Sách bài tập Toán 8 Bài 4: Bất phương trình bạc nhất một ẩn
Sách bài tập Toán 8 Bài 4: Bất phương trình bạc nhất một ẩn
Bài 40 trang 56 sách bài tập Toán 8 Tập 2: Áp dụng quy tắc chuyển vế để giải các bất phương trình sau:
a. x – 2 > 4
b. x + 5 < 7
c. x – 4 < -8
d. x + 3 > - 6
Lời giải:
a. Ta có: x – 2 > 4 ⇔ x > 4 + 2 ⇔ x > 6
Vậy tập nghiệm của bất phương trình là: {x|x > 6}
b. Ta có: x + 5 < 7 ⇔ x < 7 – 5 ⇔ x < 2
Vậy tập nghiệm của bất phương trình là: {x|x < 2}
c. Ta có: x – 4 < -8 ⇔ x < -8 + 4 ⇔ x < -4
Vậy tập nghiệm của bất phương trình là: {x|x < -4}
d. Ta có: x + 3 > -6 ⇔ x > -6 – 3 ⇔ x > -9
Vậy tập nghiệm của bất phương trình là: {x|x > -9}
Bài 41 trang 56 sách bài tập Toán 8 Tập 2: Áp dụng quy tắc chuyển vế, giải các bất phương trình sau:
a. 3x < 2x + 5
b. 2x + 1 < x + 4
c. -2x > -3x + 3
d. -4x – 2 > -5x + 6
Lời giải:
a. Ta có: 3x < 2x + 5 ⇔ 3x – 2x < 5 ⇔ x < 5
Vậy tập nghiệm của bất phương trình là: {x|x < 5}
b. Ta có: 2x + 1 < x + 4 ⇔ 2x – x < 4 – 1 ⇔ x < 3
Vậy tập nghiệm của bất phương trình là: {x|x < 3}
c. Ta có: -2x > -3x + 3 ⇔ -2x + 3x > 3 ⇔ x > 3
Vậy tập nghiệm của bất phương trình là: {x|x > 3}
d. Ta có: -4x – 2 > -5x + 6 ⇔ -4x + 5x > 6 + 2 ⇔ x > 8
Vậy tập nghiệm của bất phương trình là: {x|x > 8}
Bài 42 trang 56 sách bài tập Toán 8 Tập 2: Áp dụng quy tắc nhân để giải các bất phương trình sau:
Lời giải:
a. Ta có: 1/2 x > 3 ⇔ 1/2 x.2 > 3.2 ⇔ x > 6
Vậy tập nghiệm của bất phương trình là: {x|x > 6}
b. Ta có: -1/3 x < -2 ⇔ -1/3 x.(-3) > (-2).(-3) ⇔ x > 6
Vậy tập nghiệm của bất phương trình là: {x|x > 6}
c. Ta có: 2/3 x > -4 ⇔ 2/3 x. 3/2 > -4. 3/2 ⇔ x > -6
Vậy tập nghiệm của bất phương trình là: {x|x > -6}
d. Ta có: -3/5 x > 6 ⇔ -3/5 x.(-5/3 ) < 6.(-5/3 ) ⇔ x < -10
Vậy tập nghiệm của bất phương trình là: {x|x < -10}
Bài 43 trang 56 sách bài tập Toán 8 Tập 2: Áp dụng quy tắc nhân, giải các bất phương trình sau:
a. 3x < 18
b. -2x > -6
c. 0,2x > 8
d. -0,3x < 12
Lời giải:
a. Ta có: 3x < 18
Vậy tập nghiệm của bất phương trình là: {x|x < 6}
b. Ta có: -2x > -6
Vậy tập nghiệm của bất phương trình là: {x|x < 3}
c. Ta có: 0,2x > 8 ⇔ 0,2x.5 > 8.5 ⇔ x > 40
Vậy tập nghiệm của bất phương trình là: {x|x > 40}
d. Ta có: -0,3x < 12
Vậy tập nghiệm của bất phương trình là: {x|x > -40}
Bài 44 trang 56 sách bài tập Toán 8 Tập 2: Giải thích sự tương đương:
a. 2x < 3 ⇔ 3x < 4,5
b. x – 5 < 12 ⇔ x + 5 < 22
c. -3x < 9 ⇔ 6x > -18
Lời giải:
a. Nhân hai vế của bất phương trình 2x < 3 với 1,5.
b. Cộng hai vế của bất phương trình x – 5 < 12 với 10.
c. Nhân hai vế của bất phương trình -3x < 9 với -2.
