Sách bài tập Toán 9 Ôn tập chương 1 phần Đại số
Sách bài tập Toán 9 Ôn tập chương 1 phần Đại số
Bài 96 trang 21 Sách bài tập Toán 9 Tập 1: Nếu x thỏa mãn điều kiện
thì x nhận giá trị là:
A. 0 B. 6 C. 9 D. 36
Lời giải:
Ta có:
⇔ 3 + √x = 9 ⇔√ x = 6 ⇔ x = 36
Vậy chọn đáp án D.
Bài 97 trang 21 Sách bài tập Toán 9 Tập 1: Biểu thức
có giá trị là:
A. 3 B. 6 C. 5 D. -5
Lời giải:
Chọn đáp án A.
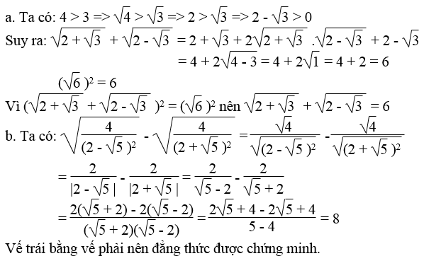
Bài 98 trang 22 Sách bài tập Toán 9 Tập 1: Chứng minh các đẳng thức:
Lời giải:
Bài 99 trang 22 Sách bài tập Toán 9 Tập 1: Cho A = . Chứng minh |A| = 0,5 với x ≠ 0,5.
Lời giải:
Bài 100 trang 22 Sách bài tập Toán 9 Tập 1: Rút gọn các biểu thức:
Lời giải:
Bài 101 trang 22 Sách bài tập Toán 9 Tập 1: a. Chứng minh: x -
b. Tìm điều kiện xác định và rút gọn biểu thức:
Lời giải:
Bài 102 trang 22 Sách bài tập Toán 9 Tập 1: Tìm điều kiện xác định của các biểu thức sau:
Lời giải:
Bài 103 trang 22 Sách bài tập Toán 9 Tập 1: Chứng minh:
với x > 0. Từ đó, cho biết biểu thức
có giá trị lớn nhất là bao nhiêu? Giá trị đó đạt được khi x bằng bao nhiêu?
Lời giải:
Bài 104 trang 23 Sách bài tập Toán 9 Tập 1: Tìm số x nguyên để biểu thức
nhận giá trị nguyên
Lời giải:
Ta có:
=
= 1 +
Để 1 +
nhận giá trị nguyên thì
phải có giá trị nguyên. Vì x nguyên nên √x là số nguyên hoặc số vô tỉ.
* Nếu √x là số vô tỉ thì √x - 3 là số vô tỉ nên
không có giá trị nguyên. Trường hợp này không có giá trị nào của √x để biểu thức nhận giá trị nguyên.
* Nếu √x là số nguyên thì √x - 3 là số nguyên. Vậy để
nguyên thì √x - 3 phải là ước của 4.
Đồng thời x ≥ 0 suy ra: √x ≥ 0
Ta có: W(4) = {-4; -2; -1; 1; 2; 4}
Suy ra: x - 3 = -4 ⇒ x = -1 (loại)
√x - 3 = -2 ⇒ √x = 1 ⇒ x = 1
√x - 3 = -1 ⇒ √x = 2 ⇒ x = 4
√x - 3 = 1 ⇒ √x = 4 ⇒ x = 16
√x - 3 = 2 ⇒ √x = 5 ⇒ x = 25
√x - 3 = 4 ⇒ √x = 7 ⇒ x = 49
Vậy với x ∈ {1; 4; 16; 25; 49} thì biểu thức
nhận giá trị nguyên.
Bài 105 trang 23 Sách bài tập Toán 9 Tập 1: Chứng minh các đẳng thức (với a, b không âm và a ≠ b)
Lời giải:
Bài 106 trang 23 Sách bài tập Toán 9 Tập 1: Cho biểu thức
a. Tìm điều kiện để A có nghĩa
b. Khi A có nghĩa, chứng tỏ giá trị của A không phụ thuộc vào a.
Lời giải:
Bài 107 trang 23 Sách bài tập Toán 9 Tập 1: Cho biểu thức:
a. Rút gọn B b. Tìm x để B = 3
Lời giải:
Bài 108 trang 23 Sách bài tập Toán 9 Tập 1: Cho biểu thức:
a. Rút gọn C b. Tìm x sao cho C < -1
Lời giải:
Bài 1 trang 23 Sách bài tập Toán 9 Tập 1: Không dùng bảng số hoặc máy tính, hãy so sánh với √5 + 1.
Lời giải:
- Nhận xét = √3+ √2.
- Đặt a = √3 + √2 và b = √5 + 1.
