
Đã có app VietJack trên điện thoại, giải bài tập SGK, SBT Soạn văn, Văn mẫu, Thi online, Bài giảng....miễn phí. Tải ngay ứng dụng trên Android và iOS.
Theo dõi chúng tôi miễn phí trên mạng xã hội facebook và youtube:Nếu thấy hay, hãy động viên và chia sẻ nhé! Các bình luận không phù hợp với nội quy bình luận trang web sẽ bị cấm bình luận vĩnh viễn.
- Giải Tiếng Anh 12 Global Success
- Giải sgk Tiếng Anh 12 Smart World
- Giải sgk Tiếng Anh 12 Friends Global
- Lớp 12 Kết nối tri thức
- Soạn văn 12 (hay nhất) - KNTT
- Soạn văn 12 (ngắn nhất) - KNTT
- Giải sgk Toán 12 - KNTT
- Giải sgk Vật Lí 12 - KNTT
- Giải sgk Hóa học 12 - KNTT
- Giải sgk Sinh học 12 - KNTT
- Giải sgk Lịch Sử 12 - KNTT
- Giải sgk Địa Lí 12 - KNTT
- Giải sgk Giáo dục KTPL 12 - KNTT
- Giải sgk Tin học 12 - KNTT
- Giải sgk Công nghệ 12 - KNTT
- Giải sgk Hoạt động trải nghiệm 12 - KNTT
- Giải sgk Giáo dục quốc phòng 12 - KNTT
- Giải sgk Âm nhạc 12 - KNTT
- Giải sgk Mĩ thuật 12 - KNTT
- Lớp 12 Chân trời sáng tạo
- Soạn văn 12 (hay nhất) - CTST
- Soạn văn 12 (ngắn nhất) - CTST
- Giải sgk Toán 12 - CTST
- Giải sgk Vật Lí 12 - CTST
- Giải sgk Hóa học 12 - CTST
- Giải sgk Sinh học 12 - CTST
- Giải sgk Lịch Sử 12 - CTST
- Giải sgk Địa Lí 12 - CTST
- Giải sgk Giáo dục KTPL 12 - CTST
- Giải sgk Tin học 12 - CTST
- Giải sgk Hoạt động trải nghiệm 12 - CTST
- Giải sgk Âm nhạc 12 - CTST
- Lớp 12 Cánh diều
- Soạn văn 12 Cánh diều (hay nhất)
- Soạn văn 12 Cánh diều (ngắn nhất)
- Giải sgk Toán 12 Cánh diều
- Giải sgk Vật Lí 12 - Cánh diều
- Giải sgk Hóa học 12 - Cánh diều
- Giải sgk Sinh học 12 - Cánh diều
- Giải sgk Lịch Sử 12 - Cánh diều
- Giải sgk Địa Lí 12 - Cánh diều
- Giải sgk Giáo dục KTPL 12 - Cánh diều
- Giải sgk Tin học 12 - Cánh diều
- Giải sgk Công nghệ 12 - Cánh diều
- Giải sgk Hoạt động trải nghiệm 12 - Cánh diều
- Giải sgk Giáo dục quốc phòng 12 - Cánh diều
- Giải sgk Âm nhạc 12 - Cánh diều


Giải bài tập SGK & SBT
Tài liệu giáo viên
Sách
Khóa học
Thi online
Hỏi đáp

