Giải Toán 8 VNEN Bài 4: Diện tích hình thoi
A. Hoạt động khởi động
(Trang 134 Toán 8 VNEN Tập 1)
Hình ảnh sau gồm nhiều chiếc diều, có dạng tứ giác mà hai đường chéo vuông góc với nhau.
Nếu coi mỗi chiếc diều là tứ giác ABCD có hai đường chéo vuông góc với nhau (hình 129) thì chỉ dựa vào độ dài hai đường chéo ta có thể tính được diện tích của nó hay không?
Lời giải:
Nếu coi mỗi chiếc diều là tứ giác ABCD có hai đường chéo vuông góc với nhau thì chỉ dựa vào độ dài hai đường chéo ta có thể tính được diện tích của nó.
B. Hoạt động hình thành kiến thức
1 (Trang 134 Toán 8 VNEN Tập 1)
Có thể tính diện tích tứ giác có hai đường chéo vuông góc dựa vào diện tích tam giác hay không?
Lời giải:
Tứ giác ABCD có AC vuông góc với BD.
SABCD = SADB + SDBC = AE.BD +
CE.BD =
(AE + CE).BD =
AC.BD.
Như vậy, ta có thể tính diện tích tứ giác có hai đường chéo vuông góc dựa vào diện tích tam giác.
2 (Trang 134 Toán 8 VNEN Tập 1)
Có thể dựa vào diện tích tứ giác có hai đường chéo vuông góc để tính diện tích hình thoi hay không?
Em hãy quan sát hình 132.
- Hai đường chéo hình thoi UVXY có tính chất gì?
- Có thể dựa vào kết quả trên để suy ra SUVXY = VY.XU hay không?
Lời giải:
- Hai đường chéo hình thoi UVXY vuông góc và cắt nhau tại trung điểm của mỗi đường.
- Có thể dựa theo tính chất trên để suy ra SUVXY = VY.XU như đã chứng minh ở phần 1.
C. Hoạt động luyện tập
1 (Trang 136 Toán 8 VNEN Tập 1)
Trên cùng lưới ô vuông, bạn Hùng đã vẽ các hình như ở hình 134. Em hãy cho biết diện tích của mỗi hình đó, nếu chọn mỗi ô vuông làm một đơn vị diện tích.
Lời giải:
S1 = .5.6 = 15 (đơn vị diện tích);
S2 = .3.7 = 10,5 (đơn vị diện tích);
S3 = .5.6 = 15 (đơn vị diện tích);
S4 = .2.6 = 6 (đơn vị diện tích);
S5 = .6.6 = 18 (đơn vị diện tích);
S6 = .2.2 = 2 (đơn vị diện tích);
S7 = .6.4 = 12 (đơn vị diện tích);
S8 = .3.7 = 10,5 (đơn vị diện tích).
2 (Trang 136 Toán 8 VNEN Tập 1)
Cho hình chữ nhật MNPQ có các cạnh là 6cm và 10cm. Gọi G, H, I, K tương ứng là trung điểm của các cạnh MN, NP, PQ, QM.
a) Tứ giác GHIK là hình gì? Vì sao?
b) Diện tích tứ giác GHIK bằng bao nhiêu cm2?
Lời giải:
a)
Xét ΔMNP, có: G là trung điểm MN và H là trung điểm NP
⇒ GH là đường trung bình của ΔMNP ⇒ GH = MP. (1)
Xét ΔMQP, có: K là trung điểm MQ và I là trung điểm QP
⇒ KI là đường trung bình của ΔMPQ ⇒ KI = MP. (2)
Từ (1) và (2) ⇒ GH = KI = MP. (*)
Chứng minh tương tự, ta có: KG = HI = QN. (**)
Mà MNPQ là hình chữ nhật nên MP = QN.(***)
Từ (*), (**) và (***) ⇒ GHIK là hình thoi.
b) SGHIK = GI.KH =
MN.NP =
.6.10 = 30 (cm2).
