Giải Toán 8 VNEN Bài 7: Phép nhân các phân thức đại số
A. Hoạt động khởi động
1 (Trang 49 Toán 8 VNEN Tập 1)
Thực hiện theo các yêu cầu sau
a) Làm tính nhân các phân số sau:
b) Phát biểu quy tắc nhân hai phân số.
c) Tương tự như trên, em có thể phát biểu quy tắc nhân hai phân thức.
Lời giải:
b) Muốn nhân hai phân số, ta nhân các tử số với nhau, các mẫu số với nhau:
(b, d khác 0).
c) Muốn nhân hai phân thức, ta nhân các tử thức với nhau, các mẫu thức với nhau:
(B, D khác 0).
B. Hoạt động hình thành kiến thức
1 (Trang 50 Toán 8 VNEN Tập 1)
Tính nhanh
Lời giải:
C. Hoạt động luyện tập
1 (Trang 51 Toán 8 VNEN Tập 1)
Thực hiện các phép tính sau:
Lời giải:
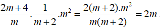
2 (Trang 51 Toán 8 VNEN Tập 1)
Thực hiện các phép tính sau:
Lời giải:
3 (Trang 51 Toán 8 VNEN Tập 1)
Rút gọn biểu thức sau theo hai cách:
Lời giải:
Cách 1:
Cách 2:
4 (Trang 51 Toán 8 VNEN Tập 1)
Đố. Đố em điền được vào chỗ chấm của dãy phép nhân dưới đây những phân thức có mẫu thức bằng tử cộng với 1:
Lời giải:
Các phân thức thích hợp điền vào chỗ chấm là
Khi đó, ta có:
5 (Trang 51 Toán 8 VNEN Tập 1)
Khoanh vào chữ cái đặt trước câu trả lời đúng:
Tích có kết quả là:
Lời giải:
Ta có:
Vậy đáp án đúng là đáp án B.
D+E. Hoạt động vận dụng và tìm tòi mở rộng
1 (Trang 51 Toán 8 VNEN Tập 1)
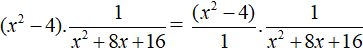
a) Để tính tích: , bước đầu tiên bạn An viết như sau:
. Vì sao bạn viết như vậy?
b) Hãy trình bày cách làm của em.
Lời giải:
a) Vì mọi đa thức đều được coi là phân thức với mẫu bằng 1 nên bạn An viết như vậy để thực hiện phép nhân giữa hai phân thức với nhau.
2 (Trang 5 Toán 8 VNEN Tập 1)
Tính thể tích của hình hộp chữ nhật có độ dài các cạnh biểu thị bởi các phân thức sau:
Lời giải:
a) Thể tích hình hộp chữ nhật này là:
b) Thể tích hình hộp chữ nhật này là:
Xem thêm các bài Giải bài tập Toán lớp 8 chương trình VNEN hay khác:
- Bài 5: Phép cộng các phân thức đại số
- Bài 6: Phép trừ các phân thức đại số
- Bài 8: Phép chia các phân thức đại số
- Bài 9: Biến đổi các biểu thức hữu tỉ. Giá trị của phân thức
- Bài 10: Ôn tập chương II
Tủ sách VIETJACK shopee lớp 6-8 (2025):
Đã có app VietJack trên điện thoại, giải bài tập SGK, SBT Soạn văn, Văn mẫu, Thi online, Bài giảng....miễn phí. Tải ngay ứng dụng trên Android và iOS.
Theo dõi chúng tôi miễn phí trên mạng xã hội facebook và youtube:Loạt bài Giải bài tập Toán 8 (sgk, sbt, vbt) của chúng tôi được biên soạn bám sát sách Toán 8 Tập 1 & Tập 2 chương trình mới.
Nếu thấy hay, hãy động viên và chia sẻ nhé! Các bình luận không phù hợp với nội quy bình luận trang web sẽ bị cấm bình luận vĩnh viễn.
- Giải Tiếng Anh 8 Global Success
- Giải sgk Tiếng Anh 8 Smart World
- Giải sgk Tiếng Anh 8 Friends plus
- Lớp 8 - Kết nối tri thức
- Soạn văn 8 (hay nhất) - KNTT
- Soạn văn 8 (ngắn nhất) KNTT
- Giải sgk Toán 8 - KNTT
- Giải sgk Khoa học tự nhiên 8 - KNTT
- Giải sgk Lịch Sử 8 - KNTT
- Giải sgk Địa Lí 8 - KNTT
- Giải sgk Giáo dục công dân 8 - KNTT
- Giải sgk Tin học 8 - KNTT
- Giải sgk Công nghệ 8 - KNTT
- Giải sgk Hoạt động trải nghiệm 8 - KNTT
- Giải sgk Âm nhạc 8 - KNTT
- Lớp 8 - Chân trời sáng tạo
- Soạn văn 8 (hay nhất) - CTST
- Soạn văn 8 (ngắn nhất) - CTST
- Giải sgk Toán 8 - CTST
- Giải sgk Khoa học tự nhiên 8 - CTST
- Giải sgk Lịch Sử 8 - CTST
- Giải sgk Địa Lí 8 - CTST
- Giải sgk Giáo dục công dân 8 - CTST
- Giải sgk Tin học 8 - CTST
- Giải sgk Công nghệ 8 - CTST
- Giải sgk Hoạt động trải nghiệm 8 - CTST
- Giải sgk Âm nhạc 8 - CTST
- Lớp 8 - Cánh diều
- Soạn văn 8 Cánh diều (hay nhất)
- Soạn văn 8 Cánh diều (ngắn nhất)
- Giải sgk Toán 8 - Cánh diều
- Giải sgk Khoa học tự nhiên 8 - Cánh diều
- Giải sgk Lịch Sử 8 - Cánh diều
- Giải sgk Địa Lí 8 - Cánh diều
- Giải sgk Giáo dục công dân 8 - Cánh diều
- Giải sgk Tin học 8 - Cánh diều
- Giải sgk Công nghệ 8 - Cánh diều
- Giải sgk Hoạt động trải nghiệm 8 - Cánh diều
- Giải sgk Âm nhạc 8 - Cánh diều


Giải bài tập SGK & SBT
Tài liệu giáo viên
Sách
Khóa học
Thi online
Hỏi đáp