Bài 45 trang 56 sách bài tập Toán 8 Tập 2: Cho hình vẽ:
Bạn An cho rằng, hình vẽ đó biểu diễn tập nghiệm của bất phương trình 2x ≤ 16, còn bạn Bình lại khẳng định hình vẽ đó biểu diễn tập nghiệm của bất phương trình x + 2 ≤ 10. Theo em bạn nào đúng?
Lời giải:
Ta có: 2x ≤ 16 ⇔ x ≤ 8
x + 2 ≤ 10 ⇔ x ≤ 8
Như vậy cả hai bạn đều phát biểu đúng.
Bài 46 trang 57 sách bài tập Toán 8 Tập 2: Giải các bất phương trình và biểu diễn tập nghiệm trên trục số
a. 2x – 4 < 0
b. 3x + 9 > 0
c. –x + 3 < 0
d. -3x + 12 > 0
Lời giải:
a. Ta có: 2x – 4 < 0 ⇔ 2x < 4 ⇔ x < 2
b. Ta có: 3x + 9 > 0 ⇔ 3x > -9 ⇔ x > -3
c. Ta có: -x + 3 < 0 ⇔ -x < -3 ⇔ x > 3
d. Ta có: -3x + 12 > 0 ⇔ -3x > -12 ⇔ x < 4
Bài 47 trang 57 sách bài tập Toán 8 Tập 2: Giải các bất phương trình:
a. 3x + 2 > 8
b. 4x – 5 < 7
c. -2x + 1 < 7
d. 13 – 3x > -2
Lời giải:
a. Ta có: 3x + 2 > 8 ⇔ 3x > 8 – 2 ⇔ 3x > 6 ⇔ x > 2
Vậy tập nghiệm của bất phương trình là: {x|x > 2}
b. Ta có: 4x – 5 < 7 ⇔ 4x < 7 + 5 ⇔ 4x < 12 ⇔ x < 3
Vậy tập nghiệm của bất phương trình là: {x|x < 3}
c. Ta có: -2x + 1 < 7 ⇔ -2x < 7 – 1 ⇔ -2x < 6 ⇔ x > -3
Vậy tập nghiệm của bất phương trình là: {x|x > -3}
d. Ta có: 13 – 3x > -2 ⇔ -3x > -2 – 13 ⇔ -3x > -15 ⇔ x < 5
Vậy tập nghiệm của bất phương trình là: {x|x < 5}
Bài 48 trang 57 sách bài tập Toán 8 Tập 2: Giải các bất phương trình:
a. 3/2 x < -9
b. 5 + 2/3 x > 3
c. 2x + 4/5 > 9/5
d. 6 - 3/5 x < 4
Lời giải:
a. Ta có:
Vậy tập nghiệm của bất phương trình là: {x|x < -6}
b. Ta có: 5 + 2/3 x > 3 ⇔ 2/3 x > 3 – 5 ⇔ 2/3 x. 3/2 > -2. 3/2 ⇔ x > -3
Vậy tập nghiệm của bất phương trình là: {x|x > -3}
c. Ta có:
Vậy tập nghiệm của bất phương trình là: {x|x > 1/2 }
d. Ta có: 6 - 3/5 x < 4 ⇔ -3/5 x < 4 – 6 ⇔ -3/5 x.(-5/3 ) > -2.(-5/3 ) ⇔ x > 10/3
Vậy tập nghiệm của bất phương trình là: {x|x > 10/3 }
Bài 49 trang 57 sách bài tập Toán 8 Tập 2: Giải các bất phương trình:
a. 7x – 2,2 < 0,6
b. 1,5 > 2,3 – 4x
Lời giải:
a. Ta có: 7x – 2,2 < 0,6
⇔ 7x < 0,6 + 2,2
⇔ 7x < 2,8
⇔ x < 0,4
Vậy tập nghiệm của bất phương trình là: {x|x < 0,4}
b. Ta có: 1,5 > 2,3 – 4x
⇔ 4x > 2,3 - 1,5
⇔ 4x > 0,8
⇔ x > 0,2
Vậy tập nghiệm của bất phương trình là: {x|x > 0,2}
Bài 50 trang 57 sách bài tập Toán 8 Tập 2: Viết bất phương trình bậc nhất một ẩn có tập nghiệm biểu diễn bởi hình vẽ.