3 (Trang 136 Toán 8 VNEN Tập 1)
Bạn Chung đã vẽ hình thoi ABCD, có hai đường chéo AC = m, BD = n. Qua các điểm A và C vẽ các đường thẳng a và c song song với BD. Qua các điểm B và D vẽ các đường thẳng b và d song song với AC. Các đường thẳng a, b, c, d cắt nhau tương ứng tại các điểm E, F, G, H (hình 135).
Bạn Chung cho rằng: EFGH là hình chữ nhật và
- hai tam giác vuông ABO và BAE bằng nhau;
- hai tam giác vuông CBO và BCF bằng nhau;
- hai tam giác vuông ADO và DAH bằng nhau;
- hai tam giác vuông CDO và DCG bằng nhau.
Từ đó suy ra diện tích hình chữ nhật EFGH gấp đôi diện tích hình thoi ABCD.
Do diện tích hình chữ nhật EFGH là SEFGH = EH.HG = mn, nên có SABCD = mn.
Theo em, cách lập luận trên của bạn Chung là đúng hay sai? Vì sao?
Có thể xem cách mà bạn Chung làm như một cách tìm ra công thức tính diện tích hình thoi theo độ dài hai đường chéo hay không?
Lời giải:
Vì EF//HG//AC và EH//BD//FG mà BD ⊥ AC nên EF ⊥ FG, FG ⊥ GH, GH ⊥ EH, EH ⊥ EF, hay EFGH là hình chữ nhật.
Xét ΔABO vuông tại O và ΔBAE vuông tại E, có:
AB chung
⇒ ΔABO = ΔBAE (cạnh huyền – góc nhọn).
Chứng minh tương tự, ta có: ΔCBO = ΔBCF; ΔADO = ΔDAH; ΔCDO = ΔDCG.
Từ đó, suy ra: SEFGH = 2SABCD.
Do diện tích hình chữ nhật EFGH là SEFGH = EH.HG = mn, nên có SABCD = mn.
Như vậy, cách lập luận cảu bạn Chung là đúng. Có thể xem cách mà bạn Chung làm như một cách tìm ra công thức tính diện tích hình thoi theo độ dài hai đường chéo.
1 (Trang 137 Toán 8 VNEN Tập 1)
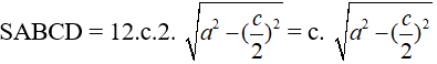
Một hình thoi có cạnh bằng a và có một đường chéo bằng c. Tính theo a và c diện tích hình thoi đó.
Lời giải:
Xét hình thoi ABCD, có AB = a và AC = c.
Áp dụng định lí Pi-ta-go vào tam giác ABI vuông tại I, có:
Như vậy,
2 (Trang 137 Toán 8 VNEN Tập 1)
Cho hình thang cân ABCD, có đáy nhỏ AB = 6cm, đáy lớn CD = 12cm và cạnh bên AD = 5cm (hình 136). Gọi M, N, E, G tương ứng là trung điểm của các cạnh AD, BC, AB, CD.
a) Chứng minh rằng MENG là hình thoi.
b) Diện tích hình thoi MENG bằng bao nhiêu cm2?
Lời giải:
a) Xét ΔACD, có: M là trung điểm AD và G là trung điểm DC
⇒ MG là đường trung bình của ΔACD ⇒ MG = AC. (1)
Xét ΔABC, có: E là trung điểm AB và N là trung điểm BC
⇒ EN là đường trung bình của ΔABC ⇒ EN = AC. (2)
Từ (1) và (2) ⇒ MG = EN = AC. (*)
Chứng minh tương tự, ta có: EM = GN = BD. (**)
Mà ABCD là hình thang cân nên AC = BD.(***)
Từ (*), (**) và (***) ⇒ MENG là hình thoi (đpcm).
b) SMENG = EG.MN =
AH.
.(AB + CD) =
.4.
.(6 + 12) = 18 (cm2).
D. Hoạt động vận dụng
2 (Trang 137 Toán 8 VNEN Tập 1)
Bạn Dũng đã nghĩ ra cách tính diện tích hình thoi ABCD bằng cách đo độ dài một cạnh AD và độ dài đường cao BH như hình 137.
Theo em cách làm này của bạn Dũng có đúng không? Vì sao?
