Bài 4.2 trang 28 SBT Toán 8 Tập 1
Bài 4: Quy đồng mẫu thức nhiều phân thức
Bài 4.2 trang 28 SBT Toán 8 Tập 1: Cho hai phân thức
và
. Hãy xác định a và b biết rằng khi quy đồng mẫu thức chúng trở thành những phân thức có mẫu thức chung là x3 + 4x2 + x – 6. Viết tường minh hai phân thức đã cho và hai phân thức thu được sau khi quy đồng với mẫu thức chung là x3 + 4x2 + x – 6
Lời giải:
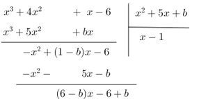
Ta có mẫu thức chung phải chia hết cho từng mẫu thức riêng.
Vì phép chia này là phép chia hết nên số dư phải bằng 0, tức là:
3 – a(4 – a) = 0 và 2 – 2a = 0 ⇒ a = 1.
Vậy phân thức thứ nhất là
Vì phép chia này là phép chia hết nên số dư phải bằng 0, tức là:
6 – b = 0 và -6 + b = 0 ⇒ b = 6.
Vậy phân thức thứ hai là
* Quy đồng:
Các bài giải bài tập sách bài tập Toán 8 (SBT Toán 8) khác:
Bài 13 (trang 27 Sách bài tập Toán 8 Tập 1): Quy đồng mẫu thức các phân thức sau...
Bài 14 (trang 27 Sách bài tập Toán 8 Tập 1): Quy đồng mẫu thức các phân thức...
Bài 15 (trang 28 Sách bài tập Toán 8 Tập 1): Cho đa thức B = ...
Bài 16 (trang 28 Sách bài tập Toán 8 Tập 1): Cho hai phân thức...
Bài 4.1 (trang 28 Sách bài tập Toán 8 Tập 1): Quy đồng mẫu thức ba phân thức...
Xem thêm các loạt bài Để học tốt Toán lớp 8 hay khác:
Tủ sách VIETJACK shopee lớp 6-8 (2025):
Đã có app VietJack trên điện thoại, giải bài tập SGK, SBT Soạn văn, Văn mẫu, Thi online, Bài giảng....miễn phí. Tải ngay ứng dụng trên Android và iOS.
Theo dõi chúng tôi miễn phí trên mạng xã hội facebook và youtube:Loạt bài Giải sách bài tập Toán 8 | Giải sbt Toán 8 của chúng tôi được biên soạn bám sát nội dung Sách bài tập Toán 8.
Nếu thấy hay, hãy động viên và chia sẻ nhé! Các bình luận không phù hợp với nội quy bình luận trang web sẽ bị cấm bình luận vĩnh viễn.
- Giải Tiếng Anh 8 Global Success
- Giải sgk Tiếng Anh 8 Smart World
- Giải sgk Tiếng Anh 8 Friends plus
- Lớp 8 - Kết nối tri thức
- Soạn văn 8 (hay nhất) - KNTT
- Soạn văn 8 (ngắn nhất) KNTT
- Giải sgk Toán 8 - KNTT
- Giải sgk Khoa học tự nhiên 8 - KNTT
- Giải sgk Lịch Sử 8 - KNTT
- Giải sgk Địa Lí 8 - KNTT
- Giải sgk Giáo dục công dân 8 - KNTT
- Giải sgk Tin học 8 - KNTT
- Giải sgk Công nghệ 8 - KNTT
- Giải sgk Hoạt động trải nghiệm 8 - KNTT
- Giải sgk Âm nhạc 8 - KNTT
- Lớp 8 - Chân trời sáng tạo
- Soạn văn 8 (hay nhất) - CTST
- Soạn văn 8 (ngắn nhất) - CTST
- Giải sgk Toán 8 - CTST
- Giải sgk Khoa học tự nhiên 8 - CTST
- Giải sgk Lịch Sử 8 - CTST
- Giải sgk Địa Lí 8 - CTST
- Giải sgk Giáo dục công dân 8 - CTST
- Giải sgk Tin học 8 - CTST
- Giải sgk Công nghệ 8 - CTST
- Giải sgk Hoạt động trải nghiệm 8 - CTST
- Giải sgk Âm nhạc 8 - CTST
- Lớp 8 - Cánh diều
- Soạn văn 8 Cánh diều (hay nhất)
- Soạn văn 8 Cánh diều (ngắn nhất)
- Giải sgk Toán 8 - Cánh diều
- Giải sgk Khoa học tự nhiên 8 - Cánh diều
- Giải sgk Lịch Sử 8 - Cánh diều
- Giải sgk Địa Lí 8 - Cánh diều
- Giải sgk Giáo dục công dân 8 - Cánh diều
- Giải sgk Tin học 8 - Cánh diều
- Giải sgk Công nghệ 8 - Cánh diều
- Giải sgk Hoạt động trải nghiệm 8 - Cánh diều
- Giải sgk Âm nhạc 8 - Cánh diều


Giải bài tập SGK & SBT
Tài liệu giáo viên
Sách
Khóa học
Thi online
Hỏi đáp