Lời giải:
a. Bất phương trình bậc nhất một ẩn có tập nghiệm biểu diễn bởi hình vẽ là:
2x – 8 ≥ 0
b. Bất phương trình bậc nhất một ẩn có tập nghiệm biểu diễn bởi hình vẽ là:
3x – 15 < 0
Bài 51 trang 57 sách bài tập Toán 8 Tập 2: Giải các bất phương trình:
Lời giải:
a. Ta có:
⇔ 3x – 1 > 8
⇔ 3x > 8 + 1
⇔ 3x > 9 ⇔ x > 3
Vậy tập nghiệm của bất phương trình là: {x|x > 3}
b. Ta có:
⇔ 2x + 4 < 9
⇔ 2x < 9 – 4
⇔ 2x < 5 ⇔ x < 2,5
Vậy tập nghiệm của bất phương trình là: {x|x < 2,5}
c. Ta có:
⇔ 1 – 2x > 12
⇔ -2x > 12 – 1
⇔ -2x > 11 ⇔ x < -5,5
Vậy tập nghiệm của bất phương trình là: {x|x < -5,5}
d. Ta có:
⇔ 6 – 4x < 5
⇔ -4x < 5 – 6
⇔ -4x < -1 ⇔ x > 1/4
Vậy tập nghiệm của bất phương trình là: {x|x > 1/4 }
Bài 52 trang 57 sách bài tập Toán 8 Tập 2: Giải các bất phương trình:
a. (x – 1)2 < x(x + 3)
b. (x – 2)(x + 2) > x(x – 4)
c. 2x + 3 < 6 – (3 – 4x)
d. -2 – 7x > (3 + 2x) – (5 – 6x)
Lời giải:
a. Ta có: (x – 1)2 < x(x + 3) ⇔ x2 – 2x + 1 < x2 + 3x
⇔ x2 – 2x + 1 – x2 – 3x < 0
⇔ -5x + 1 < 0 ⇔ 5x > 1 ⇔ x > 1/5.
Vậy tập nghiệm của bất phương trình là: {x| x > 1/5}
b. Ta có: (x – 2)(x + 2) > x(x – 4) ⇔ x2 – 4 > x2 – 4x
⇔ x2 – 4 – x2 + 4x > 0
⇔ 4x – 4 > 0 ⇔ x > 1
Vậy tập nghiệm của bất phương trình là: {x|x > 1}
c. Ta có: 2x + 3 < 6 – (3 – 4x) ⇔ 2x + 3 < 6 – 3 + 4x
⇔ 2x – 4x < 3 – 3
⇔ -2x < 0 ⇔ x > 0
Vậy tập nghiệm của bất phương trình là: {x|x > 0}
d. Ta có: -2 – 7x > (3 + 2x) – (5 – 6x) ⇔ -2 – 7x > 3 + 2x – 5 + 6x
⇔ -7x – 2x – 6x > 3 – 5 + 2
⇔ -15x > 0 ⇔ x < 0
Vậy tập nghiệm của bất phương trình là: {x|x < 0}
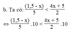
Bài 53 trang 57 sách bài tập Toán 8 Tập 2: Với các giá trị nào của x thì:
a. Giá trị phân thức (5 - 2x)/6 lớn hơn giá trị phân thức (5x - 2)/3
b. Giá trị phân thức (1,5 - x)/5 nhỏ hơn giá trị phân thức (4x + 5)/2
Lời giải:
⇔ 5 – 2x > 10x – 4
⇔ -2x – 10x > -4 – 5⇔ -12x > -9⇔ x < 3/4
Vậy với x < 3/4 thì giá trị phân thức (5 - 2x)/6 lớn hơn giá trị phân thức (5x - 2)/3
⇔ 3 – 2x < 20x + 25⇔ -2x – 20x < 25 – 3
⇔ -22x < 22⇔ x > -1
Vậy với x > -1 thì giá trị phân thức (1,5 - x)/5 nhỏ hơn giá trị phân thức 4x + 5)/2 .