Lời giải:
Cách làm này của bạn Dũng là đúng vì hình thoi cũng là hình bình hành mà diện tích hình bình hành lại bằng tích của một cạnh và chiều cao ứng với cạnh đó.
3 (Trang 137 Toán 8 VNEN Tập 1)
Có thể cắt một hình thoi bằng giấy để chia nó thành bốn phần và ghép thành một hình chữ nhật hay không? Vì sao?
Có thể dựa theo cách này để suy ra cách tính diện tích hình thoi dựa vào độ dài hai cạnh đường chéo của nó hay không?
Lời giải:
E. Hoạt động tìm tòi mở rộng
Xem thêm các bài Giải bài tập Toán lớp 8 chương trình VNEN hay khác:
- Bài 1: Diện tích hình chữ nhật. Diện tích hình vuông
- Bài 2: Diện tích hình tam giác
- Bài 3: Diện tích hình thang - Diện tích hình bình hành
- Bài 5: Diện tích đa giác - Ứng dụng
- Bài 6: Ôn tập chương II
Tủ sách VIETJACK shopee lớp 6-8 (2025):
Đã có app VietJack trên điện thoại, giải bài tập SGK, SBT Soạn văn, Văn mẫu, Thi online, Bài giảng....miễn phí. Tải ngay ứng dụng trên Android và iOS.
Theo dõi chúng tôi miễn phí trên mạng xã hội facebook và youtube:Loạt bài Giải bài tập Toán 8 (sgk, sbt, vbt) của chúng tôi được biên soạn bám sát sách Toán 8 Tập 1 & Tập 2 chương trình mới.
Nếu thấy hay, hãy động viên và chia sẻ nhé! Các bình luận không phù hợp với nội quy bình luận trang web sẽ bị cấm bình luận vĩnh viễn.
- Giải Tiếng Anh 8 Global Success
- Giải sgk Tiếng Anh 8 Smart World
- Giải sgk Tiếng Anh 8 Friends plus
- Lớp 8 - Kết nối tri thức
- Soạn văn 8 (hay nhất) - KNTT
- Soạn văn 8 (ngắn nhất) KNTT
- Giải sgk Toán 8 - KNTT
- Giải sgk Khoa học tự nhiên 8 - KNTT
- Giải sgk Lịch Sử 8 - KNTT
- Giải sgk Địa Lí 8 - KNTT
- Giải sgk Giáo dục công dân 8 - KNTT
- Giải sgk Tin học 8 - KNTT
- Giải sgk Công nghệ 8 - KNTT
- Giải sgk Hoạt động trải nghiệm 8 - KNTT
- Giải sgk Âm nhạc 8 - KNTT
- Lớp 8 - Chân trời sáng tạo
- Soạn văn 8 (hay nhất) - CTST
- Soạn văn 8 (ngắn nhất) - CTST
- Giải sgk Toán 8 - CTST
- Giải sgk Khoa học tự nhiên 8 - CTST
- Giải sgk Lịch Sử 8 - CTST
- Giải sgk Địa Lí 8 - CTST
- Giải sgk Giáo dục công dân 8 - CTST
- Giải sgk Tin học 8 - CTST
- Giải sgk Công nghệ 8 - CTST
- Giải sgk Hoạt động trải nghiệm 8 - CTST
- Giải sgk Âm nhạc 8 - CTST
- Lớp 8 - Cánh diều
- Soạn văn 8 Cánh diều (hay nhất)
- Soạn văn 8 Cánh diều (ngắn nhất)
- Giải sgk Toán 8 - Cánh diều
- Giải sgk Khoa học tự nhiên 8 - Cánh diều
- Giải sgk Lịch Sử 8 - Cánh diều
- Giải sgk Địa Lí 8 - Cánh diều
- Giải sgk Giáo dục công dân 8 - Cánh diều
- Giải sgk Tin học 8 - Cánh diều
- Giải sgk Công nghệ 8 - Cánh diều
- Giải sgk Hoạt động trải nghiệm 8 - Cánh diều
- Giải sgk Âm nhạc 8 - Cánh diều


Giải bài tập SGK & SBT
Tài liệu giáo viên
Sách
Khóa học
Thi online
Hỏi đáp

