Sách bài tập Toán 9 Bài 4: Công thức nghiệm của phương trình bậc hai
Sách bài tập Toán 9 Bài 4: Công thức nghiệm của phương trình bậc hai
Bài 20 trang 53 Sách bài tập Toán 9 Tập 2: Xác định các hệ số a, b, c ; tính biệt thức Δ rồi tìm nghiệm của các phương trình :
a. 2x2 – 5x + 1 = 0 b. 4x2 + 4x + 1 = 0
c. 5x2 – x + 2 = 0 d. -3x2 + 2x + 8 = 0
Lời giải:
a. Phương trình 2x2 – 5x + 1 = 0 có a = 2, b = -5, c = 1
Ta có: Δ = b2 – 4ac = (-5)2 – 4.2.1 = 25 – 8 = 17 > 0
√Δ = √17
Phương trình có 2 nghiệm phân biệt :
b. Phương trình 4x2 + 4x + 1 = 0 có a = 4, b = 4, c = 1
Ta có: Δ = b2 – 4ac = 42 – 4.4.1 = 16 – 16 = 0
Phương trình có nghiệm kép :
c. Phương trình 5x2 – x + 2 = 0 có a = 5, b = -1, c = 2
Ta có: Δ = b2 – 4ac = (-1)2 – 4.5.2 = 1 – 40 = -39 < 0
Vậy phương trình vô nghiệm.
d. Phương trình -3x2 + 2x + 8 = 0 có a = -3, b = 2, c = 8
Ta có: Δ = b2 – 4ac = 22 – 4.(-3).8 = 4 + 96 = 100 > 0
√Δ = √100 = 10
Phương trình có 2 nghiệm phân biệt :
Bài 21 trang 53 Sách bài tập Toán 9 Tập 2: Xác định các hệ số a, b, c rồi giải phương trình :
Lời giải:
a. Phương trình 2x2 - 2√2 x + 1 = 0 có a = 2, b = -2√2 , c = 1
Ta có: Δ = b2 – 4ac = (-2√2 )2 – 4.2.1 = 8 – 8 = 0
Phương trình có nghiệm kép :
b. Phương trình 2x2 – (1 - 2√2 )x - √2 = 0 có a = 2, b = -(1 - 2√2 ), c = -√2
Ta có: Δ = b2 – 4ac = [-(1 - 2√2 )]2 – 4.2.(-√2 )
= 1 - 4√2 + 8 + 8√2 = 1 + 4√2 + 8
= 1 + 2.2√2 + (2√2 )2 = (1 + 2√2 )2 > 0
= 1 + 2√2
Phương trình có 2 nghiệm phân biệt :
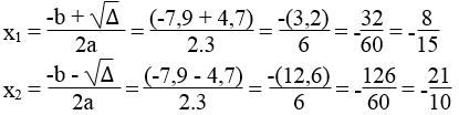
d. Phương trình 3x2 + 7,9x + 3,36 = 0 có a = 3, b = 7,9, c = 3,36
Ta có: Δ = b2 – 4ac = 7,92 – 4.3.3,36 = 62,41 – 40,32 = 22,09 > 0
√Δ = √22,09 = 4,7
Phương trình có 2 nghiệm phân biệt :
Bài 22 trang 53 Sách bài tập Toán 9 Tập 2: Giải phương trình bằng đồ thị :
Cho phương trình 2x2 + x – 3 = 0.
a. Vẽ các đồ thị của hai hàm số y = 2x2, y = -x + 3 trong cùng một mặt phẳng tọa độ.
b. Tìm hoành độ của mỗi giao điểm của hai đồ thị. Hãy giải thích vì sao các hoành độ này đều là nghiệm của phương trình đã cho.
c. Giải phương trình đã cho bằng công thức nghiệm, so sánh với kết quả tìm được trong câu b.