Bài 54 trang 58 sách bài tập Toán 8 Tập 2: Hãy cho biết số nào trong các số 2/3 ; 2/7 ; -4/5 là nghiệm của bất phương trình 5 – 3x < (4 + 2x) – 1
Lời giải:
Ta có: 5 – 3x < (4 + 2x) – 1 ⇔ 5 – 3x < 4 + 2x – 1
⇔ -3x – 2x < 4 – 1 – 5 ⇔ -5x < -2 ⇔ x > 2/5
Vậy chỉ có giá trị 2/3 > 2/5 nên trong các số đã cho thì số 2/3 là nghiệm của bất phương trình.
Bài 55 trang 58 sách bài tập Toán 8 Tập 2: Hai quy tắc biến đổi tương đương của bất phương trình cũng giống như hai quy tắc biến đổi tương đương của phương trình. Điều đó có đúng không?
Lời giải:
Ta có, quy tắc chuyển vế của phương trình giống quy tắc chuyển vế của bất phương trình, nhưng quy tắc nhân hai vế của phương trình với cùng một số khác 0 không thể chuyển thành quy tắc nhân hai vế của bất phương trình với cùng một số khác 0, bởi vì bất phường trình sẽ đổi chiều khi ta nhân hai vế của nó với một số âm.
Bài 56 trang 58 sách bài tập Toán 8 Tập 2: Cho bất phương trình ẩn x: 2x + 1 > 2(x + 1).
a. Chứng tỏ các giá trị -5; 0; -8 đều không phải là nghiệm của nó.
b. Bất phương trình này có thể nhận giá trị nào của x là nghiệm?
Lời giải:
a. Thay giá trị của x vào từng vế của bất phương trình:
x = -5 vế trái: 2.(-5) + 1 = -10 + 1 = -9
vế phải: 2.[(-5) + 1] = 2.(-4) = -8
Vì -9 < -8 nên x = -5 không phải là nghiệm của bất phương trình.
x = 0 vế trái: 2.0 + 1 = 1
vế phải: 2.(0 + 1) = 2
Vì 1 < 2 nên x = 0 không phải là nghiệm của bất phương trình.
x = -8 vế trái: 2.(-8) + 1 = -16 + 1 = -15
vế phải: 2.[(-8) + 1] = 2.(-7) = -14
Vì -15 < -14 nên x = -8 không là nghiệm của bất phương trình.
b. Ta có: 2x + 1 > 2(x + 1)
⇔ 2x + 1 > 2x + 2
⇔ 0x > 1
Vậy bất phương trình vô nghiệm.
Bài 57 trang 58 sách bài tập Toán 8 Tập 2: Bất phương trình ẩn x: 5 + 5x < 5(x + 2). Có thể nhận giá trị nào của x là nghiệm?
Lời giải:
Ta có: 5 + 5x < 5(x + 2)
⇔ 5 + 5x < 5x + 10
⇔ 5x – 5x < 10 – 5
⇔ 0x < 5
Bất kì giá trị nào của x cũng thỏa mãn vế trái nhỏ hơn vế phải.
