Bài 12 trang 23 SBT Vật Lí 9
Bài 8: Sự phụ thuộc của điện trở vào tiết diện dây dẫn
Bài 12 trang 23 sách bài tập Vật Lí 9: Người ta dùng dây Nikêlin (một loại hợp kim) làm dây nung cho một bếp điện. Nếu dùng loại dây này với đường kính tiết diện là 0,6mm thì cần dây có chiều dài là 2,88m. Hỏi nếu không thay đổi điện trở của dây nung, nhưng dùng dây loại này với đường kính tiết diện là 0,4mm thì dây phải có chiều dài là bao nhiêu?
Tóm tắt:
l1 = 2,88m; d1 = 0,6 mm; R1 = R2
d2 = 0,4mm; l2 = ?
Lời giải:
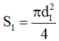
+)Đường kính của dây là d1 = 0,6mm, suy ra tiết diện dây là:
+)Đường kính dây giảm xuống còn d2 = 0,4mm, suy ra tiết diện dây là:
Áp dụng kết quả thu được từ bài 8.11 ta có:
Thay R1 = R2 (vì không thay đổi điện trở của dây nung) ta được:
Xem thêm các bài giải bài tập sách bài tập Vật Lí lớp 9 hay khác:
Bài 8.3 (trang 21 Sách bài tập Vật Lí 9): Hai dây dẫn bằng đồng có cùng chiều dài. Dây thứ nhất...
Bài 8.9 (trang 22 Sách bài tập Vật Lí 9): Một dây đồng dài 100m, có tiết diện 1mm2 thì có điện trở
Xem thêm các loạt bài Để học tốt Vật Lí lớp 9 hay khác:
- Giải bài tập Vật lý 9
- Lý thuyết & 500 bài tập Vật Lí 9 có đáp án
- Giải VBT Vật Lí 9
- Chuyên đề Vật Lí 9 (có đáp án)
- Đề thi Vật Lí 9
Tủ sách VIETJACK luyện thi vào 10 cho 2k11 (2026):
Đã có app VietJack trên điện thoại, giải bài tập SGK, SBT Soạn văn, Văn mẫu, Thi online, Bài giảng....miễn phí. Tải ngay ứng dụng trên Android và iOS.
Theo dõi chúng tôi miễn phí trên mạng xã hội facebook và youtube:Loạt bài Giải sách bài tập Vật Lí 9 | Giải SBT Vật Lí 9 của chúng tôi được biên soạn bám sát nội dung sách bài tập Vật Lí lớp 9.
Nếu thấy hay, hãy động viên và chia sẻ nhé! Các bình luận không phù hợp với nội quy bình luận trang web sẽ bị cấm bình luận vĩnh viễn.
- Giải Tiếng Anh 9 Global Success
- Giải sgk Tiếng Anh 9 Smart World
- Giải sgk Tiếng Anh 9 Friends plus
- Lớp 9 Kết nối tri thức
- Soạn văn 9 (hay nhất) - KNTT
- Soạn văn 9 (ngắn nhất) - KNTT
- Giải sgk Toán 9 - KNTT
- Giải sgk Khoa học tự nhiên 9 - KNTT
- Giải sgk Lịch Sử 9 - KNTT
- Giải sgk Địa Lí 9 - KNTT
- Giải sgk Giáo dục công dân 9 - KNTT
- Giải sgk Tin học 9 - KNTT
- Giải sgk Công nghệ 9 - KNTT
- Giải sgk Hoạt động trải nghiệm 9 - KNTT
- Giải sgk Âm nhạc 9 - KNTT
- Giải sgk Mĩ thuật 9 - KNTT
- Lớp 9 Chân trời sáng tạo
- Soạn văn 9 (hay nhất) - CTST
- Soạn văn 9 (ngắn nhất) - CTST
- Giải sgk Toán 9 - CTST
- Giải sgk Khoa học tự nhiên 9 - CTST
- Giải sgk Lịch Sử 9 - CTST
- Giải sgk Địa Lí 9 - CTST
- Giải sgk Giáo dục công dân 9 - CTST
- Giải sgk Tin học 9 - CTST
- Giải sgk Công nghệ 9 - CTST
- Giải sgk Hoạt động trải nghiệm 9 - CTST
- Giải sgk Âm nhạc 9 - CTST
- Giải sgk Mĩ thuật 9 - CTST
- Lớp 9 Cánh diều
- Soạn văn 9 Cánh diều (hay nhất)
- Soạn văn 9 Cánh diều (ngắn nhất)
- Giải sgk Toán 9 - Cánh diều
- Giải sgk Khoa học tự nhiên 9 - Cánh diều
- Giải sgk Lịch Sử 9 - Cánh diều
- Giải sgk Địa Lí 9 - Cánh diều
- Giải sgk Giáo dục công dân 9 - Cánh diều
- Giải sgk Tin học 9 - Cánh diều
- Giải sgk Công nghệ 9 - Cánh diều
- Giải sgk Hoạt động trải nghiệm 9 - Cánh diều
- Giải sgk Âm nhạc 9 - Cánh diều
- Giải sgk Mĩ thuật 9 - Cánh diều


Giải bài tập SGK & SBT
Tài liệu giáo viên
Sách
Khóa học
Thi online
Hỏi đáp