Lời giải:
a. *Vẽ đồ thị hàm số y = 2x2
| x | -2 | -1 | 0 | 1 | 2 |
| y = 2x2 | 8 | 2 | 0 | 2 | 8 |
*Vẽ đồ thị hàm số y = -x + 3
Cho x = 0 thì y = 3 ⇒ (0; 3)
Cho y = 0 thì x = 3 ⇒ (3; 0)
b. Ta có: I(-1,5; 4,5), J(1; 2)
*x = -1,5 là nghiệm của phương trình 2x2 + x – 3 = 0 vì:
2(-1,5)2 + (-1,5) – 3 = 4,5 – 4,5 = 0
*x = 1 là nghiệm của phương trình 2x2 + x – 3 = 0 vì:
2.12 + 1 – 3 = 3 – 3 = 0
c. Ta có: ∆ = b2 – 4ac = 12 – 4.2.(-3) = 1 + 24 = 25 > 0
√∆ = √25 = 5
Phương trình có 2 nghiệm phân biệt :
Bài 23 trang 53 Sách bài tập Toán 9 Tập 2: Cho phương trình
a. Vẽ các đồ thị của hai hàm sô , y = 2x – 1 trong cùng một mặt phẳng tọa độ. Dùng đồ thị tìm giá trị gần đúng nghiệm của phương trình (làm tròn đến chữ số thập phân thứ hai)
b. Giải phương trình đã cho bằng công thức nghiệm, so sánh với kết quả tìm được trong câu a.
Lời giải:
a. *Vẽ đồ thị hàm số
| x | -2 | -1 | 0 | 1 | 2 |
| 2 | 1/2 | 0 | 1/2 | 2 |
*Vẽ đồ thị hàm số y = 2x – 1
Cho x = 0 thì y = -1 ⇒ (0; -1)
Cho y = 0 thì x = 1/2 ⇒ (1/2 ; 0)
Bài 24 trang 54 Sách bài tập Toán 9 Tập 2: Đối với mỗi phương trình sau, hãy tìm giá trị của m để phương trình có nghiệm kép:
a. mx2– 2(m – 1)x + 2 = 0 b. 3x2 + (m + 1)x + 4 = 0
Lời giải:
a. Phương trình mx2 – 2(m – 1)x + 2 = 0 có nghiệm kép khi và chỉ khi m ≠ 0 và Δ = 0
Ta có: Δ = [-2(m – 1)]2 – 4.m.2 = 4(m2 – 2m + 1) – 8m
= 4(m2 – 4m + 1)
Δ = 0 ⇔ 4(m2 – 4m + 1) = 0 ⇔ m2 – 4m + 1 = 0
Giải phương trình m2 – 4m + 1 = 0. Ta có:
Δm = (-4)2 – 4.1.1 = 16 – 4 = 12 > 0
Vậy với m = 2 + √3 hoặc m = 2 - √3 thì phương trình đã cho có nghiệm kép.
b. Phương trình 3x2 + (m + 1)x + 4 = 0 có nghiệm kép khi và chỉ khi Δ = 0
Ta có : Δ = (m + 1)2 – 4.3.4 = m2 + 2m + 1 – 48 = m2 + 2m – 47
Δ = 0 ⇔ m2 + 2m – 47 = 0
Giải phương trình m2 + 2m – 47 = 0. Ta có:
Δm = 22 – 4.1.(-47) = 4 + 188 = 192 > 0
Vậy với m = 4√3 – 1 hoặc m = -1 - 4√3 thì phương trình đã cho có nghiệm kép.
Bài 25 trang 54 Sách bài tập Toán 9 Tập 2: Đối với mỗi phương trình sau, hãy tìm giá trị của m để phương trình có nghiệm, tính nghiệm của phương trình theo m:
a. mx2 + (2m – 1)x + m + 2 = 0
b. 2x2 – (4m + 3)x + 2m2 – 1 = 0
Lời giải:
a. mx2 + (2m – 1)x + m + 2 = 0 (1)
*Nếu m = 0, ta có (1) ⇔ -x + 2 = 0 ⇔ x = 2
*Nếu m ≠ 0 thì (1) có nghiệm khi và chỉ khi Δ ≥ 0
Ta có : Δ = (2m – 1)2 – 4m(m + 2) = 4m2 – 4m + 1 – 4m2 – 8m
= -12m + 1
Δ ≥ 0 ⇔ -12m + 1 ≥ 0 ⇔ m ≤ 1/12
Vậy khi m ≤ 1/12 thì phương trình đã cho có nghiệm.