Vậy tập nghiệm của bất phương trình là tập số thực R.
Bài 58 trang 58 sách bài tập Toán 8 Tập 2: So sánh số a và số b nếu:
a. x < 5 ⇔ (a – b)x < 5(a – b)
b. x > 2 ⇔ (a – b)x < 2(a – b)
Lời giải:
a. Ta có: x < 5 ⇔ (a – b)x < 5(a – b)
⇒ a – b > 0 ⇔ a > b
b. Ta có: x > 2 ⇔ (a – b)x < 2(a – b)
⇒ a – b < 0 ⇔ a < b
Bài 59 trang 58 sách bài tập Toán 8 Tập 2: Tìm số nguyên x lớn nhất thỏa mãn mỗi bất phương trình sau:
a. 5,2 + 0,3x < - 0,5
b. 1,2 – (2,1 – 0,2x) < 4,4
Lời giải:
a. Ta có: 5,2 + 0,3x < - 0,5
⇔ 0,3x < - 0,5 – 5,2
⇔ 0,3x < - 5,7
⇔ x < -19
Vậy số nguyên lớn nhất cần tìm là -20
b. Ta có: 1,2 – (2,1 – 0,2x) < 4,4
⇔ 1,2 -2,1 + 0,2x < 4,4
⇔ 0,2x < 4,4 – 1,2 + 2,1
⇔ 0,2x < 5,3
⇔ x < 53/2
Vậy số nguyên lớn nhất thỏa mãn điều kiện là số 26.
Bài 60 trang 58 sách bài tập Toán 8 Tập 2: Tìm số nguyên x bé nhất thỏa mãn mỗi bất phương trình sau:
a. 0,2x + 3,2 > 1,5
b. 4,2 – (3 – 0,4x) > 0,1x + 0,5
Lời giải:
a. Ta có: 0,2x + 3,2 > 1,5
⇔ 0,2x > 1,5 – 3,2
⇔ 0,2x > - 1,7
⇔ x > - 17/2
Vậy số nguyên bé nhất cần tìm là – 8.
b. Ta có: 4,2 – (3 – 0,4x) > 0,1x + 0,5
⇔ 4,2 – 3 + 0,4x > 0,1x + 0,5
⇔ 0,4x – 0,1x > 0,5 – 1,2
⇔ 0,3x > - 0,7
⇔ x > - 7/3
Vậy số nguyên bé nhất cần tìm là -2.
Bài 61 trang 58 sách bài tập Toán 8 Tập 2: Với giá trị nào của m thì phương trình ẩn x:
a. x – 3 = 2m + 4 có nghiệm dương?
b. 2x – 5 = m + 8 có nghiệm số âm?
Lời giải:
a. Ta có x – 3 = 2m + 4
⇔ x = 2m + 4 + 3
⇔ x = 2m + 7
Phương trình có nghiệm số dương khi 2m + 7 > 0 ⇔ m > - 7/2
b. Ta có: 2x – 5 = m + 8
⇔ 2x = m + 8 + 5
⇔ 2x = m + 13
⇔ x = (m + 13)/2
Phương trình có nghiệm số âm khi (m + 13)/2 < 0 ⇔ m + 13 < 0 ⇔ m < -13
Bài 62 trang 58 sách bài tập Toán 8 Tập 2: Giải các bất phương trình:
a. (x + 2)2 < 2x(x + 2) + 4
b. (x + 2)(x + 4) > (x – 2)(x + 8) + 26
Lời giải:
a. Ta có: (x + 2)2 < 2x(x + 2) + 4
⇔ x2 + 4x + 4 < 2x2 + 4x + 4
⇔ x2 + 4x – 2x2 – 4x < 4 – 4
⇔ -x2 < 0
⇔ x2 > 0
Vậy tập nghiệm của bất phương trình là: {x|x ≠ 0}
b. Ta có: (x + 2)(x + 4) > (x – 2)(x + 8) + 26
⇔ x2 + 6x + 8 > x2 + 6x + 10
⇔ x2 + 6x - x2 - 6x > 10 - 8
⇔ 0x > 2
Vậy bất phương trình vô nghiệm.
