Bài 73 trang 20 SBT Toán 7 Tập 1
Bài 7: Tỉ lệ thức
Bài 73 trang 20 sách bài tập Toán 7 Tập 1: Cho a, b, c, d ≠ 0. Từ tỉ lệ thức
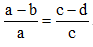
Hãy suy ra tỉ lệ thức:
Lời giải:
Vì a, b, c, d ≠ 0 nên ta có thể đặt
⇒ a = kb; c = kd
Ta có:
Suy ra
Cách 2:
Từ
ta suy ra
hay
Các bài giải bài tập sách bài tập Toán 7 (SBT Toán 7) Bài 7 Chương 1 Đại Số khác:
Bài 60 (trang 19 Sách bài tập Toán 7 Tập 1): Thay tỉ số giữa các số hữu tỉ bằng ....
Bài 61 (trang 19 Sách bài tập Toán 7 Tập 1): Chỉ rõ ngoại tỉ và trung tỉ của các ....
Bài 62 (trang 19 Sách bài tập Toán 7 Tập 1): các tỉ số sau đây có lập thành tỉ lệ thức ....
Bài 63 (trang 19 Sách bài tập Toán 7 Tập 1): Có thể lập được tỉ thức từ các số sau ....
Bài 64 (trang 19 Sách bài tập Toán 7 Tập 1): Lập tất cả các tỉ lệ thức có thể được ....
Bài 65 (trang 20 Sách bài tập Toán 7 Tập 1): Lập tất cả các tỉ lệ thức có thể ....
Bài 66 (trang 20 Sách bài tập Toán 7 Tập 1): Lập tất cả các tỉ lệ thức có thể ....
Bài 67 (trang 20 Sách bài tập Toán 7 Tập 1): Chứng minh rằng từ đẳng thức ....
Bài 68 (trang 20 Sách bài tập Toán 7 Tập 1): Hãy lập tất cả các tỉ lệ thức ....
Bài 69 (trang 20 Sách bài tập Toán 7 Tập 1): Tìm x biết: ....
Bài 70 (trang 20 Sách bài tập Toán 7 Tập 1): Tìm x trong các tỉ lệ thức sau: ....
Bài 71 (trang 20 Sách bài tập Toán 7 Tập 1): Cho tỉ lệ thức ....
Bài 72 (trang 20 Sách bài tập Toán 7 Tập 1): Chứng minh rằng tỉ lệ thức ....
- Bài tập bổ sung (trang 21)
Bài 7.1 (trang 21 Sách bài tập Toán 7 Tập 1): Cho tỉ lệ thức ....
Bài 7.2 (trang 21 Sách bài tập Toán 7 Tập 1): Từ tỉ lệ thức ....
Bài 7.3 (trang 21 Sách bài tập Toán 7 Tập 1): Cho (a/b) = (c/d) ....
Bài 7.4* (trang 21 Sách bài tập Toán 7 Tập 1): Cho tỉ lệ thức ....
Lời giải bài tập lớp 7 sách mới:
- Giải bài tập Lớp 7 Kết nối tri thức
- Giải bài tập Lớp 7 Chân trời sáng tạo
- Giải bài tập Lớp 7 Cánh diều
Tủ sách VIETJACK shopee lớp 6-8 (2025):
Đã có app VietJack trên điện thoại, giải bài tập SGK, SBT Soạn văn, Văn mẫu, Thi online, Bài giảng....miễn phí. Tải ngay ứng dụng trên Android và iOS.
Theo dõi chúng tôi miễn phí trên mạng xã hội facebook và youtube:Loạt bài Giải sách bài tập Toán 7 | Giải sbt Toán 7 của chúng tôi được biên soạn bám sát nội dung SBT Toán 7 Tập 1 và Tập 2.
Nếu thấy hay, hãy động viên và chia sẻ nhé! Các bình luận không phù hợp với nội quy bình luận trang web sẽ bị cấm bình luận vĩnh viễn.
- Giải Tiếng Anh 7 Global Success
- Giải Tiếng Anh 7 Friends plus
- Giải sgk Tiếng Anh 7 Smart World
- Giải Tiếng Anh 7 Explore English
- Lớp 7 - Kết nối tri thức
- Soạn văn 7 (hay nhất) - KNTT
- Soạn văn 7 (ngắn nhất) - KNTT
- Giải sgk Toán 7 - KNTT
- Giải sgk Khoa học tự nhiên 7 - KNTT
- Giải sgk Lịch Sử 7 - KNTT
- Giải sgk Địa Lí 7 - KNTT
- Giải sgk Giáo dục công dân 7 - KNTT
- Giải sgk Tin học 7 - KNTT
- Giải sgk Công nghệ 7 - KNTT
- Giải sgk Hoạt động trải nghiệm 7 - KNTT
- Giải sgk Âm nhạc 7 - KNTT
- Lớp 7 - Chân trời sáng tạo
- Soạn văn 7 (hay nhất) - CTST
- Soạn văn 7 (ngắn nhất) - CTST
- Giải sgk Toán 7 - CTST
- Giải sgk Khoa học tự nhiên 7 - CTST
- Giải sgk Lịch Sử 7 - CTST
- Giải sgk Địa Lí 7 - CTST
- Giải sgk Giáo dục công dân 7 - CTST
- Giải sgk Công nghệ 7 - CTST
- Giải sgk Tin học 7 - CTST
- Giải sgk Hoạt động trải nghiệm 7 - CTST
- Giải sgk Âm nhạc 7 - CTST
- Lớp 7 - Cánh diều
- Soạn văn 7 (hay nhất) - Cánh diều
- Soạn văn 7 (ngắn nhất) - Cánh diều
- Giải sgk Toán 7 - Cánh diều
- Giải sgk Khoa học tự nhiên 7 - Cánh diều
- Giải sgk Lịch Sử 7 - Cánh diều
- Giải sgk Địa Lí 7 - Cánh diều
- Giải sgk Giáo dục công dân 7 - Cánh diều
- Giải sgk Công nghệ 7 - Cánh diều
- Giải sgk Tin học 7 - Cánh diều
- Giải sgk Hoạt động trải nghiệm 7 - Cánh diều
- Giải sgk Âm nhạc 7 - Cánh diều


Giải bài tập SGK & SBT
Tài liệu giáo viên
Sách
Khóa học
Thi online
Hỏi đáp