Giải phương trình (1) theo m :
b. 2x2 – (4m + 3)x + 2m2 – 1 = 0 (2)
Phương trình (2) có nghiệm khi và chỉ khi Δ ≥ 0
Ta có: Δ = [-(4m + 3)]2 – 4.2(2m2 – 1)
= 16m2 + 24m + 9 – 16m2 + 8 = 24m + 17
Δ ≥ 0 ⇔ 24m + 17 ≥ 0 ⇔ m ≥ -17/24
Vậy khi m ≥ -17/24 thì phương trình đã cho có nghiệm.
Giải phương trình (2) theo m:
Bài 26 trang 54 Sách bài tập Toán 9 Tập 2: Vì sao khi phương trình ax2 + bx + c = 0 có các hệ số a và c trái dấu thì nó có nghiệm?
Áp dụng: Không tính Δ, hãy giải thích vì sao mỗi phương trình sau có nghiệm:
a. 3x2– x – 8 = 0
b. 2004x2 + 2x - 1185√5 = 0
c. 3√2 x2 + (√3 - √2 )x + √2 - √3 = 0
d. 2010x2 + 5x – m2 = 0
Lời giải:
Khi a và c trái dấu thì ac < 0, suy ra –ac > 0, suy ra -4ac > 0
Ta có: Δ = b2 – 4ac, trong đó b2 > 0
Nếu -4ac > 0 thì Δ luôn lớn hơn 0.
Khi Δ > 0 nghĩa là phương trình có hai nghiệm phân biệt.
Áp dụng :
a. Phương trình 3x2 – x – 8 = 0 có:
a = 3, c = -8 nên ac < 0
Vậy phương trình có 2 nghiệm phân biệt.
b. Phương trình 2004x2 + 2x - 1185√5 = 0 có:
a = 2004, c = -1185√5 nên ac < 0
Vậy phương trình có 2 nghiệm phân biệt.
c. Phương trình 3√2 x2 + (√3 - √2 )x + √2 - √3 = 0 có:
a = 3√2 , c = √2 - √3 nên ac < 0 (vì √2 < √3 )
Vậy phương trình có 2 nghiệm phân biệt.
d. 2010x2 + 5x – m2 = 0 (1)
*Với m = 0 thì (1) ⇔ 2010x2 + 5x = 0: phương trình có 2 nghiệm.
*Với m ≠ 0 ta có: m2 > 0, suy ra: -m2 < 0
Vì a = 2010 > 0, c = -m2 < 0 nên ac < 0
Vậy phương trình (1) có 2 nghiệm phân biệt.
Bài 1 trang 54 Sách bài tập Toán 9 Tập 2: Giải các phương trình sau bằng cách (chuyển các số hạng tự do sang vế phải bằng công thức nghiệm) và so sánh kết quả tìm được:
a)4x2 - 9 = 0
b)5x2 + 20 = 0
c)2x2 - 2 + √3 = 0
d)3x2 - 12 + √145 = 0
Lời giải:
b) 5x2 + 20 = 0 ⇔ 5x2 = - 20
Vế trái 5x2 ≥ 0; vế phải -20 < 0
Không có giá trị nào của x để 5x2 = - 20
Phương trình vô nghiệm.
Δ = 02 - 4.5.20 = - 400 < 0. Phương trình vô nghiệm.
Bài 2 trang 54 Sách bài tập Toán 9 Tập 2: Giải các phương trình sau bằng hai cách (phương trình tích; bằng công thức nghiệm) và so sánh kết quả tìm được:
a) 5x2 - 3x = 0
b) 3√5 x2 + 6x = 0
c) 2x2 + 7x = 0
d) 2x2 - √2 x = 0
Lời giải:
Bài 3 trang 54 Sách bài tập Toán 9 Tập 2: Giải các phương trình
Lời giải:
Bài 4 trang 55 Sách bài tập Toán 9 Tập 2: Chứng minh rằng nếu phương trình ax2 + bx + c = x (a ≠ 0) vô nghiệm thì phương trình a(ax2 + bx + c)2 + b(ax2 + bx + c) + c = x cũng vô nghiệm.