Bài 63 trang 58 sách bài tập Toán 8 Tập 2: Giải các bất phương trình:
Lời giải:
⇔ 2 – 4x – 16 < 1 – 5x
⇔ -4x + 5x < 1 – 2 + 16
⇔ x < 15
Vậy tập nghiệm của bất phương trình là: {x|x < 15}
⇔ 3x – 3 – 12 > 4x + 4 + 96
⇔ 3x – 4x > 4 + 96 + 3 + 12
⇔ -x > 115 ⇔ x < -115
Vậy tập nghiệm của bất phương trình là: {x|x < -115}
Bài 64 trang 58 sách bài tập Toán 8 Tập 2: Tìm các số tự nhiên n thỏa mãn mỗi bất phương trình sau:
a. 3(5 – 4n) + (27 + 2n) > 0
b. (n + 2)2 – (n – 3)(n + 3) ≤ 40
Lời giải:
a. Ta có: 3(5 – 4n) + (27 + 2n) > 0
⇔ 15 – 12n + 27 + 2n > 0
⇔ -10n + 42 > 0
⇔ -10n > -42
⇔ n < 4,2
Vậy các số tự nhiên cần tìm là 0; 1; 2; 3; 4.
b. Ta có: (n + 2)2 – (n – 3)(n + 3) ≤ 40
⇔ n2 + 4n + 4 – n2 + 9 ≤ 40
⇔ 4n < 40 – 13
⇔ n < 27/4
Vậy các số tự nhiên cần tìm là 0; 1; 2; 3; 4; 5; 6.
Bài 4.1 trang 59 sách bài tập Toán 8 Tập 2: Khoanh tròn vào chữ cái trước khẳng định đúng.
Bất phương trình x – 2 < 1 tương đương với bất phương trình sau:
A. x > 3
B. x ≤ 3
C. x−1 >2
D. x – 1 < 2
Lời giải:
Chọn D
Bài 4.2 trang 59 sách bài tập Toán 8 Tập 2: Khoanh tròn vào chữ cái trước hình đúng.
Bất phương trình bậc nhất 2x – 1 > 1 có tập nghiệm biểu diễn bởi hình vẽ sau:
Lời giải:
Chọn B
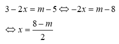
Bài 4.3 trang 59 sách bài tập Toán 8 Tập 2: Với giá trị nào của m thì phương trình ẩn x:
a. x – 2 = 3m + 4 có nghiệm lớn hơn 3
b. 3 – 2x = m – 5 có nghiệm nhỏ hơn -2
Lời giải:
a. x – 2 = 3m + 4
⇔x = 3m + 6
Phương trình x – 2 = 3m + 4 có nghiệm lớn hơn 3 khi và chỉ khi: 3m + 6 > 3.
Giải: 3m + 6 > 3 có m > -1
Vậy với m > -1 thì phương trình ẩn x là x – 2 = 3m + 4 có nghiệm lớn hơn 3.
b.
Phương trình 3 - 2x = m - 5 có nghiệm nhỏ hơn -2 khi và chỉ khi:
Với m > 12 thì phương trình ẩn x là 3 – 2x = m – 5 có nghiệm nhỏ hơn -2
Bài 4.4 trang 59 sách bài tập Toán 8 Tập 2: Chứng minh hai bất phương trình sau không tương đương
a. 2x + 1 > 3 và |x| > 1
b. 3x – 9 < 0 và x2 < 9
Lời giải:
a. Giải bất phương trình 2x + 1 > 3 ta tìm được tập nghiệm là x > 1
Ta kiểm tra được x = -2 là nghiệm của bất phương trình |x| > 1 nhưng không là nghiệm của 2x + 1 > 3 (không thuộc tập nghiệm x > 1)
Vậy hai bất phương trình 2x + 1 > 3 và |x| > 1 không tương đương.
b. Kiểm tra được giá trị x = -4 là nghiệm của 3x – 9 < 0 nhưng không là nghiệm của x2 < 9.
