Giải bài 28 trang 98 SGK hình học 10
Ôn tập chương 3
Video Giải Bài 28 trang 98 SGK Hình học 10 - Cô Ngô Hoàng Ngọc Hà (Giáo viên VietJack)
Bài 28 (trang 98 SGK Hình học 10): Khi cho t thay đổi, điểm M(5cost; 4sint) di động trên đường nào sau đây?
A, Elip;
B, Đường thẳng;
C, Parapol;
D, Đường tròn.
Lời giải
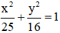
Chọn (A) Elip
Giải thích:
⇒ Với t thay đổi, M luôn thuộc đường elip:
Xem thêm các bài giải Ôn tập chương 3:
Bài 1 (trang 93 SGK Hình học 10): Cho hình chữ nhật ABCD ...
Bài 2 (trang 93 SGK Hình học 10): Cho A(1; 2), B(-3; 1) và C(4; -2)...
Bài 5 (trang 93 SGK Hình học 10): Cho ba điểm A(4;3), B(2;7)...
Bài 6 (trang 93 SGK Hình học 10): Lập phương trình hai đường phân giác ...
Bài 7 (trang 93 SGK Hình học 10): Cho đường tròn (C) có tâm I(1;2) và ...
Bài 8 (trang 93 SGK Hình học 10): Tìm góc giữa hai đường thẳng ...
Bài 10 (trang 94 SGK Hình học 10): Ta biết rằng Mặt Trăng chuyển động quanh Trái đất...
II. Câu hỏi trắc nghiệm
Bài 1 (trang 94 SGK Hình học 10): Cho tam giác ABC có tọa độ các đỉnh ...
Bài 2 (trang 94 SGK Hình học 10): Cho tam giác ABC với các đỉnh là ...
Bài 3 (trang 94 SGK Hình học 10): Cho phương trình tham số của đường thẳng ...
Bài 4 (trang 94 SGK Hình học 10): Đường thẳng đi qua điểm M(1; 0) và ...
Bài 5 (trang 94 SGK Hình học 10): Cho đường thẳng d có phương trình tổng quát...
Bài 6 (trang 95 SGK Hình học 10): Bán kính của đường tròn tâm I(0;-2)...
Bài 7 (trang 95 SGK Hình học 10): Cho hai đường thẳng d1: ....
Bài 8 (trang 95 SGK Hình học 10): Cho d1: x + 2y + 4 = 0 và ...
Bài 10 (trang 95 SGK Hình học 10): Khoảng các từ điểm M(0;3) đến đường thẳng ....
Bài 11 (trang 95 SGK Hình học 10): Phương trình nào sau đây là phương trình ...
Bài 12 (trang 95 SGK Hình học 10): Cho đường tròn (C): x2 + ...
Bài 13 (trang 95 SGK Hình học 10): Phương trình tiếp tuyến tại điểm M(3;4 )...
Bài 14 (trang 96 SGK Hình học 10): Cho đường tròn (C) : x2 + ...
Bài 16 (trang 96 SGK Hình học 10): Với giá trị nào của m thì phương trình sau đây...
Bài 17 (trang 96 SGK Hình học 10): Đường thẳng Δ : 4x + 3y ...
Bài 18 (trang 96 SGK Hình học 10): Cho hai điểm A(1;1) và B(7;5)...
Bài 19 (trang 96 SGK Hình học 10): Đường tròn đi qua ba điểm ....
Bài 20 (trang 96 SGK Hình học 10): Cho điểm M(0;4) và đường tròn (C)...
Bài 22 (trang 97 SGK Hình học 10): Phương trình chính tắc ...
Bài 24 (trang 97 SGK Hình học 10): Dây cung của eclip(E):...
Bài 25 (trang 97 SGK Hình học 10): Một eclip có trục lớn bằng 26,...
Bài 27 (trang 98 SGK Hình học 10): Cho đường tròn (C) tâm F1...
Xem thêm các bài giải bài tập Toán lớp 10 hay, chi tiết khác:
Để học tốt lớp 10 các môn học sách mới:
- Giải bài tập Lớp 10 Kết nối tri thức
- Giải bài tập Lớp 10 Chân trời sáng tạo
- Giải bài tập Lớp 10 Cánh diều
Tủ sách VIETJACK shopee lớp 10-11 (cả 3 bộ sách):
Đã có app VietJack trên điện thoại, giải bài tập SGK, SBT Soạn văn, Văn mẫu, Thi online, Bài giảng....miễn phí. Tải ngay ứng dụng trên Android và iOS.
Theo dõi chúng tôi miễn phí trên mạng xã hội facebook và youtube:Nếu thấy hay, hãy động viên và chia sẻ nhé! Các bình luận không phù hợp với nội quy bình luận trang web sẽ bị cấm bình luận vĩnh viễn.
- Giải Tiếng Anh 10 Global Success
- Giải Tiếng Anh 10 Friends Global
- Giải sgk Tiếng Anh 10 iLearn Smart World
- Giải sgk Tiếng Anh 10 Explore New Worlds
- Lớp 10 - Kết nối tri thức
- Soạn văn 10 (hay nhất) - KNTT
- Soạn văn 10 (ngắn nhất) - KNTT
- Soạn văn 10 (siêu ngắn) - KNTT
- Giải sgk Toán 10 - KNTT
- Giải sgk Vật lí 10 - KNTT
- Giải sgk Hóa học 10 - KNTT
- Giải sgk Sinh học 10 - KNTT
- Giải sgk Địa lí 10 - KNTT
- Giải sgk Lịch sử 10 - KNTT
- Giải sgk Kinh tế và Pháp luật 10 - KNTT
- Giải sgk Tin học 10 - KNTT
- Giải sgk Công nghệ 10 - KNTT
- Giải sgk Hoạt động trải nghiệm 10 - KNTT
- Giải sgk Giáo dục quốc phòng 10 - KNTT
- Lớp 10 - Chân trời sáng tạo
- Soạn văn 10 (hay nhất) - CTST
- Soạn văn 10 (ngắn nhất) - CTST
- Soạn văn 10 (siêu ngắn) - CTST
- Giải Toán 10 - CTST
- Giải sgk Vật lí 10 - CTST
- Giải sgk Hóa học 10 - CTST
- Giải sgk Sinh học 10 - CTST
- Giải sgk Địa lí 10 - CTST
- Giải sgk Lịch sử 10 - CTST
- Giải sgk Kinh tế và Pháp luật 10 - CTST
- Giải sgk Hoạt động trải nghiệm 10 - CTST
- Lớp 10 - Cánh diều
- Soạn văn 10 (hay nhất) - Cánh diều
- Soạn văn 10 (ngắn nhất) - Cánh diều
- Soạn văn 10 (siêu ngắn) - Cánh diều
- Giải sgk Toán 10 - Cánh diều
- Giải sgk Vật lí 10 - Cánh diều
- Giải sgk Hóa học 10 - Cánh diều
- Giải sgk Sinh học 10 - Cánh diều
- Giải sgk Địa lí 10 - Cánh diều
- Giải sgk Lịch sử 10 - Cánh diều
- Giải sgk Kinh tế và Pháp luật 10 - Cánh diều
- Giải sgk Tin học 10 - Cánh diều
- Giải sgk Công nghệ 10 - Cánh diều
- Giải sgk Hoạt động trải nghiệm 10 - Cánh diều
- Giải sgk Giáo dục quốc phòng 10 - Cánh diều


Giải bài tập SGK & SBT
Tài liệu giáo viên
Sách
Khóa học
Thi online
Hỏi đáp