Lời giải:
Đặt f(x) = ax2 + bx + c
Xem thêm Video Giải sách bài tập Toán lớp 9 (SBT Toán 9) hay và chi tiết khác:
- Bài 5: Công thức nghiệm thu gọn
- Bài 6: Hệ thức Vi-ét và ứng dụng
- Bài 7: Phương trình quy về phương trình bậc hai
- Bài 8: Giải bài toán bằng cách lập phương trình
Xem thêm các loạt bài Để học tốt Toán lớp 9 hay khác:
- Giải bài tập Toán 9
- Chuyên đề Toán 9 (có đáp án - cực hay)
- Lý thuyết & 500 Bài tập Toán 9 (có đáp án)
- Các dạng bài tập Toán 9 cực hay
- Đề thi Toán 9
- Đề thi vào 10 môn Toán
Tủ sách VIETJACK luyện thi vào 10 cho 2k11 (2026):
Đã có app VietJack trên điện thoại, giải bài tập SGK, SBT Soạn văn, Văn mẫu, Thi online, Bài giảng....miễn phí. Tải ngay ứng dụng trên Android và iOS.
Theo dõi chúng tôi miễn phí trên mạng xã hội facebook và youtube:Loạt bài Giải sách bài tập Toán 9 hay, chi tiết của chúng tôi được biên soạn bám sát nội dung Sách bài tập Toán 9 Tập 1 & Tập 2.
Nếu thấy hay, hãy động viên và chia sẻ nhé! Các bình luận không phù hợp với nội quy bình luận trang web sẽ bị cấm bình luận vĩnh viễn.
- Giải Tiếng Anh 9 Global Success
- Giải sgk Tiếng Anh 9 Smart World
- Giải sgk Tiếng Anh 9 Friends plus
- Lớp 9 Kết nối tri thức
- Soạn văn 9 (hay nhất) - KNTT
- Soạn văn 9 (ngắn nhất) - KNTT
- Giải sgk Toán 9 - KNTT
- Giải sgk Khoa học tự nhiên 9 - KNTT
- Giải sgk Lịch Sử 9 - KNTT
- Giải sgk Địa Lí 9 - KNTT
- Giải sgk Giáo dục công dân 9 - KNTT
- Giải sgk Tin học 9 - KNTT
- Giải sgk Công nghệ 9 - KNTT
- Giải sgk Hoạt động trải nghiệm 9 - KNTT
- Giải sgk Âm nhạc 9 - KNTT
- Giải sgk Mĩ thuật 9 - KNTT
- Lớp 9 Chân trời sáng tạo
- Soạn văn 9 (hay nhất) - CTST
- Soạn văn 9 (ngắn nhất) - CTST
- Giải sgk Toán 9 - CTST
- Giải sgk Khoa học tự nhiên 9 - CTST
- Giải sgk Lịch Sử 9 - CTST
- Giải sgk Địa Lí 9 - CTST
- Giải sgk Giáo dục công dân 9 - CTST
- Giải sgk Tin học 9 - CTST
- Giải sgk Công nghệ 9 - CTST
- Giải sgk Hoạt động trải nghiệm 9 - CTST
- Giải sgk Âm nhạc 9 - CTST
- Giải sgk Mĩ thuật 9 - CTST
- Lớp 9 Cánh diều
- Soạn văn 9 Cánh diều (hay nhất)
- Soạn văn 9 Cánh diều (ngắn nhất)
- Giải sgk Toán 9 - Cánh diều
- Giải sgk Khoa học tự nhiên 9 - Cánh diều
- Giải sgk Lịch Sử 9 - Cánh diều
- Giải sgk Địa Lí 9 - Cánh diều
- Giải sgk Giáo dục công dân 9 - Cánh diều
- Giải sgk Tin học 9 - Cánh diều
- Giải sgk Công nghệ 9 - Cánh diều
- Giải sgk Hoạt động trải nghiệm 9 - Cánh diều
- Giải sgk Âm nhạc 9 - Cánh diều
- Giải sgk Mĩ thuật 9 - Cánh diều


Giải bài tập SGK & SBT
Tài liệu giáo viên
Sách
Khóa học
Thi online
Hỏi đáp