Vậy hai bất phương trình 3x – 9 < 0 và x2 < 9 không tương đương.
aXem thêm các bài giải sách bài tập Toán lớp 8 chọn lọc, chi tiết khác:
- Bài 5: Phương trình chứa dấu giá trị tuyệt đối
- Ôn tập chương 4
- Bài 1: Định lí Ta-lét trong tam giác
- Bài 2: Định lí đảo và hệ quả của định lí Ta-lét
Xem thêm các loạt bài Để học tốt Toán lớp 8 hay khác:
Tủ sách VIETJACK shopee lớp 6-8 (2025):
Đã có app VietJack trên điện thoại, giải bài tập SGK, SBT Soạn văn, Văn mẫu, Thi online, Bài giảng....miễn phí. Tải ngay ứng dụng trên Android và iOS.
Theo dõi chúng tôi miễn phí trên mạng xã hội facebook và youtube:Loạt bài Giải sách bài tập Toán 8 hay, chi tiết của chúng tôi được biên soạn bám sát nội dung Sách bài tập Toán 8 Tập 1 & Tập 2.
Nếu thấy hay, hãy động viên và chia sẻ nhé! Các bình luận không phù hợp với nội quy bình luận trang web sẽ bị cấm bình luận vĩnh viễn.
- Giải Tiếng Anh 8 Global Success
- Giải sgk Tiếng Anh 8 Smart World
- Giải sgk Tiếng Anh 8 Friends plus
- Lớp 8 - Kết nối tri thức
- Soạn văn 8 (hay nhất) - KNTT
- Soạn văn 8 (ngắn nhất) KNTT
- Giải sgk Toán 8 - KNTT
- Giải sgk Khoa học tự nhiên 8 - KNTT
- Giải sgk Lịch Sử 8 - KNTT
- Giải sgk Địa Lí 8 - KNTT
- Giải sgk Giáo dục công dân 8 - KNTT
- Giải sgk Tin học 8 - KNTT
- Giải sgk Công nghệ 8 - KNTT
- Giải sgk Hoạt động trải nghiệm 8 - KNTT
- Giải sgk Âm nhạc 8 - KNTT
- Lớp 8 - Chân trời sáng tạo
- Soạn văn 8 (hay nhất) - CTST
- Soạn văn 8 (ngắn nhất) - CTST
- Giải sgk Toán 8 - CTST
- Giải sgk Khoa học tự nhiên 8 - CTST
- Giải sgk Lịch Sử 8 - CTST
- Giải sgk Địa Lí 8 - CTST
- Giải sgk Giáo dục công dân 8 - CTST
- Giải sgk Tin học 8 - CTST
- Giải sgk Công nghệ 8 - CTST
- Giải sgk Hoạt động trải nghiệm 8 - CTST
- Giải sgk Âm nhạc 8 - CTST
- Lớp 8 - Cánh diều
- Soạn văn 8 Cánh diều (hay nhất)
- Soạn văn 8 Cánh diều (ngắn nhất)
- Giải sgk Toán 8 - Cánh diều
- Giải sgk Khoa học tự nhiên 8 - Cánh diều
- Giải sgk Lịch Sử 8 - Cánh diều
- Giải sgk Địa Lí 8 - Cánh diều
- Giải sgk Giáo dục công dân 8 - Cánh diều
- Giải sgk Tin học 8 - Cánh diều
- Giải sgk Công nghệ 8 - Cánh diều
- Giải sgk Hoạt động trải nghiệm 8 - Cánh diều
- Giải sgk Âm nhạc 8 - Cánh diều


Giải bài tập SGK & SBT
Tài liệu giáo viên
Sách
Khóa học
Thi online
Hỏi đáp