- Đưa về so sánh a2 với b2 hay 5 + 2√6 với 6 + 2√5.
- Đưa về so sánh a2 – 5 với b2 – 5 hay so sánh 2√6 với 1 + 2√5.
- Đưa về so sánh (a2 – 5)2 với (b2 – 5)2 hay so sánh 24 với 21 + 4√5.
- Có thế chứng tỏ được 24 < 21 + 4√5 (vì 3 < 4√5 ⇔ 3 < √80 )
- Từ kết quả 3 < √80 suy luận ngược lại, suy ra < √5 + 1.
Xem thêm Video Giải sách bài tập Toán lớp 9 (SBT Toán 9) hay và chi tiết khác:
- Bài 1: Nhắc lại và bổ sung các khái niệm về hàm số
- Bài 2: Hàm số bậc nhất
- Bài 3: Đồ thị của hàm số y = ax + b
- Bài 4: Đường thẳng song song và đường thẳng cắt nhau
Xem thêm các loạt bài Để học tốt Toán lớp 9 hay khác:
- Giải bài tập Toán 9
- Chuyên đề Toán 9 (có đáp án - cực hay)
- Lý thuyết & 500 Bài tập Toán 9 (có đáp án)
- Các dạng bài tập Toán 9 cực hay
- Đề thi Toán 9
- Đề thi vào 10 môn Toán
Tủ sách VIETJACK luyện thi vào 10 cho 2k11 (2026):
Đã có app VietJack trên điện thoại, giải bài tập SGK, SBT Soạn văn, Văn mẫu, Thi online, Bài giảng....miễn phí. Tải ngay ứng dụng trên Android và iOS.
Theo dõi chúng tôi miễn phí trên mạng xã hội facebook và youtube:Loạt bài Giải sách bài tập Toán 9 hay, chi tiết của chúng tôi được biên soạn bám sát nội dung Sách bài tập Toán 9 Tập 1 & Tập 2.
Nếu thấy hay, hãy động viên và chia sẻ nhé! Các bình luận không phù hợp với nội quy bình luận trang web sẽ bị cấm bình luận vĩnh viễn.
- Giải Tiếng Anh 9 Global Success
- Giải sgk Tiếng Anh 9 Smart World
- Giải sgk Tiếng Anh 9 Friends plus
- Lớp 9 Kết nối tri thức
- Soạn văn 9 (hay nhất) - KNTT
- Soạn văn 9 (ngắn nhất) - KNTT
- Giải sgk Toán 9 - KNTT
- Giải sgk Khoa học tự nhiên 9 - KNTT
- Giải sgk Lịch Sử 9 - KNTT
- Giải sgk Địa Lí 9 - KNTT
- Giải sgk Giáo dục công dân 9 - KNTT
- Giải sgk Tin học 9 - KNTT
- Giải sgk Công nghệ 9 - KNTT
- Giải sgk Hoạt động trải nghiệm 9 - KNTT
- Giải sgk Âm nhạc 9 - KNTT
- Giải sgk Mĩ thuật 9 - KNTT
- Lớp 9 Chân trời sáng tạo
- Soạn văn 9 (hay nhất) - CTST
- Soạn văn 9 (ngắn nhất) - CTST
- Giải sgk Toán 9 - CTST
- Giải sgk Khoa học tự nhiên 9 - CTST
- Giải sgk Lịch Sử 9 - CTST
- Giải sgk Địa Lí 9 - CTST
- Giải sgk Giáo dục công dân 9 - CTST
- Giải sgk Tin học 9 - CTST
- Giải sgk Công nghệ 9 - CTST
- Giải sgk Hoạt động trải nghiệm 9 - CTST
- Giải sgk Âm nhạc 9 - CTST
- Giải sgk Mĩ thuật 9 - CTST
- Lớp 9 Cánh diều
- Soạn văn 9 Cánh diều (hay nhất)
- Soạn văn 9 Cánh diều (ngắn nhất)
- Giải sgk Toán 9 - Cánh diều
- Giải sgk Khoa học tự nhiên 9 - Cánh diều
- Giải sgk Lịch Sử 9 - Cánh diều
- Giải sgk Địa Lí 9 - Cánh diều
- Giải sgk Giáo dục công dân 9 - Cánh diều
- Giải sgk Tin học 9 - Cánh diều
- Giải sgk Công nghệ 9 - Cánh diều
- Giải sgk Hoạt động trải nghiệm 9 - Cánh diều
- Giải sgk Âm nhạc 9 - Cánh diều
- Giải sgk Mĩ thuật 9 - Cánh diều


Giải bài tập SGK & SBT
Tài liệu giáo viên
Sách
Khóa học
Thi online
Hỏi đáp

